Скачать ГОСТ 7449-64 Рыбы лососевые соленые. Технические условия
Дата актуализации: 01.01.2021
ГОСТ 7449-64
Рыбы лососевые соленые. Технические условия
Обозначение:
ГОСТ 7449-64
Обозначение англ:
GOST 7449-64
Статус:
заменен
Название рус.:
Рыбы лососевые соленые. Технические условия
Название англ.:
Salted salmon. Specifications
Дата добавления в базу:
01.10.2014
Дата актуализации:
01.01.2021
Дата введения:
01.01.1966
Дата окончания срока действия:
01.01.1998
Область применения:
Стандарт распространяется на соленые лососевые рыбы: лосось балтийский, беломорский, каспийкий, озерный (с. Salmonidae), нельму. Семгу и прудовую форель.
Оглавление:
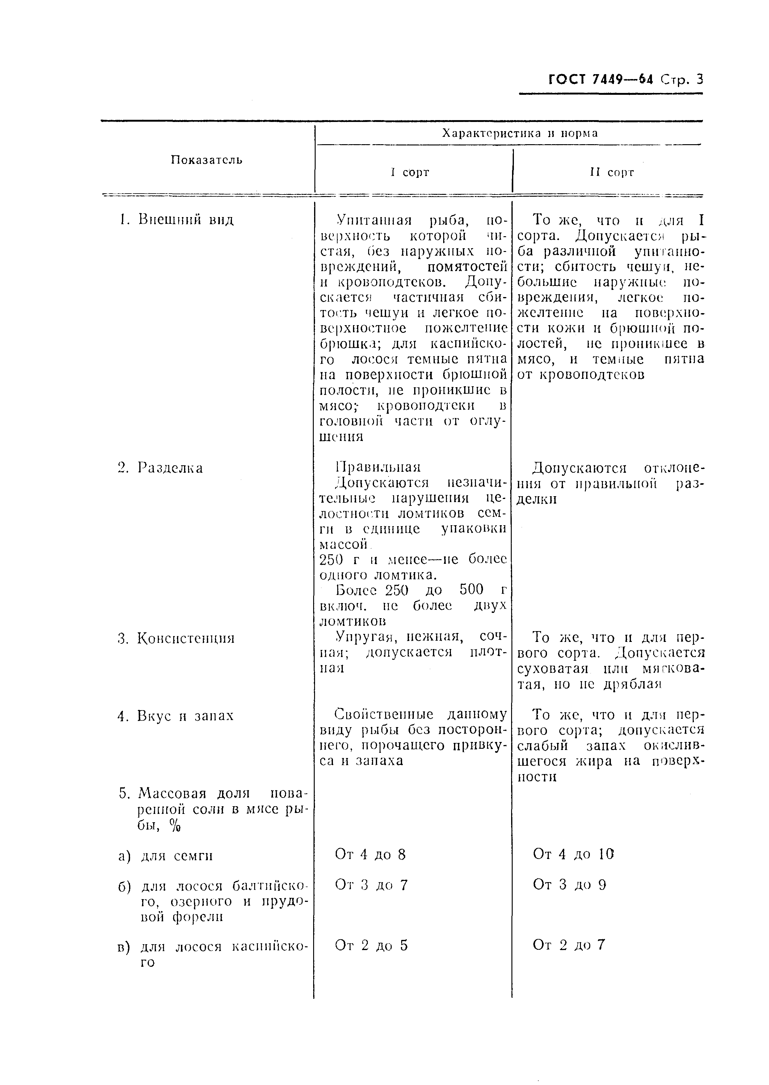
1 Технические требования
2 Правила приемки
2а Методы испытаний
3 Упаковка, маркировка, транспортирование и хранение
Утверждён:
27.10.1964 Государственный комитет стандартов, мер и измерительных приборов при Совете Министров СССР
(756)
Издан:
Издательство стандартов
(1986 г. )
Список изменений:
№ 6 от 01.01.1997
(ИУС 9-1996)
№ 1 от 01.03.1979
(ИУС 2-1979)
№ 4 от 01.11.1988
(ИУС 8-1988)
Заменяет собой:
ГОСТ 7449-55 «Лососи соленые»
Нормативные ссылки:
ГОСТ 3560-73 «Лента стальная упаковочная. Технические условия»
ГОСТ 8273-75 «Бумага оберточная. Технические условия»
ГОСТ 3282-74 «Проволока стальная низкоуглеродистая общего назначения. Технические условия»
ГОСТ 20477-86 «Лента полиэтиленовая с липким слоем. Технические условия»
ГОСТ 24597-81 «Пакеты тарно-штучных грузов. Основные параметры и размеры»
ГОСТ 26663-85 «Пакеты транспортные. Формирование с применением средств пакетирования. Общие технические требования»
ГОСТ 2874-82 «Вода питьевая. Гигиенические требования и контроль за качеством»
ГОСТ 1168-86 «Рыба мороженая. Технические условия»
ГОСТ 13356-84 «Ящики деревянные для продукции рыбной промышленности. Технические условия»
ГОСТ 1341-84 «Пергамент. Технические условия»
ГОСТ 13516-86 «Ящики из гофрированного картона для консервов, пресервов и пищевых жидкостей. Технические условия»
ГОСТ 13830-91 «Соль поваренная пищевая. Общие технические условия»
ГОСТ 14192-77 «Маркировка грузов»
ГОСТ 18251-87 «Лента клеевая на бумажной основе. Технические условия»
ГОСТ 23285-78 «Пакеты транспортные для пищевых продуктов и стеклянной тары. Технические условия»
ГОСТ 26927-86 «Сырье и продукты пищевые. Методы определения ртути»
ГОСТ 26929-94 «Сырье и продукты пищевые. Подготовка проб. Минерализация для определения содержания токсичных элементов»
ГОСТ 26930-86 «Сырье и продукты пищевые. Метод определения мышьяка»
ГОСТ 26931-86 «Сырье и продукты пищевые. Методы определения меди»
ГОСТ 26932-86 «Сырье и продукты пищевые. Методы определения свинца»
ГОСТ 26933-86 «Сырье и продукты пищевые. Методы определения кадмия»
ГОСТ 26934-86 «Сырье и продукты пищевые. Метод определения цинка»
ГОСТ 5717-91 «Банки стеклянные для консервов. Технические условия»
ГОСТ 5981-88 «Банки металлические для консервов. Технические условия»
ГОСТ 7631-85 «Рыба, морские млекопитающие, морские беспозвоночные и продукты их переработки. Правила приемки, органолептические методы оценки качества, методы отбора проб для лабораторных испытаний»
ГОСТ 7636-85 «Рыба, морские млекопитающие, морские беспозвоночные и продукты их переработки. Методы анализа»
ГОСТ 814-61 «Рыба охлажденная. Технические условия»
ГОСТ 8777-80 «Бочки деревянные заливные и сухотарные. Технические условия»
Текстовое изменение № 6 от 01.01.1997
Текстовое изменение № 1 от 01.03.1979
Текстовое изменение № 4 от 01.11.1988