Скачать РД 34.25.509 Типовая инструкция по пуску из различных тепловых состояний и останову моноблока мощностью 300 МВт с турбиной К-300-240 ХТГЗДата актуализации: 01.01.2021
|
| Обозначение: | РД 34.25.509 |
| Обозначение англ: | RD 34.25.509 |
| Статус: | действует |
| Название рус.: | Типовая инструкция по пуску из различных тепловых состояний и останову моноблока мощностью 300 МВт с турбиной К-300-240 ХТГЗ |
| Название англ.: | Model Guidelines for Startup from Various Thermal States and Shutdown of 300-MW Boiler-Turbine Sets with Turbine K-300-240 KhTGZ |
| Дата добавления в базу: | 01.09.2013 |
| Дата актуализации: | 01.01.2021 |
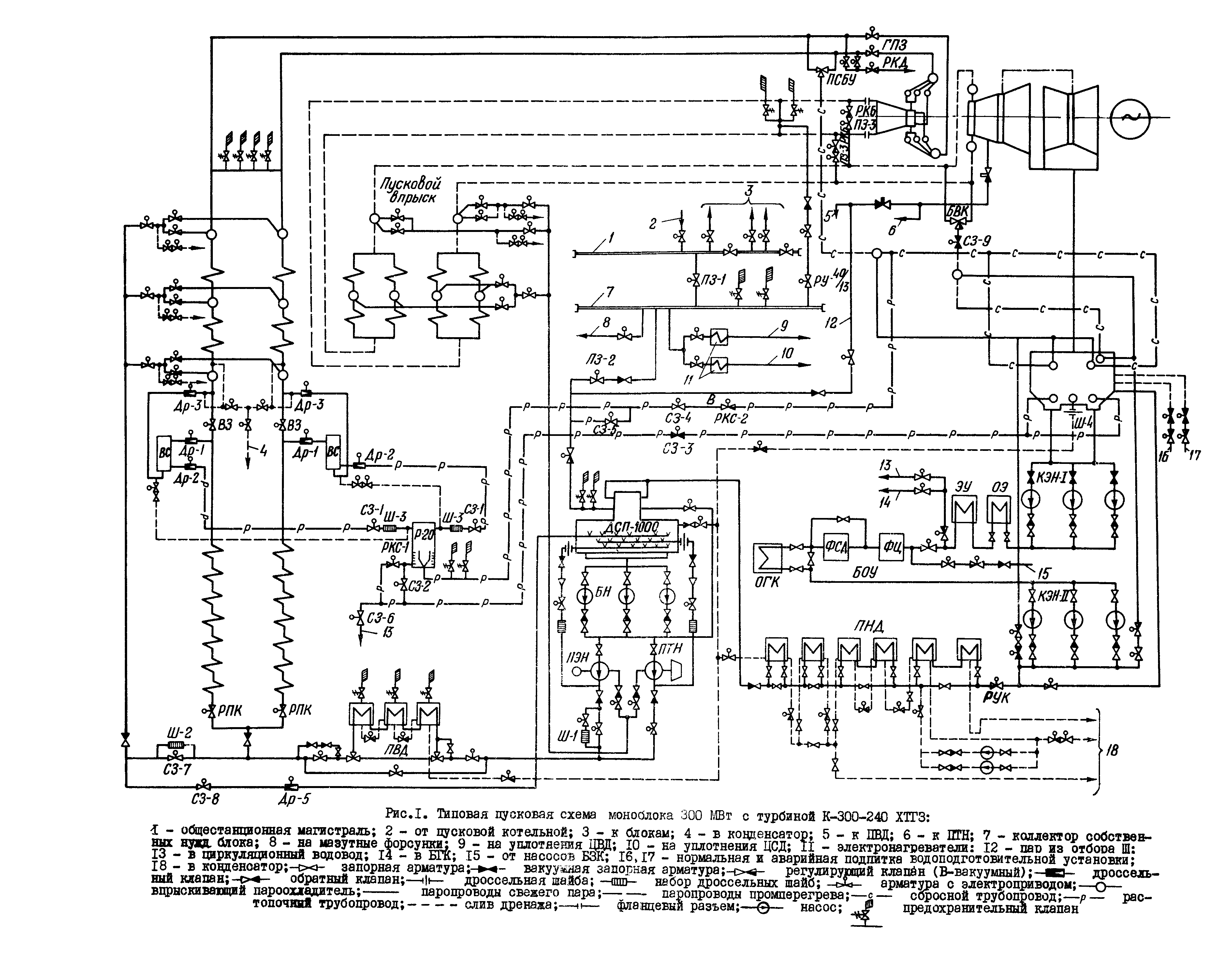
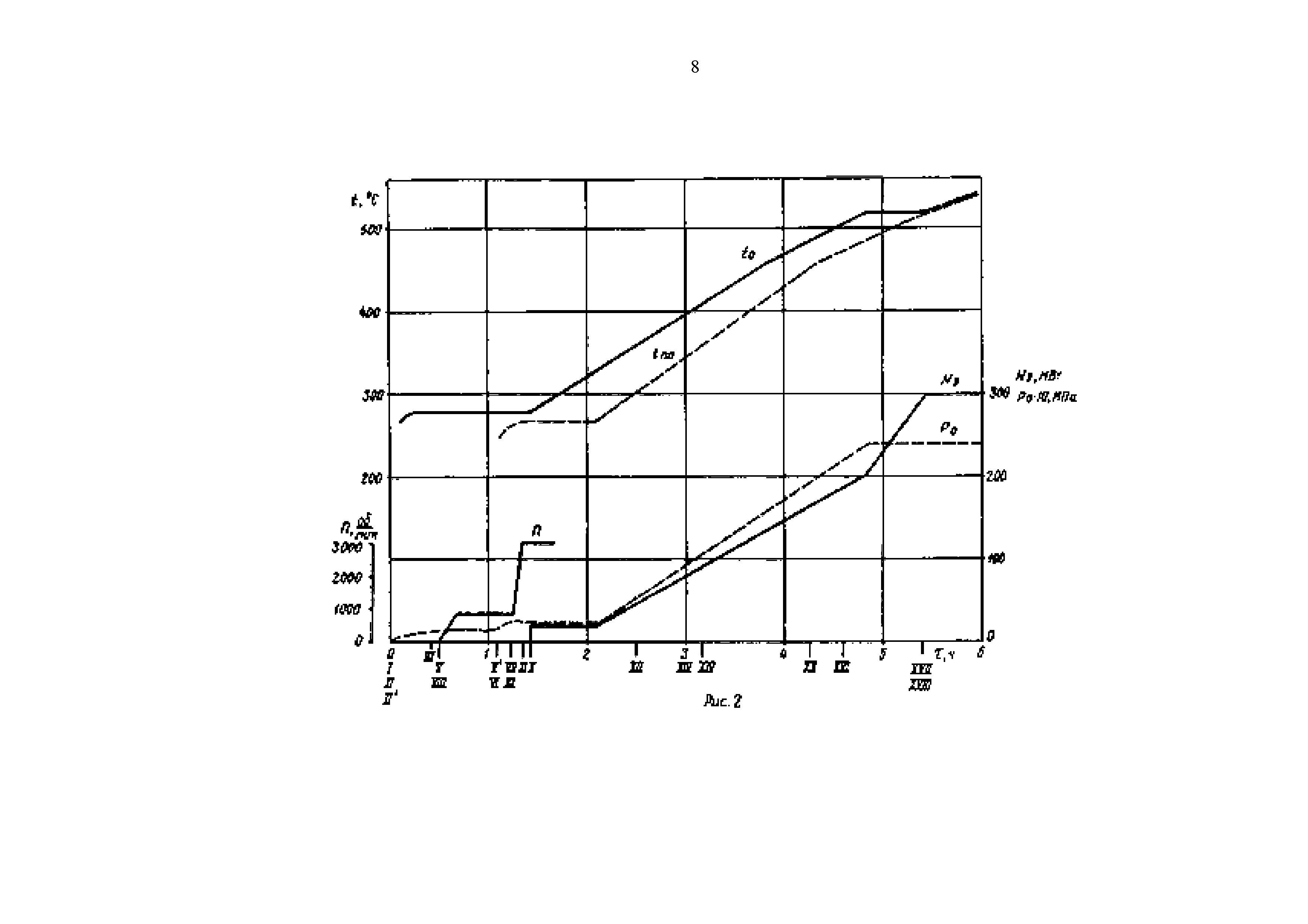
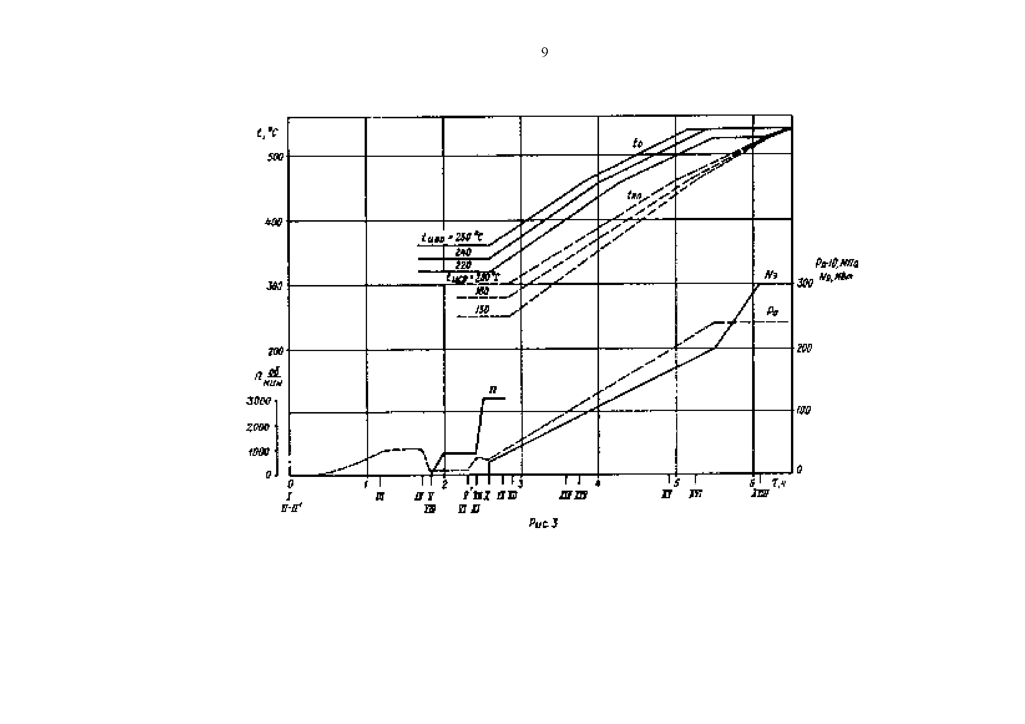
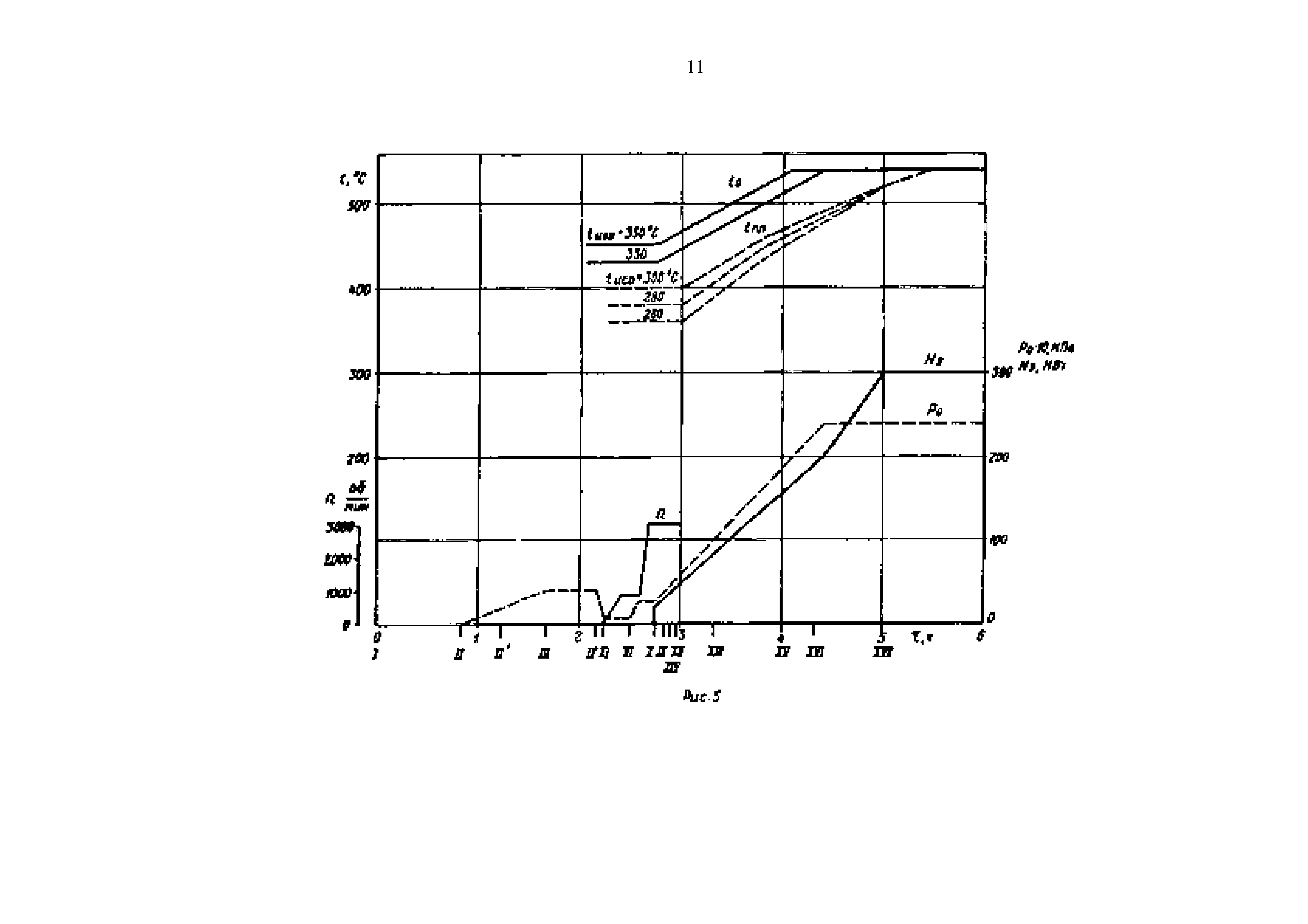
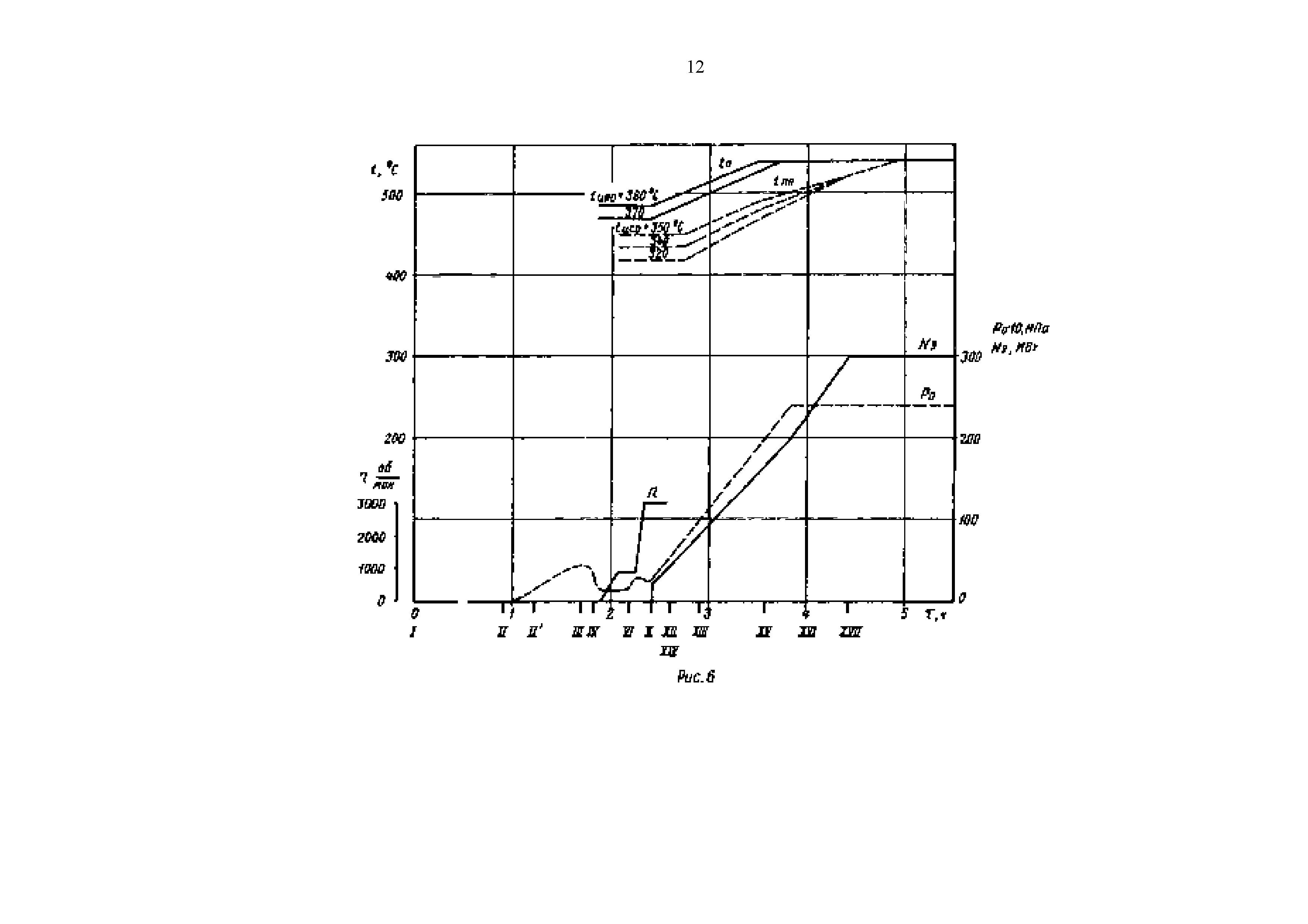
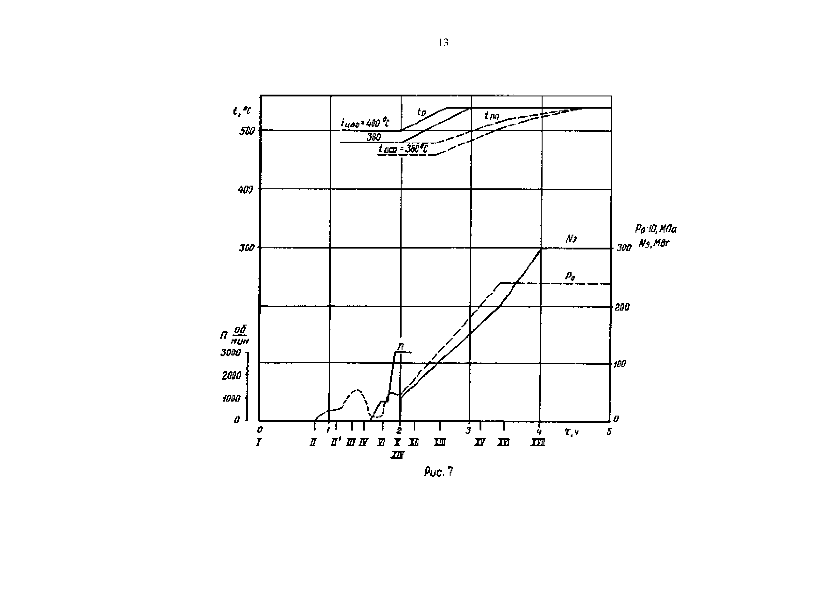
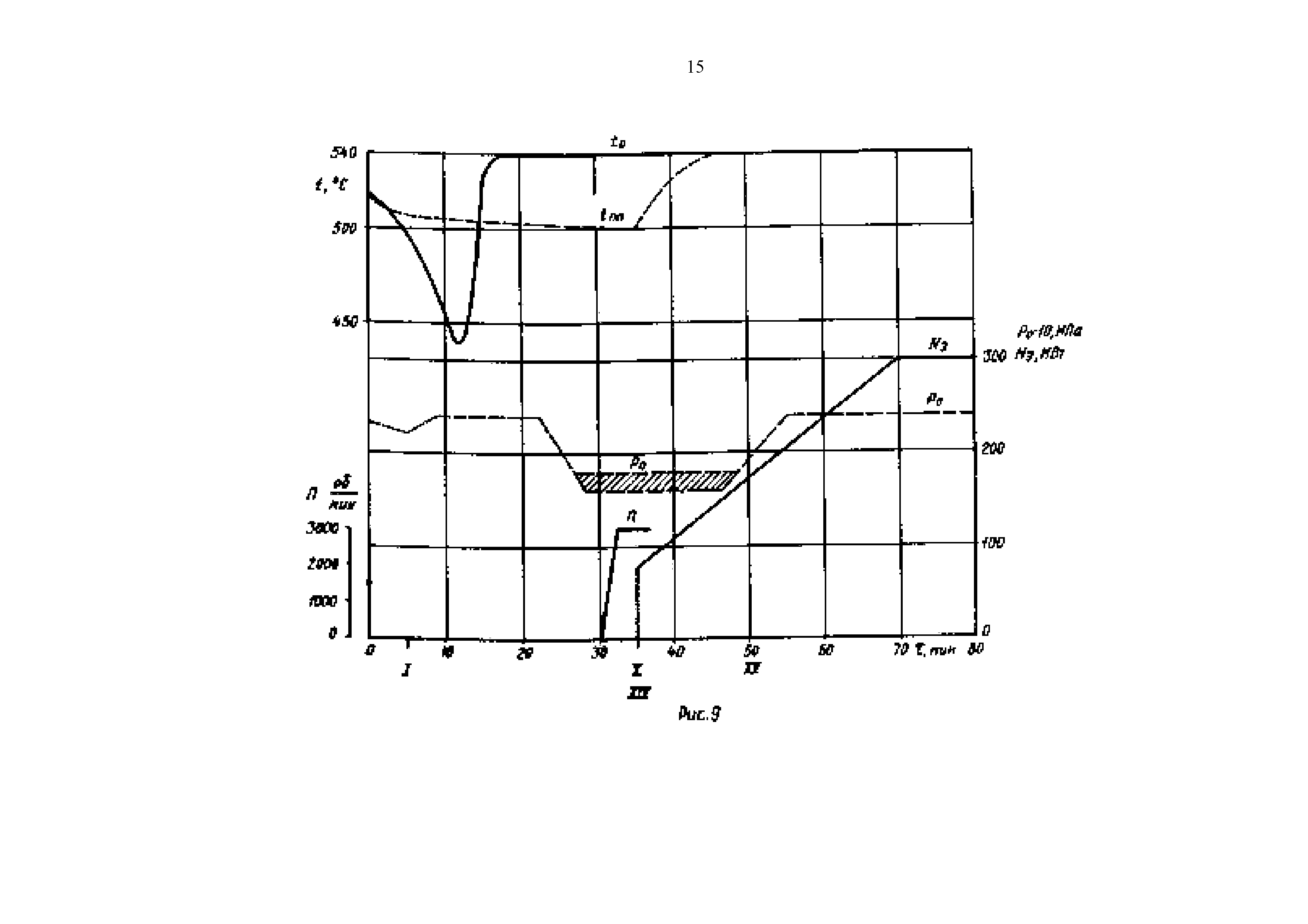
| Оглавление: | 1 Общие положения 2 Пуск блока из холодного состояния 2.1 Подготовительные операции 2.2 Пуск блока 3 Пуск блока из неостывшего состояния с прогревом паропроводов промперегрева 4 Пуск блока из неостывшего состояния без прогрева паропроводов промперегрева 5 Пуск блока из горячего состояния 6 Пуск блока из состояния горячего резерва 7 Останов блока без расхолаживания оборудования 8 Останов блока с расхолаживанием турбины 9 Останов блока с расхолаживанием котла и паропроводов 10 Останов блока с расхолаживанием тракта котла до встроенной задвижки 11 Аварийный останов блока Приложение 1 Порядок включения технологических защит при пуске блока Приложение 2 Порядок включения автоматических регуляторов при пуске блока Приложение 3 Основные технологические принципы организации режимов пуска и останова блока Приложение 4 Краткая характеристика режимов пуска моноблока мощностью 300 МВт из различных тепловых состояний при модернизированной системе обогрева фланцев и шпилек турбины Приложение 5 Перечень обозначений операций и параметров, принятых в графиках-заданиях Приложение 6 Останов блока с расхолаживанием котла и паропроводов на сепараторном режиме |
| Разработан: | Южтехэнерго |
| Утверждён: | 04.08.1976 Главтехуправление Минэнерго СССР (Glavtekhupravleniye, USSR Minenergo ) |
| Издан: | СПО Союзтехэнерго (1977 г. ) |
| Список изменений: |
|



















































Текстовое изменение № 20/86 от 01.01.1986



Текстовое изменение № 8 / 87 от 01.01.1987














