Скачать ГОСТ 29051-91 Пряности. Мускатный цвет. Технические условияДата актуализации: 01.01.2021
|
| Обозначение: | ГОСТ 29051-91 |
| Обозначение англ: | GOST 29051-91 |
| Статус: | действует |
| Название рус.: | Пряности. Мускатный цвет. Технические условия |
| Название англ.: | Spices. Mace, papua type. Specifications |
| Дата добавления в базу: | 01.09.2013 |
| Дата актуализации: | 01.01.2021 |
| Дата введения: | 01.01.1993 |
| Область применения: | Стандарт распространяется на пряность - мускатный цвет, представляющую собой высушенную семенную оболочку зрелых семян тропического растения Myristica fragrans (из семейства мускатных), применяемую при приготовлении различных продуктов питания. |
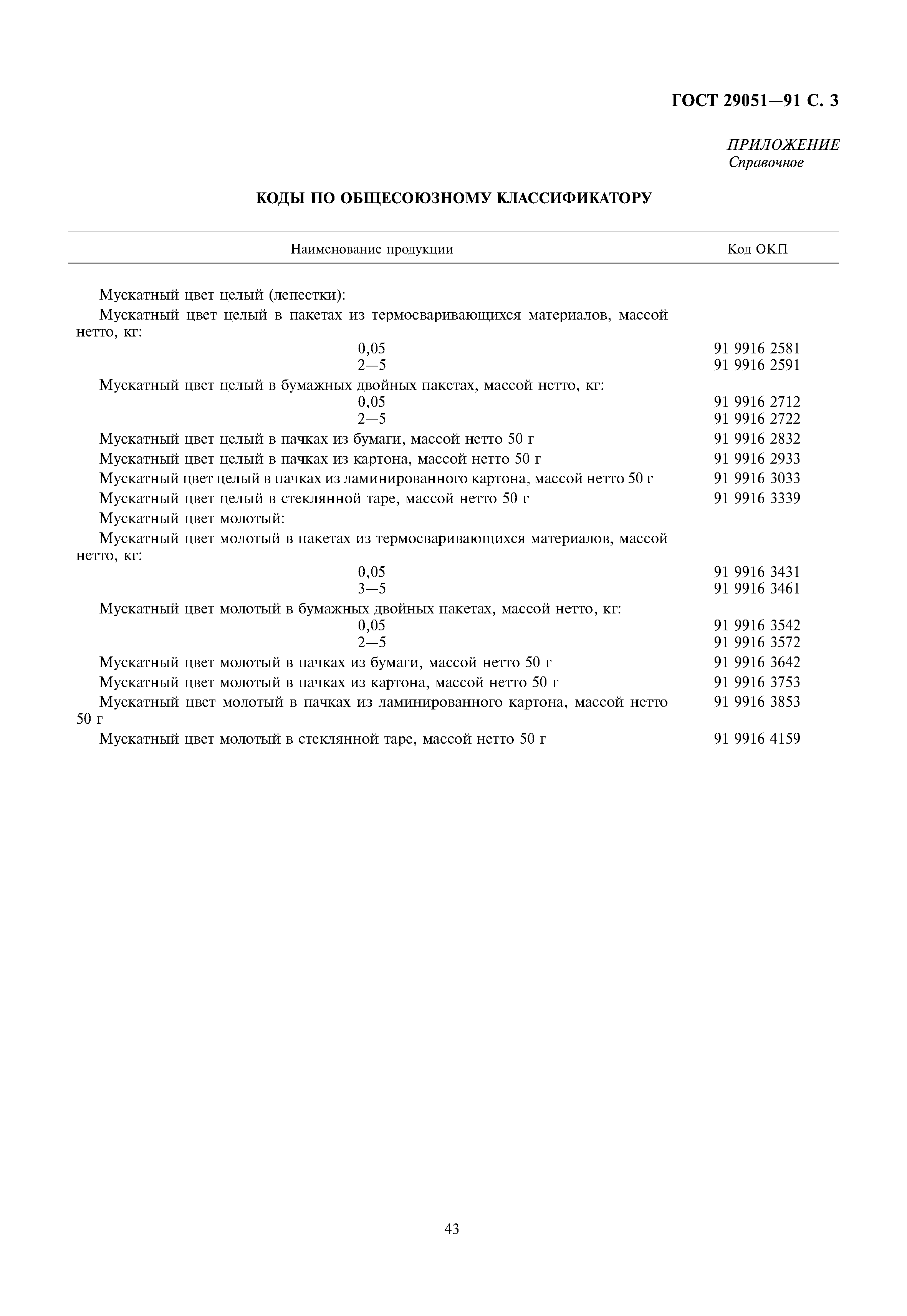
| Оглавление: | 1 Технические требования 2 Приемка 3 Методы анализа 4 Транспортирование и хранение Приложение (справочное) Коды по общесоюзному классификатору |
| Разработан: | ВНПОПП и СПТ |
| Утверждён: | 27.06.1991 Госкомитет СССР по управлению качеством продукции и стандартам (USSR National Committee on Product Quality Management and Standards 1058) |
| Издан: | Издательство стандартов (1992 г. ) Издательство стандартов (1991 г. ) ИПК Издательство стандартов (2004 г. ) Стандартинформ (2011 г. ) |
| Заменяет собой: |
|
| Нормативные ссылки: |
|




