Скачать ГОСТ 31.1066.03-97 Приспособления к металлорежущим станкам. Оправки центровые для точных работ. Общие технические условия

Дата актуализации: 01.01.2021

ГОСТ 31.1066.03-97

Приспособления к металлорежущим станкам. Оправки центровые для точных работ. Общие технические условия

Обозначение: ГОСТ 31.1066.03-97
Обозначение англ: GOST 31.1066.03-97
Статус:взамен
Название рус.:Приспособления к металлорежущим станкам. Оправки центровые для точных работ. Общие технические условия
Название англ.:Attachments for metal-cutting tools. Centre arbors for precision machining. General specifications
Дата добавления в базу:01.09.2013
Дата актуализации:01.01.2021
Дата введения:01.07.1998
Область применения:Стандарт распространяется на центровые оправки, предназначенные для установки деталей с цилиндрическим базовым отверстием при точной обработке их на токарных, шлифовальных и других металлорежущих станках.
Оглавление:1 Область применения
2 Нормативные ссылки
3 Технические требования
4 Правила приемки
5 Методы контроля
6 Транспортирование и хранение
7 Гарантии изготовителя
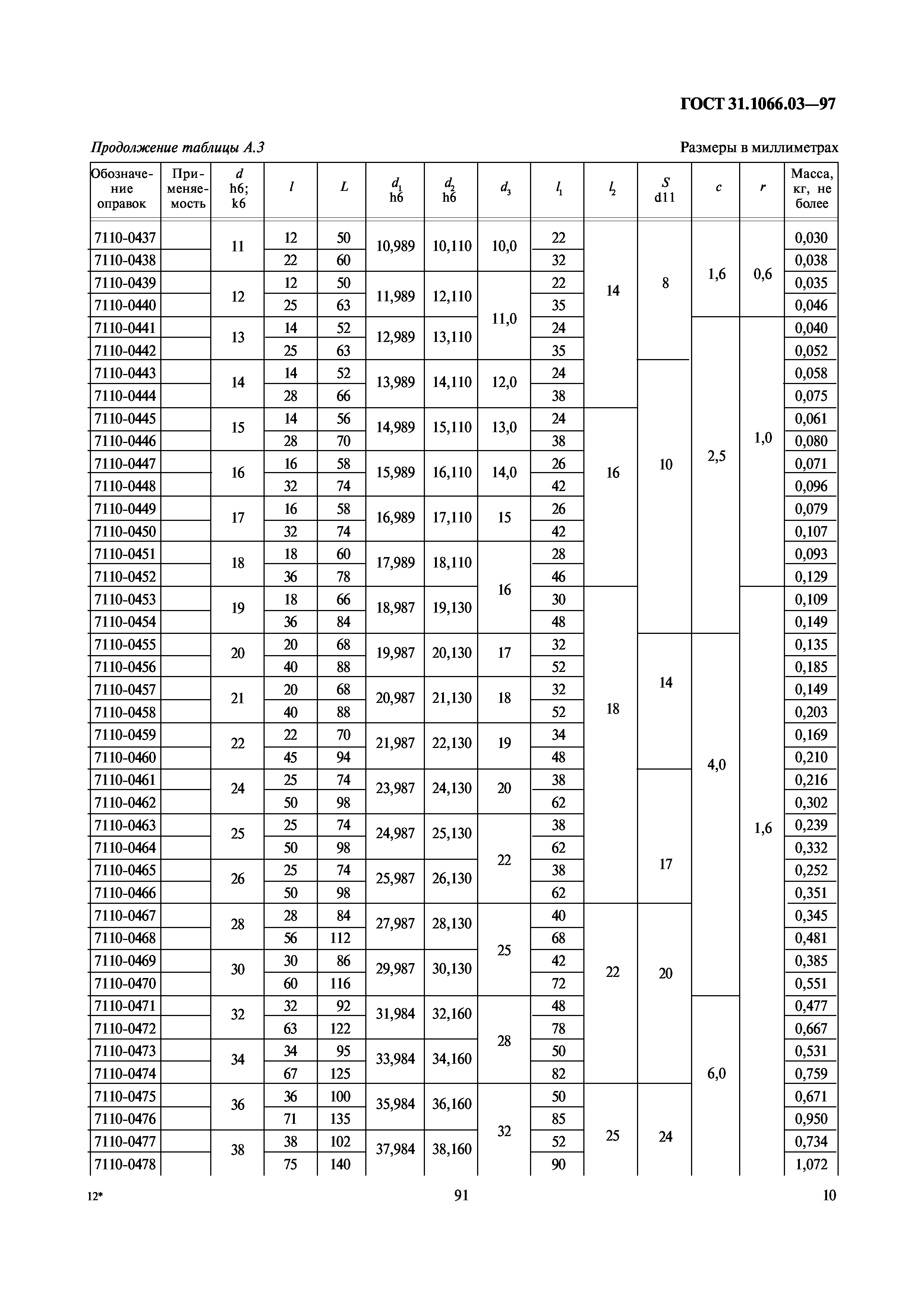
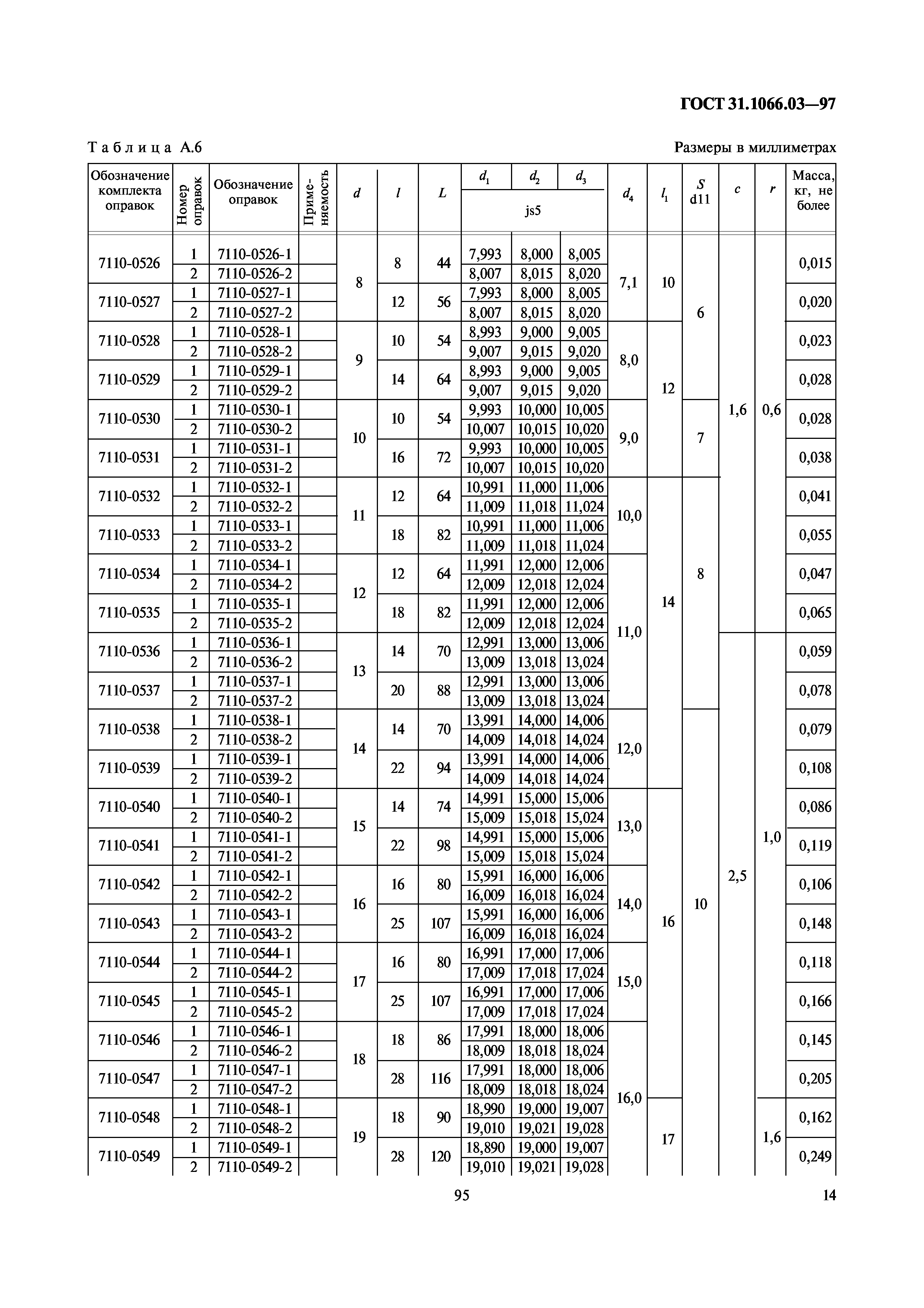
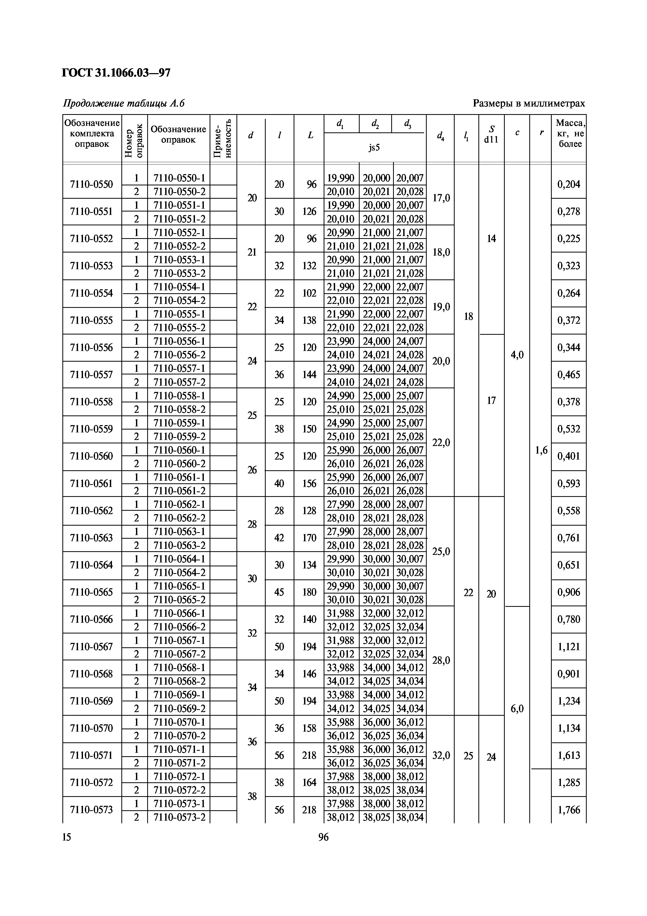
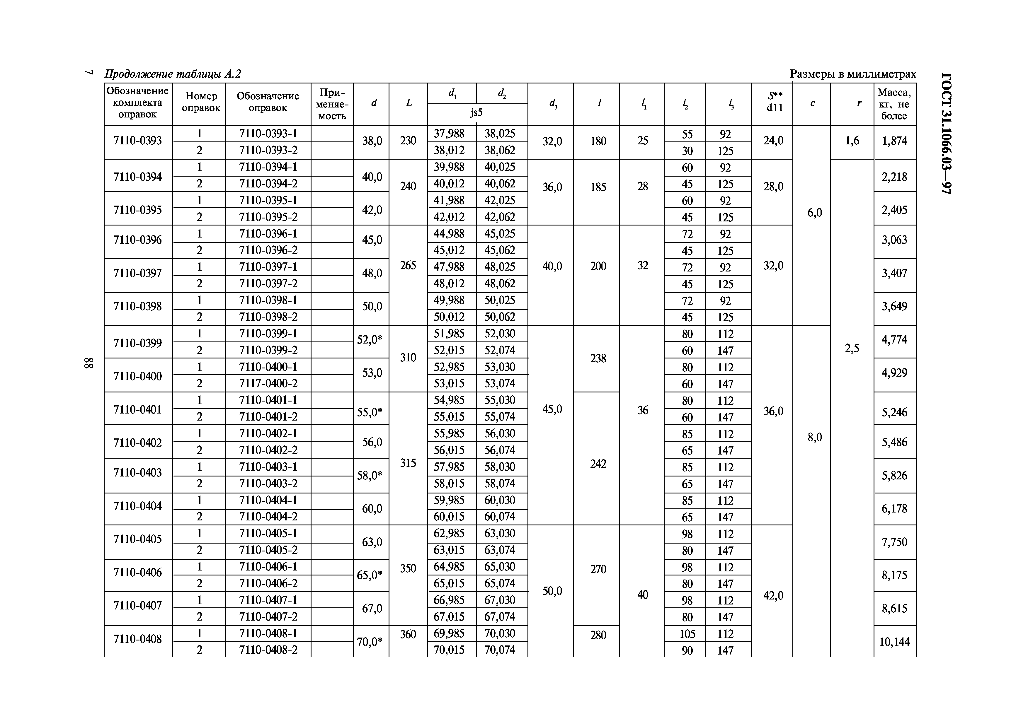
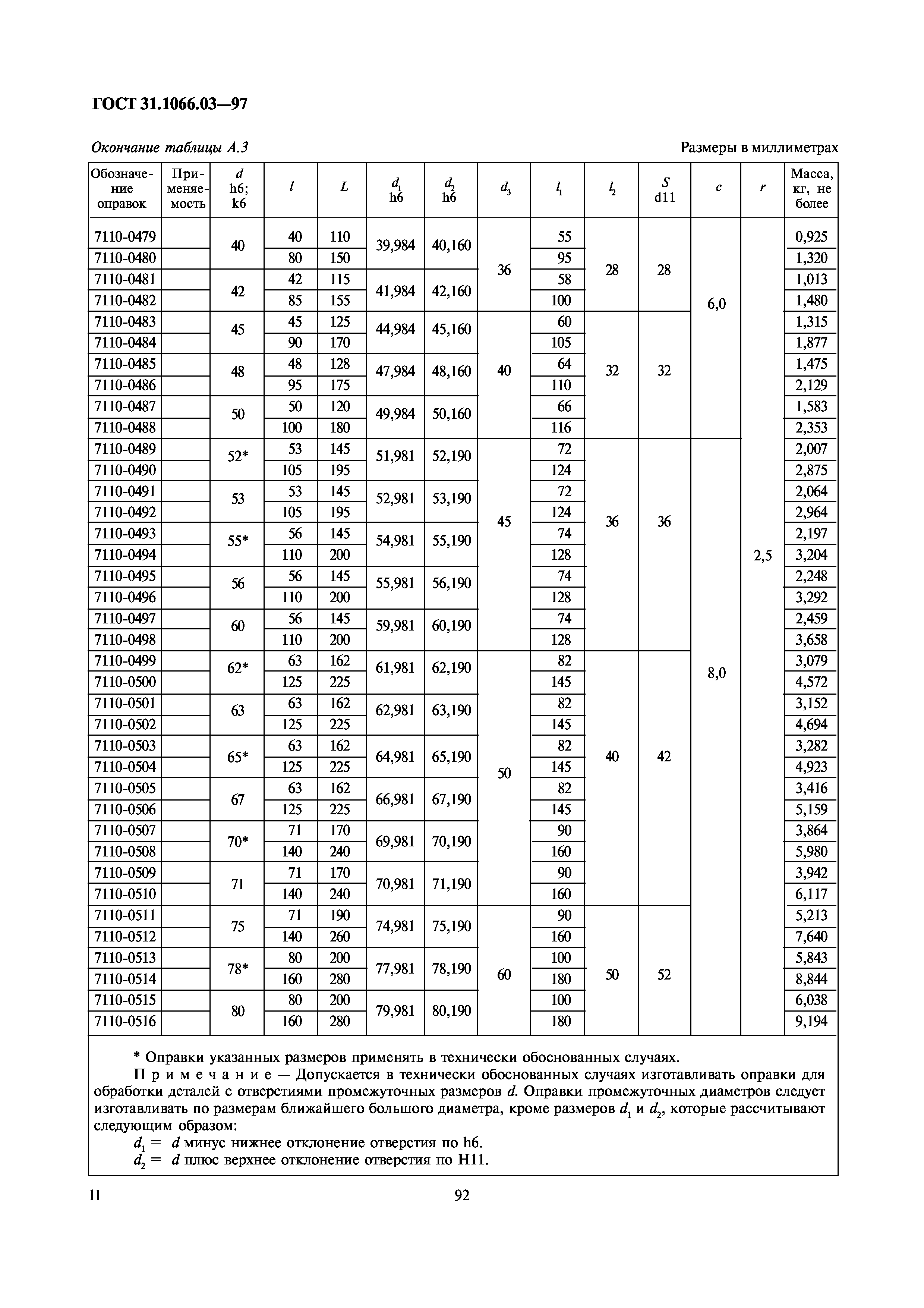
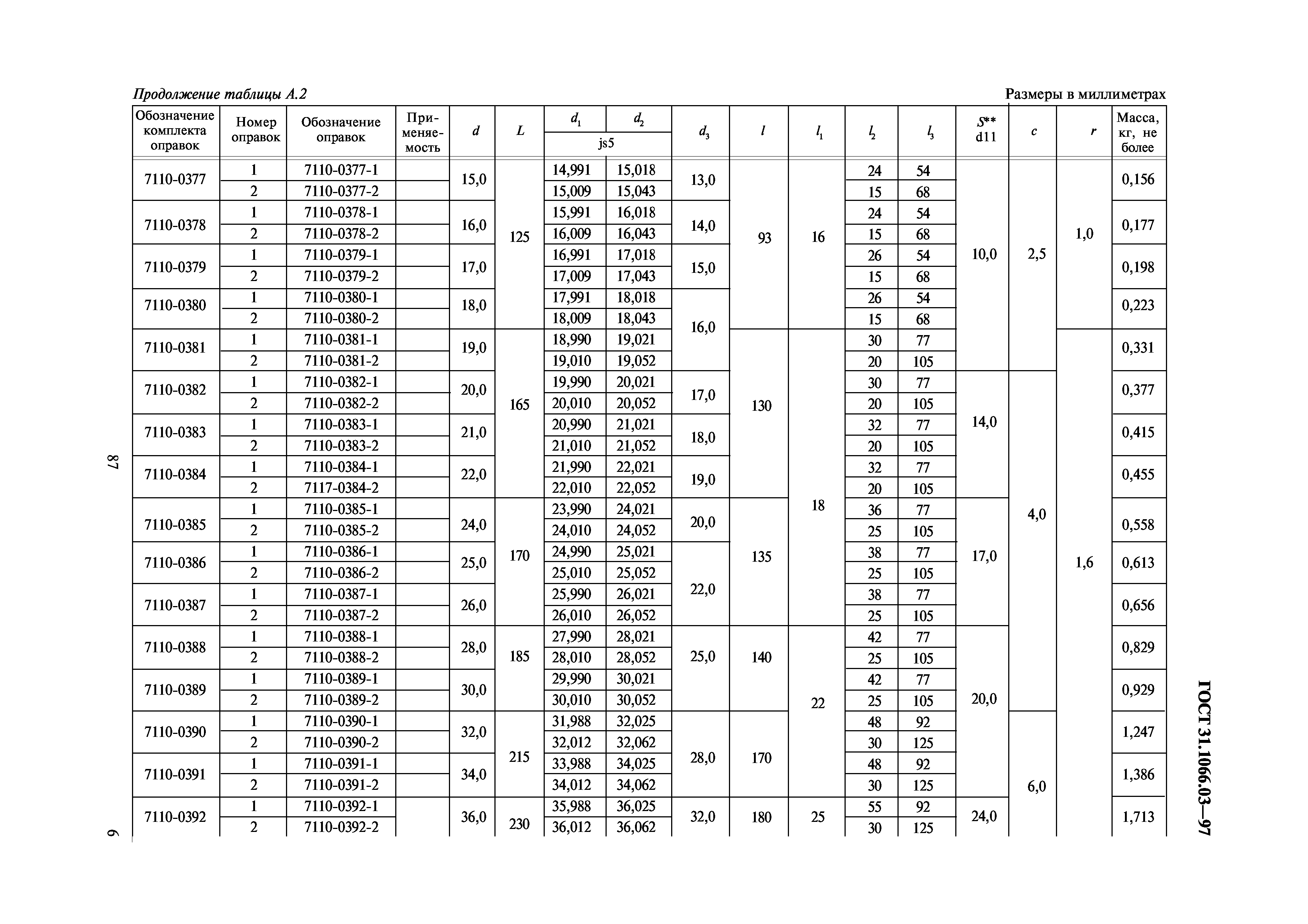
Приложение А (обязательное) Конструкция и размеры
Разработан: ТК 224 Технологическая оснастка
Утверждён:25.04.1997 Межгосударственный Совет по стандартизации, метрологии и сертификации (Inter-Governmental Council on Standardization, Metrology, and Certification 11)
27.11.1997 Государственный комитет Российской Федерации по стандартизации, метрологии и сертификации (387)
Издан: ИПК Издательство стандартов (1998 г. )
Стандартинформ (2005 г. )
Заменяет собой:
Нормативные ссылки:
ГОСТ 31.1066.03-97ГОСТ 31.1066.03-97ГОСТ 31.1066.03-97ГОСТ 31.1066.03-97ГОСТ 31.1066.03-97ГОСТ 31.1066.03-97ГОСТ 31.1066.03-97ГОСТ 31.1066.03-97ГОСТ 31.1066.03-97ГОСТ 31.1066.03-97ГОСТ 31.1066.03-97ГОСТ 31.1066.03-97ГОСТ 31.1066.03-97ГОСТ 31.1066.03-97ГОСТ 31.1066.03-97ГОСТ 31.1066.03-97ГОСТ 31.1066.03-97ГОСТ 31.1066.03-97ГОСТ 31.1066.03-97