| Обозначение: | ГОСТ 6477-88 |
| Обозначение англ: | GOST 6477-88 |
| Статус: | применяется в еаэс |
| Название рус.: | Карамель. Общие технические условия |
| Название англ.: | Caramel. General specifications |
| Дата добавления в базу: | 01.09.2013 |
| Дата актуализации: | 01.01.2021 |
| Дата введения: | 01.07.1989 |
| Дата окончания срока действия: | 01.07.2020 |
| Область применения: | Стандарт распространяется на карамель, изготовляемую для нужд народного хозяйства и для экспорта. |
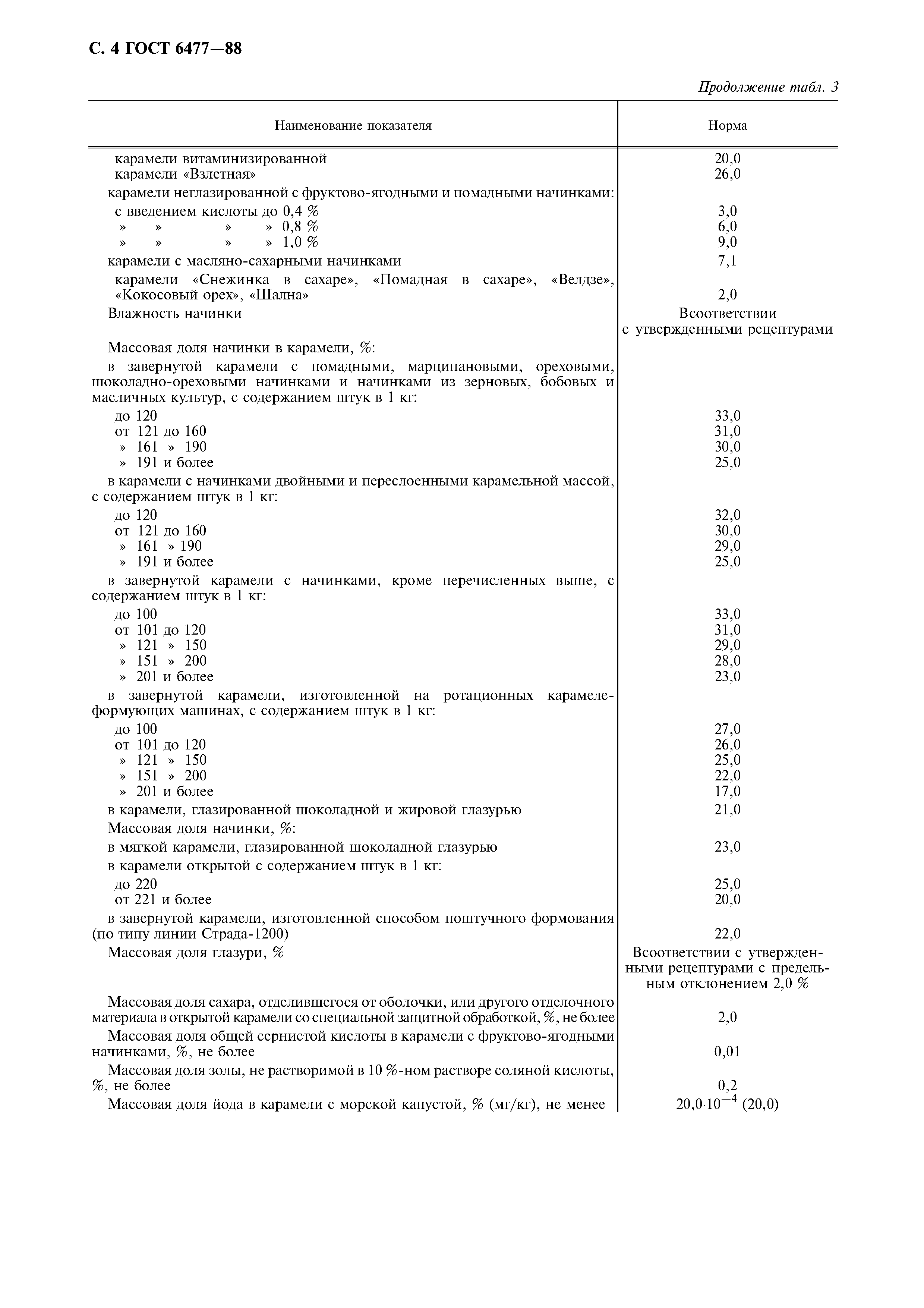
| Оглавление: | 1. Технические требования 2. Приемка 3. Методы анализа 4. Транспортирование и хранение |
| Разработан: | Государственный агропромышленный комитет СССР
|
| Утверждён: | 28.06.1988 Государственный комитет СССР по стандартам (USSR National Committee on Standards 2450)
|
| Издан: | Издательство стандартов (1988 г. ) ИПК Издательство стандартов (2004 г. )
|
| Список изменений: | |
| Заменяет собой: | ГОСТ 13936-68 «Карамель, поставляемая для экспорта. Технические условия» (ИУС 11-88) ГОСТ 6477-69 «Карамель» (ИУС 11-88) |
| Нормативные ссылки: |   ГОСТ 14192-96 «Маркировка грузов»  ГОСТ 20477-86 «Лента полиэтиленовая с липким слоем. Технические условия»  ГОСТ 745-79 «Фольга алюминиевая для упаковки. Технические условия»  ГОСТ 9569-79 «Бумага парафинированная. Технические условия»  ГОСТ 24831-81 «Тара-оборудование. Типы, основные параметры и размеры» ГОСТ 10131-93 «Ящики из древесины и древесных материалов для продукции пищевых отраслей промышленности, сельского хозяйства и спичек. Технические условия» ГОСТ 11354-93 «Ящики из древесины и древесных материалов многооборотные для продукции пищевых отраслей промышленности и сельского хозяйства. Технические условия» ГОСТ 12120-82 «Банки металлические и комбинированные. Технические условия» ГОСТ 1341-97 «Пергамент растительный. Технические условия» ГОСТ 13511-91 «Ящики из гофрированного картона для пищевых продуктов, спичек, табака и моющих средств. Технические условия» ГОСТ 13512-91 «Ящики из гофрированного картона для кондитерских изделий. Технические условия» ГОСТ 16711-84 «Основа парафинированной бумаги. Технические условия» ГОСТ 1760-86 «Подпергамент. Технические условия» ГОСТ 18510-87 «Бумага писчая. Технические условия» ГОСТ 23285-78 «Пакеты транспортные для пищевых продуктов и стеклянной тары. Технические условия» ГОСТ 26811-86 «Изделия кондитерские. Метод определения массовой доли общей сернистой кислоты»  ГОСТ 26927-86 «Сырье и продукты пищевые. Методы определения ртути»  ГОСТ 26929-94 «Сырье и продукты пищевые. Подготовка проб. Минерализация для определения содержания токсичных элементов»  ГОСТ 26930-86 «Сырье и продукты пищевые. Метод определения мышьяка»  ГОСТ 26931-86 «Сырье и продукты пищевые. Методы определения меди»  ГОСТ 26932-86 «Сырье и продукты пищевые. Методы определения свинца»  ГОСТ 26933-86 «Сырье и продукты пищевые. Методы определения кадмия»  ГОСТ 26934-86 «Сырье и продукты пищевые. Метод определения цинка» ГОСТ 5897-90 «Изделия кондитерские. Методы определения органолептических показателей качества, размеров, массы нетто и составных частей» ГОСТ 5898-87 «Изделия кондитерские. Методы определения кислотности и щелочности» ГОСТ 5900-73 «Изделия кондитерские. Методы определения влаги и сухих веществ» ГОСТ 5901-87 «Изделия кондитерские. Методы определения массовой доли золы и металломагнитной примеси» ГОСТ 5903-89 «Изделия кондитерские. Методы определения сахара» ГОСТ 5904-82 «Изделия кондитерские. Правила приемки, методы отбора и подготовки проб» ГОСТ 7625-86 «Бумага этикеточная. Технические условия» ГОСТ 7730-89 «Пленка целлюлозная. Технические условия»  ГОСТ 15846-2002 «Продукция, отправляемая в районы Крайнего Севера и приравненные к ним местности. Упаковка, маркировка, транспортирование и хранение»
|