Скачать ГОСТ 28898-91 Конденсаторы постоянной емкости для электронной аппаратуры. Часть 11. Форма технических условий на фольговые полиэтилентерефталатные пленочные конденсаторы постоянной емкости, предназначенные для работы в цепях постоянного тока. Уровень качества ЕДата актуализации: 01.01.2021
|
| Обозначение: | ГОСТ 28898-91 |
| Обозначение англ: | GOST 28898-91 |
| Статус: | действует |
| Название рус.: | Конденсаторы постоянной емкости для электронной аппаратуры. Часть 11. Форма технических условий на фольговые полиэтилентерефталатные пленочные конденсаторы постоянной емкости, предназначенные для работы в цепях постоянного тока. Уровень качества Е |
| Название англ.: | Fixed capacitors for use in electronic equipment. Part 11. Blanc detail specification. Fixed polyethylene-terephthalate film dielectric metal foil d.c. capacitors. Assessment level E |
| Дата добавления в базу: | 01.09.2013 |
| Дата актуализации: | 01.01.2021 |
| Дата введения: | 01.07.1992 |
| Область применения: | Стандарт распространяется на конденсаторы постоянной емкости для электронной аппаратуры полиэтилентерефталатные фольговые. Стандарт подготовлен методом прямого применения международного стандарта МЭК 384-11-1-88. "Конденсаторы постоянной емкости для электронной аппаратуры. Часть 1. Форма технических условий на фольговые полиэтилентерефталатные пленочные конденсаторы постоянной емкости, предназначенные для работы в цепях постоянного тока. Уровень качества Е". |
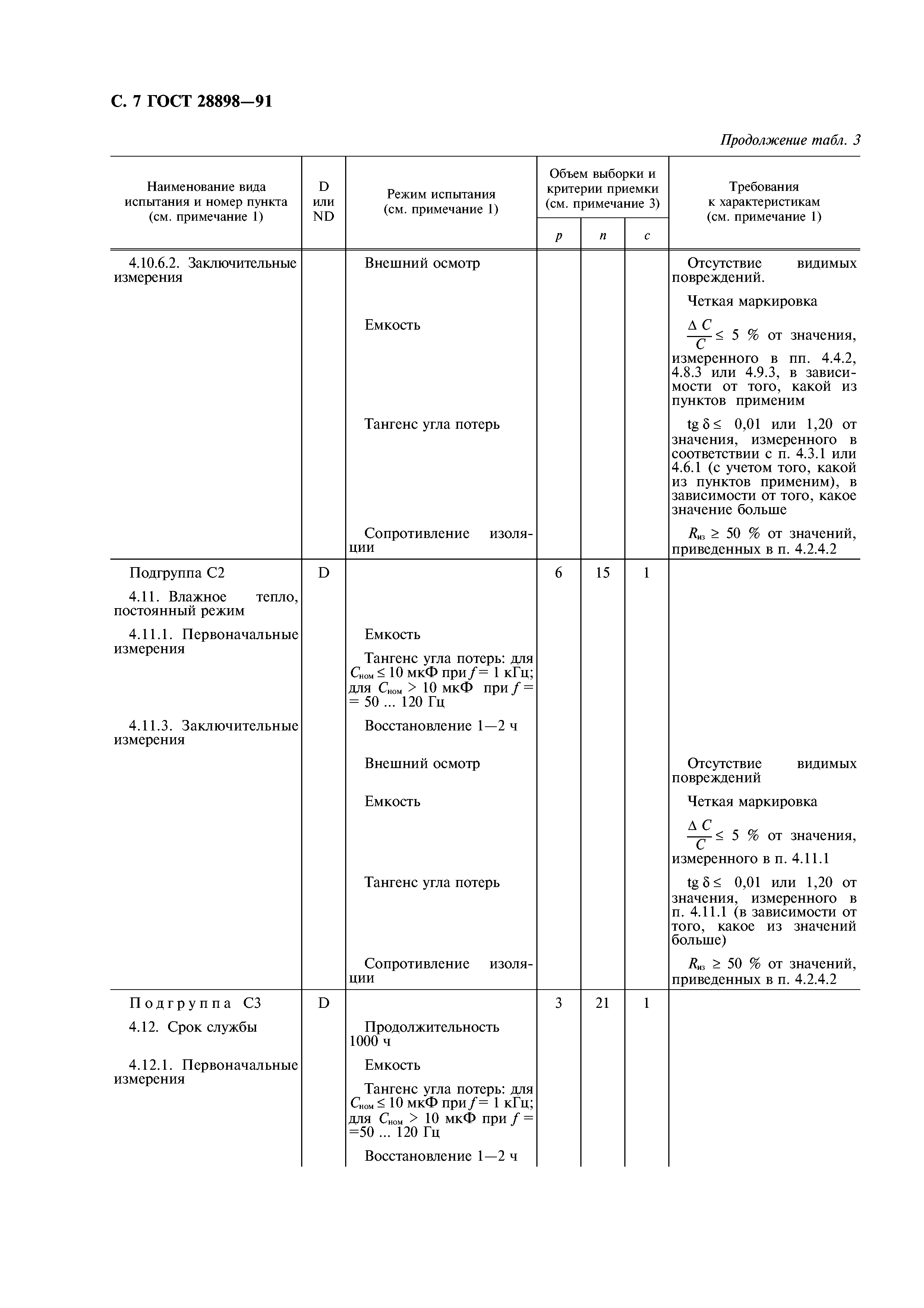
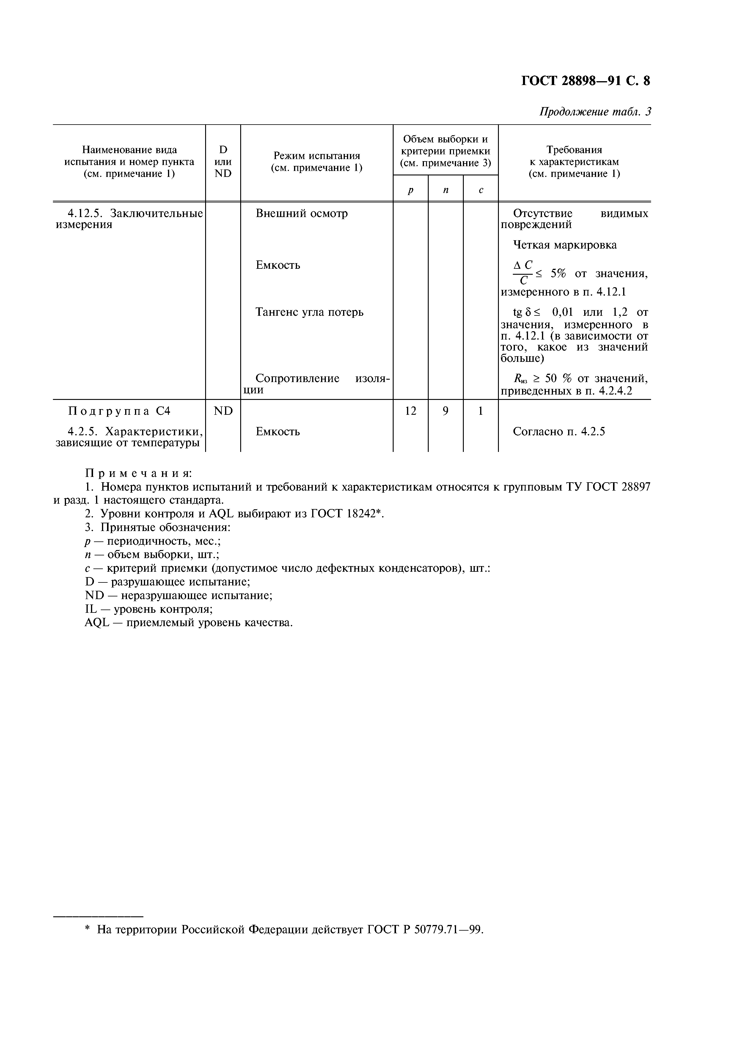
| Оглавление: | 1. Общие данные 2. Требования к контролю Приложение 1. Дополнительные требования, устанавливаемые в ТУ на конденсаторы конкретных типов Приложение 2. Порядок введения стандарта в действие Приложение 3. Стандарты МЭК, подготовленные техническим комитетом №40 |
| Разработан: | Министерство электронной промышленности СССР |
| Утверждён: | 24.01.1991 Государственный комитет СССР по управлению качеством продукции и стандартам (USSR National Committee on Standards and Product Quality Management 52) |
| Издан: | Издательство стандартов (1991 г. ) ИПК Издательство стандартов (2004 г. ) |
| Нормативные ссылки: |
|















