Скачать ГОСТ Р 51896-2002 Насосы скважинные штанговые. Общие технические требования

Дата актуализации: 01.01.2021

ГОСТ Р 51896-2002

Насосы скважинные штанговые. Общие технические требования

Обозначение: ГОСТ Р 51896-2002
Обозначение англ: GOST R 51896-2002
Статус:отменен
Название рус.:Насосы скважинные штанговые. Общие технические требования
Название англ.:Well sucker-rod pumps. General technical requirements
Дата добавления в базу:01.09.2013
Дата актуализации:01.01.2021
Дата введения:01.07.2003
Дата окончания срока действия:01.01.2014
Область применения:Стандарт распространяется на скважинные штанговые насосы возвратно-поступательного действия, предназначенные для добычи нефти из скважин при обводненности продукции скважин до 99%, температуре до 403 К (130 град. С), содержании механических примесей до 1,3 г/л, содержании Н2S и СО2 до 200 мг/л, минерализации воды до 200 мг/л и водородном показателе рН 4,0-8,0. Насосы следует применять для эксплуатации скважин в умеренном и холодном климатических районах по ГОСТ 16350.
Оглавление:1 Область применения
2 Нормативные ссылки
3 Определения
4 Конструкция, основные параметры и размеры насосов
5 Конструкция, основные параметры и размеры узлов насосов
6 Технические требования
7 Требования безопасности
8 Экологические требования
9 Правила приемки
10 Методы испытаний
11 Транспортирование и хранение
12 Указания по эксплуатации
13 Гарантии изготовителя
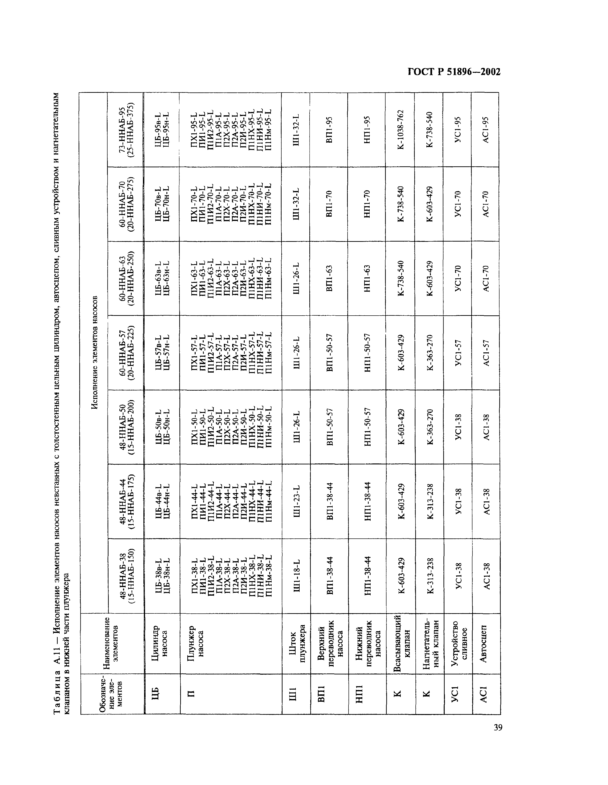
Приложение А Спецификации насосов
Приложение Б Идеальная подача насосов при десяти двойных ходах плунжера в минуту
Приложение В Сведения о гармонизации требований настоящего стандарта со стандартом API Spec 11АХ
Приложение Г Библиография
Разработан: Автономная некоммерческая организация по сертификации, экспертизе и подготовке специалистов в нефтегазовом комплексе Технонефтегаз
Российский государственный университет нефти и газа им. И. М. Губкина
Утверждён:30.05.2002 Госстандарт России (Russian Federation Gosstandart 222-ст)
Издан: ИПК Издательство стандартов (2002 г. )
Нормативные ссылки:
ГОСТ Р 51896-2002ГОСТ Р 51896-2002ГОСТ Р 51896-2002ГОСТ Р 51896-2002ГОСТ Р 51896-2002ГОСТ Р 51896-2002ГОСТ Р 51896-2002ГОСТ Р 51896-2002ГОСТ Р 51896-2002ГОСТ Р 51896-2002ГОСТ Р 51896-2002ГОСТ Р 51896-2002ГОСТ Р 51896-2002ГОСТ Р 51896-2002ГОСТ Р 51896-2002ГОСТ Р 51896-2002ГОСТ Р 51896-2002ГОСТ Р 51896-2002ГОСТ Р 51896-2002ГОСТ Р 51896-2002ГОСТ Р 51896-2002ГОСТ Р 51896-2002ГОСТ Р 51896-2002ГОСТ Р 51896-2002ГОСТ Р 51896-2002ГОСТ Р 51896-2002ГОСТ Р 51896-2002ГОСТ Р 51896-2002ГОСТ Р 51896-2002ГОСТ Р 51896-2002ГОСТ Р 51896-2002ГОСТ Р 51896-2002ГОСТ Р 51896-2002ГОСТ Р 51896-2002ГОСТ Р 51896-2002ГОСТ Р 51896-2002ГОСТ Р 51896-2002ГОСТ Р 51896-2002ГОСТ Р 51896-2002ГОСТ Р 51896-2002ГОСТ Р 51896-2002ГОСТ Р 51896-2002ГОСТ Р 51896-2002ГОСТ Р 51896-2002ГОСТ Р 51896-2002ГОСТ Р 51896-2002ГОСТ Р 51896-2002