| Обозначение: | ГОСТ 7211-86 |
| Обозначение англ: | GOST 7211-86 |
| Статус: | взамен |
| Название рус.: | Зубила слесарные. Технические условия |
| Название англ.: | Cold chisels. Specifications |
| Дата добавления в базу: | 01.09.2013 |
| Дата актуализации: | 01.01.2021 |
| Дата введения: | 01.07.1987 |
| Область применения: | Стандарт распространяется на ручные слесарные зубила для рубки незакаленных металлов, изготовляемые для нужд народного хозяйства и для экспорта. |
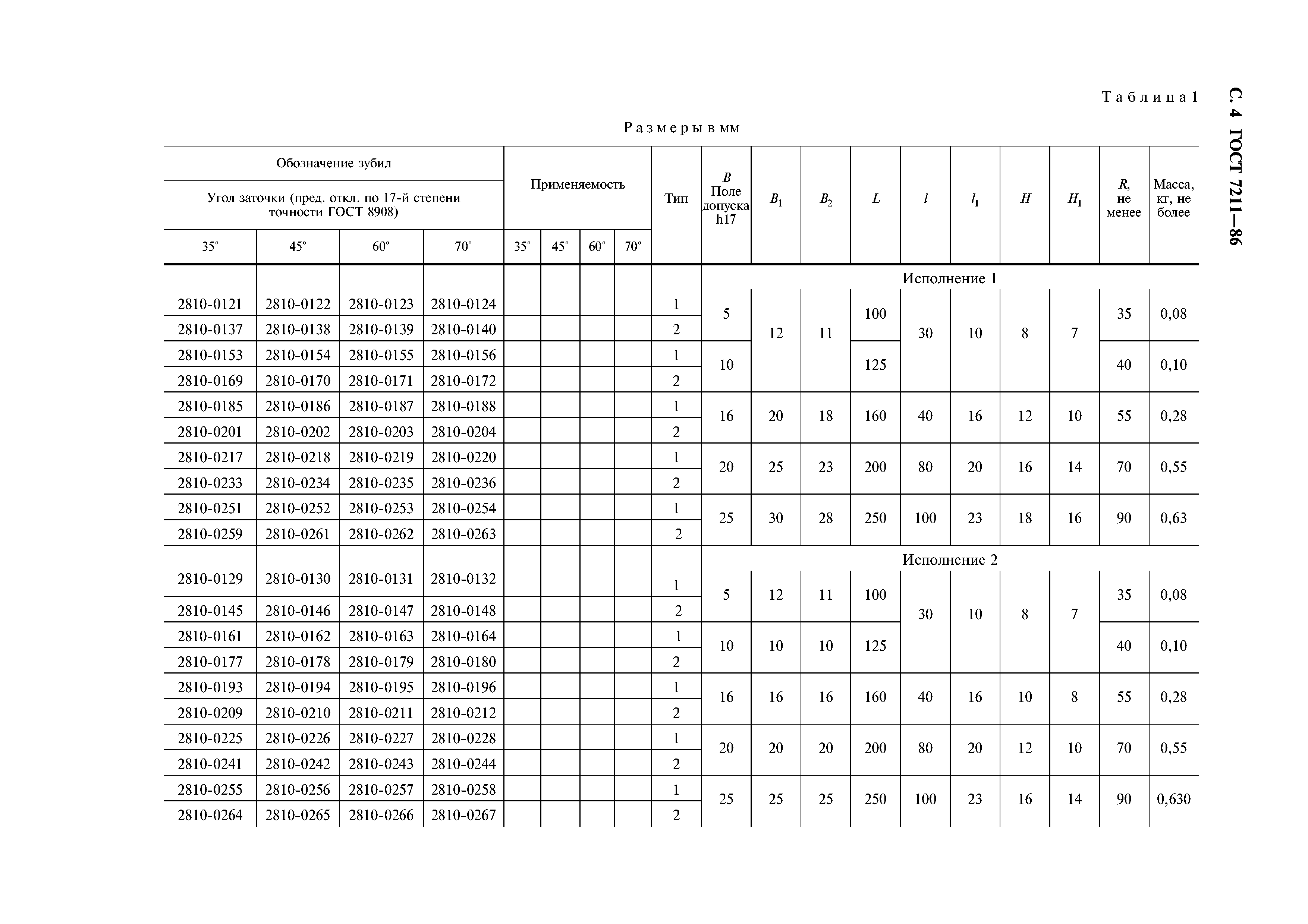
| Оглавление: | 1 Типы и основные параметры 2 Технические требования 3 Правила приемки 4 Методы испытаний 5 Транспортирование и хранение 6 Гарантии изготовителя |
| Разработан: | Министерство станкостроительной и инструментальной промышленности СССР
|
| Утверждён: | 26.06.1986 Государственный комитет СССР по стандартам (USSR National Committee on Standards 1805)
|
| Издан: | Издательство стандартов (1986 г. ) Издательство стандартов (1990 г. ) ИПК Издательство стандартов (2001 г. )
|
| Список изменений: | |
| Заменяет собой: | ГОСТ 7211-72 «Зубила слесарные» |
| Нормативные ссылки: |   ГОСТ 380-94 «Сталь углеродистая обыкновенного качества. Марки»  ГОСТ 2879-88 «Прокат стальной горячекатаный шестигранный. Сортамент»  ГОСТ 9.032-74 «Единая система защиты от коррозии и старения. Покрытия лакокрасочные. Группы, технические требования и обозначения»  ГОСТ 9.301-86 «Единая система защиты от коррозии и старения. Покрытия металлические и неметаллические неорганические. Общие требования»  ГОСТ 9.302-88 «Единая система защиты от коррозии и старения. Покрытия металлические и неметаллические неорганические. Методы контроля»  ГОСТ 9.303-84 «Единая система защиты от коррозии и старения. Покрытия металлические и неметаллические неорганические. Общие требования к выбору»  ГОСТ 9.306-85 «Единая система защиты от коррозии и старения. Покрытия металлические и неметаллические неорганические. Обозначения»  ГОСТ 1435-99 «Прутки, полосы и мотки из инструментальной нелегированной стали. Общие технические условия»  ГОСТ 9.014-78 «Единая система защиты от коррозии и старения. Временная противокоррозионная защита изделий. Общие требования»  ГОСТ 2789-73 «Шероховатость поверхности. Параметры и характеристики»  ГОСТ 7505-89 «Поковки стальные штампованные. Допуски, припуски и кузнечные напуски» ГОСТ 18088-83 «Инструмент металлорежущий, алмазный, дереворежущий, слесарно-монтажный и вспомогательный. Упаковка, маркировка, транспортирование и хранение» ГОСТ 26810-86 «Инструмент слесарно-монтажный. Правила приемки» ГОСТ 5210-82 «Прокат сортовой из инструментальной стали для напильников, рашпилей, зубил и крейцмейселей. Общие технические условия» ГОСТ 5950-73 «Прутки и полосы из инструментальной легированной стали. Технические условия»  ГОСТ 8908-81 «Основные нормы взаимозаменяемости. Нормальные углы и допуски углов»  ГОСТ 9013-59 «Металлы. Метод измерения твердости по Роквеллу»
|