Скачать ГОСТ 30055-93 Канаты из полимерных материалов и комбинированные. Технические условияДата актуализации: 01.01.2021
|
| Обозначение: | ГОСТ 30055-93 |
| Обозначение англ: | GOST 30055-93 |
| Статус: | действует |
| Название рус.: | Канаты из полимерных материалов и комбинированные. Технические условия |
| Название англ.: | Polimerie and combined rapes. Specifications |
| Дата добавления в базу: | 01.09.2013 |
| Дата актуализации: | 01.01.2021 |
| Дата введения: | 01.01.1995 |
| Область применения: | Стандарт распространяется на канаты из однородных полимерных материалов, а также комбинированные канаты из разных полимерных материалов и комбинированные канаты с использованием стальной проволоки и полимерных материалов, предназначенные для различных отраслей народного хозяйства. |
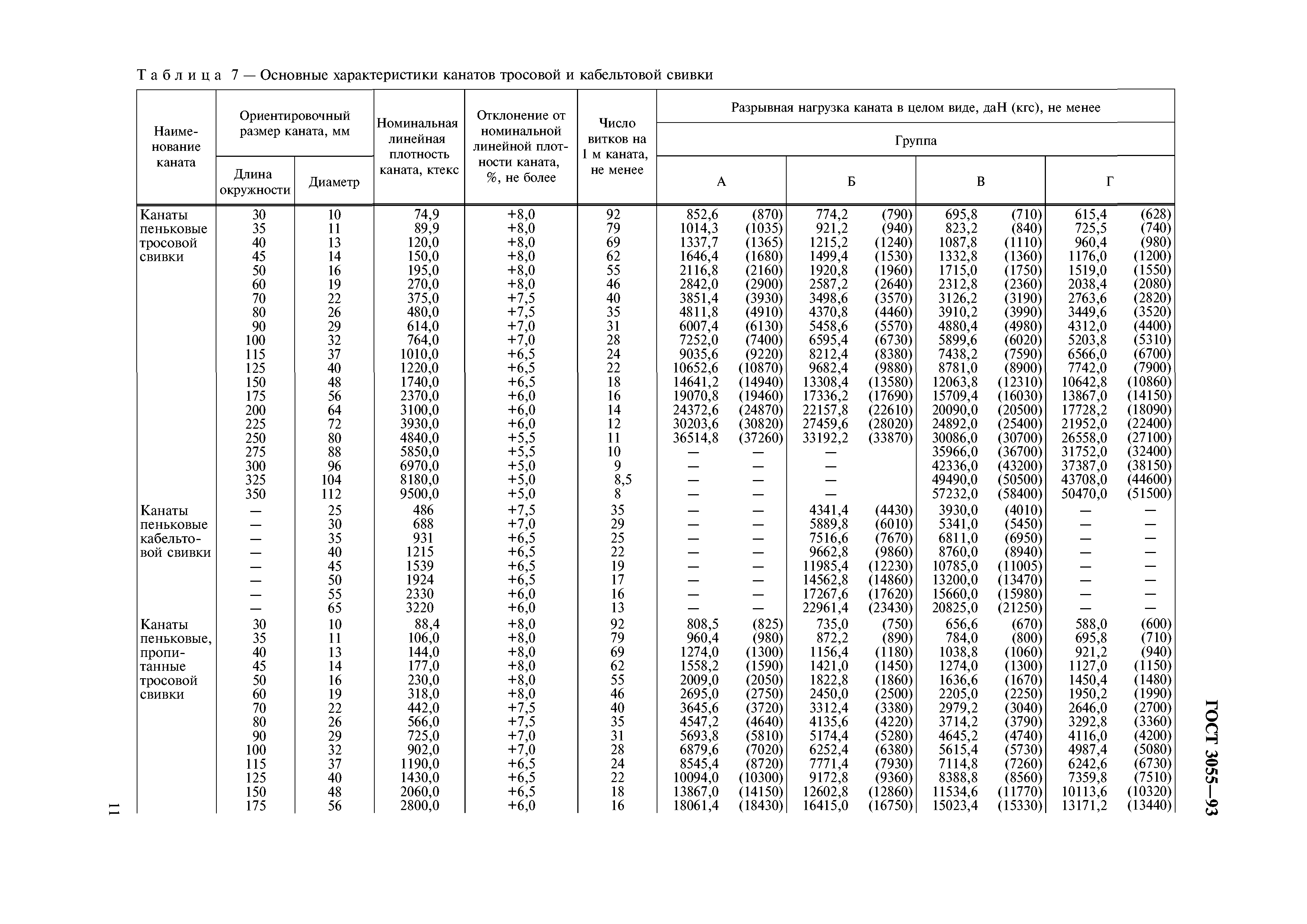
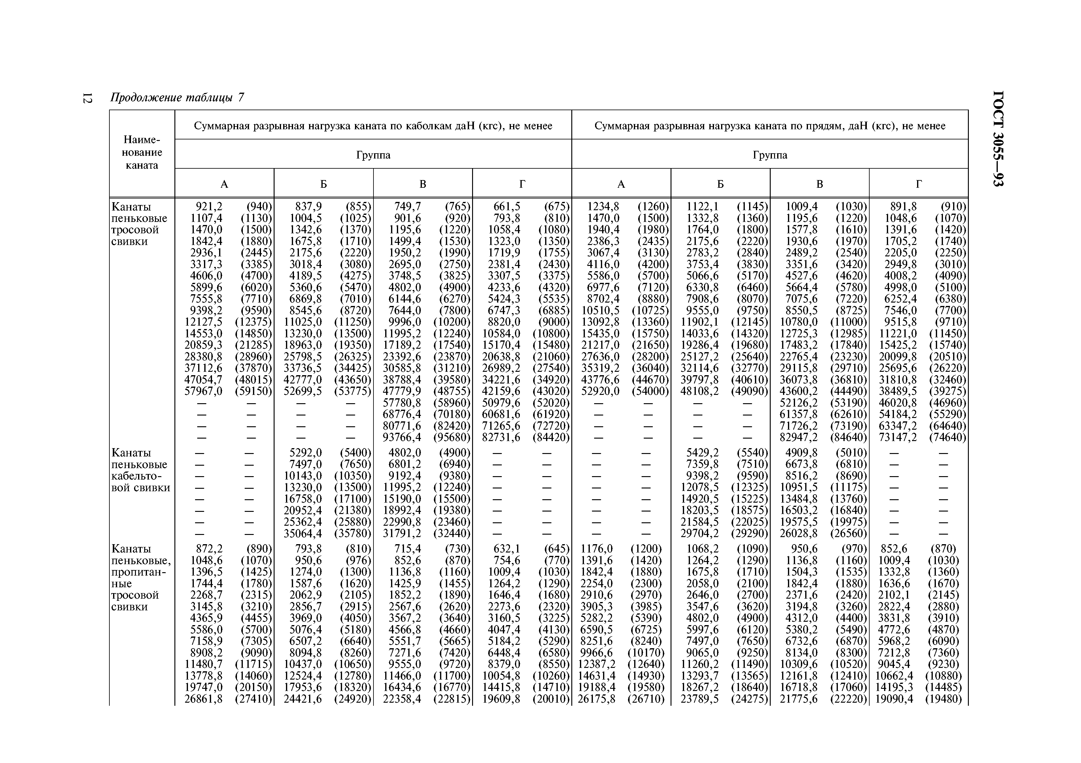
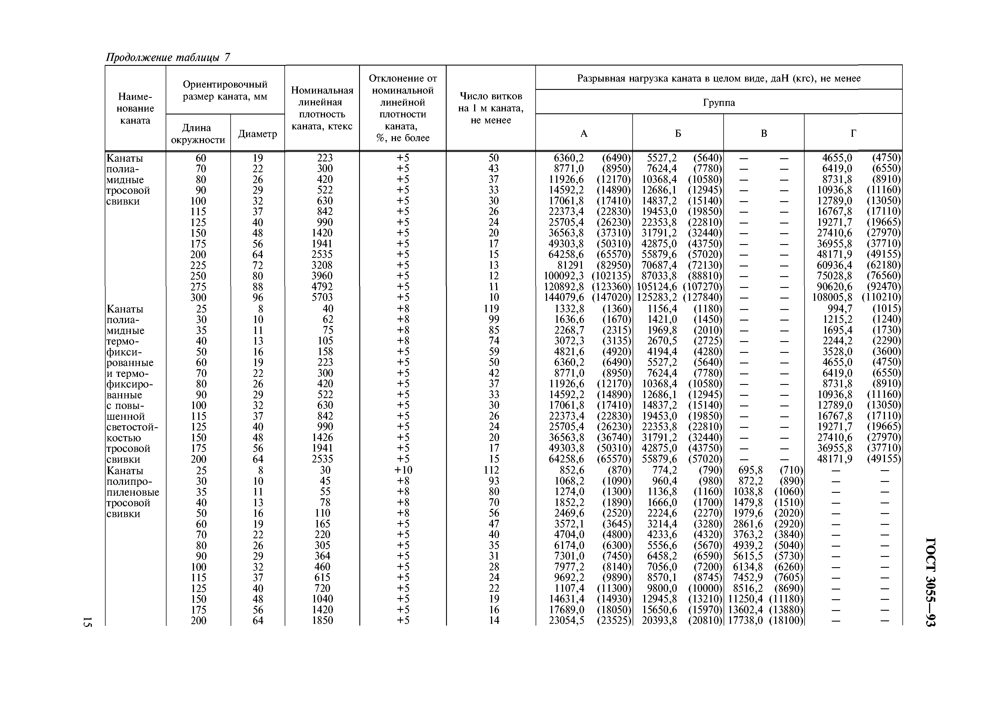
| Оглавление: | 1 Область применения 2 Нормативные ссылки 3 Определения 4 Классификация, основные параметры и размеры 5 Характеристики 6 Правила приемки 7 Методы испытаний 8 Транспортирование и хранение 9 Указания по эксплуатации 10 Гарантии изготовителя Приложение А Принцип классификации канатов по группам Приложение Б Значения КИП для канатов троссовой свивки Приложение В Значения КИП для канатов кабельтовой свивки |
| Разработан: | ЦНИИ комплексной автоматизации легкой промышленности |
| Утверждён: | 02.06.1994 Госстандарт России (Russian Federation Gosstandart 159) 20.10.1993 Межгосударственный Совет по стандартизации, метрологии и сертификации (Inter-Governmental Council on Standardization, Metrology, and Certification ) |
| Издан: | Издательство стандартов (1994 г. ) ИПК Издательство стандартов (2003 г. ) |
| Список изменений: |
|
| Заменяет собой: |
|
| Нормативные ссылки: |
|










































Текстовое изменение № 1 от 01.10.2004









