Скачать РД 31.31.37.50-87 Руководство по проектированию объектов комплексного обслуживания транспортного флотаДата актуализации: 01.01.2021
|
| Обозначение: | РД 31.31.37.50-87 |
| Обозначение англ: | RD 31.31.37.50-87 |
| Статус: | введен впервые |
| Название рус.: | Руководство по проектированию объектов комплексного обслуживания транспортного флота |
| Название англ.: | Guide to Design of Facilities for Integrated Maintenance of Transport Vessels |
| Дата добавления в базу: | 12.02.2016 |
| Дата актуализации: | 01.01.2021 |
| Дата введения: | 01.03.1988 |
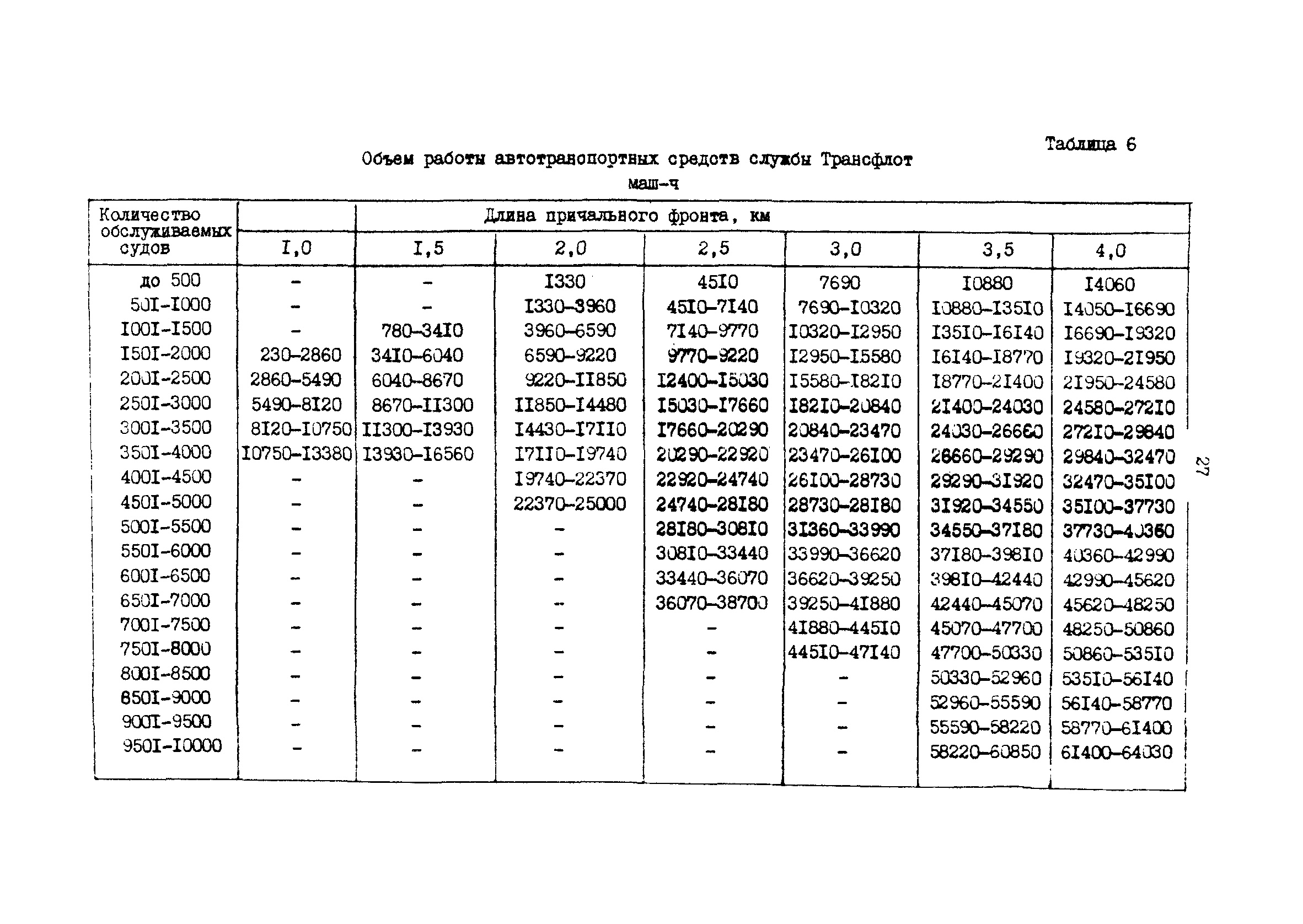
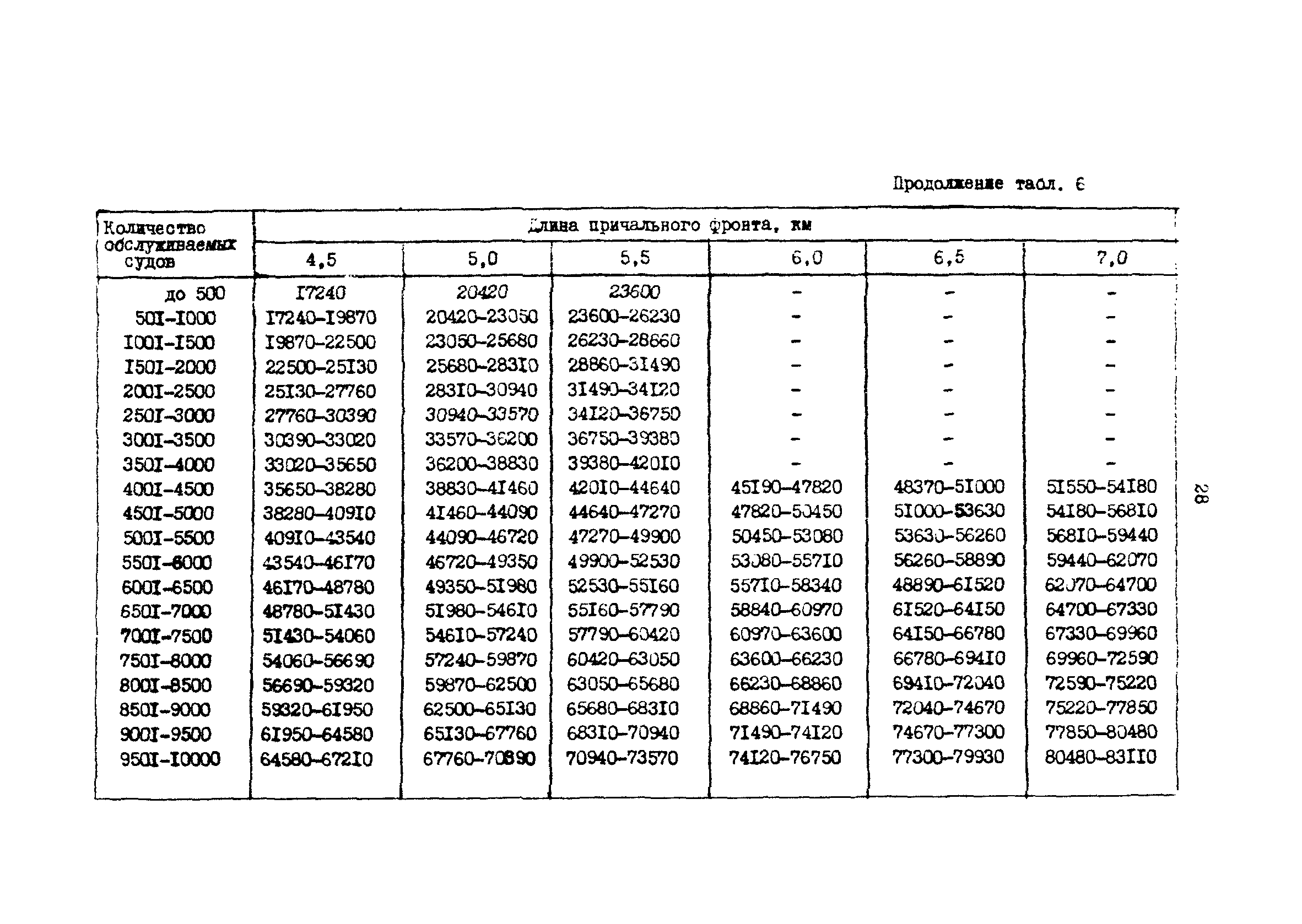
| Область применения: | Руководящий документ распространяются на проектирование объектов комплексного обслуживания транспортного флота (КОФ) вновь строящихся, расширяемых и реконструируемых портов. |
| Разработан: | Одесский филиал Черноморниипроект СМНИИП |
| Утверждён: | 14.01.1988 Минморфлот СССР (USSR Minmorflot 9) |
| Принят: | 11.08.1986 Министерство здравоохранения СССР (USSR Ministry of Health Care 122-12/85/4) 24.10.1986 Главное управление пожарной охраны МВД СССР (National Fire Prevention Administration, USSR Ministry of Internal Affairs 7/6/2785) 15.07.1986 ЦК профсоюза рабочих морского и речного флота (Central Committee of the Labor Union of Maritime and River Fleet Workers 5.08.Ж/796) |
| Нормативные ссылки: |



























































































