Скачать ТЕР 2001-07 Реставрация и воссоздание металлических конструкций и декоративных элементовДата актуализации: 01.01.2021
|
| Обозначение: | ТЕР 2001-07 |
| Обозначение англ: | TER 2001-07 |
| Статус: | действует |
| Название рус.: | Реставрация и воссоздание металлических конструкций и декоративных элементов |
| Дата добавления в базу: | 01.09.2013 |
| Дата актуализации: | 01.01.2021 |
| Дата введения: | 01.01.2004 |
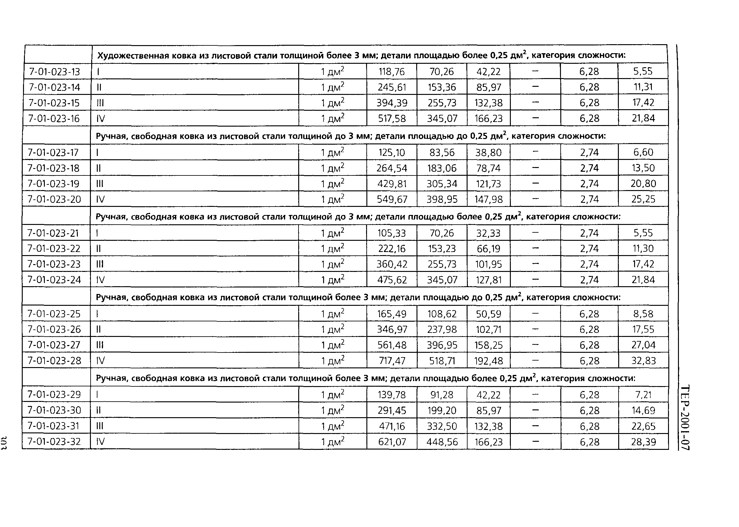
| Оглавление: | Общие указания по применению территориальных единичных расценок на ремонтно-реставрационные работы по объектам культурного наследия ТЕР-2001 Техническая часть Табл. 7-01-001 Реставрация металлических глав и металлических строительных систем сложных крыш Табл. 7-01-002 Воссоздание утраченных металлических каркасов глав и металлических стропильных систем сложных крыш Табл. 7-01-003 Реставрация металлических крестов Табл. 7-01-004 Воссоздание утраченных металлических крестов Табл. 7-01-005 демонтаж и монтаж металлических крестов Табл. 7-01-006 Реставрация металлических ставней и дверных полотен Табл. 7-01-007 Воссоздание металлических ставней и дверных полотен без декоративных украшений Табл. 7-01-008 Рихтовка (правка) деформированных деталей металлических решеток, оград, ворот и калиток Табл. 7-01-009 Воссоздание каркаса металлических решеток, оград, ворот и калиток Табл. 7-01-010 Установка решеток, оград, ворот и калиток на место Табл. 7-01-011 Воссоздание вырезных декоративных деталей из листовой стали Табл. 7-01-012 Воссоздание декоративных деталей и скобяных изделий методом кузнечной ковки Табл. 7-01-013 Изменение профиля металла методом горячей ковки при помощи механического молотка Табл. 7-01-014 Расчистка металлической поверхности изделий от коррозии, трудноудаляемых загрязнений и многослойных закрасок Табл. 7-01-015 Воссоздание и монтаж винтовой лестницы из металла Табл. 7-01-016 Зачеканка шва в металлических соединениях свинцом (при ширине 10 мм, глубине -20 мм) Табл. 7-01-017 Разборка на детали Табл. 7-01-018 Сборка деталей Табл. 7-01-019 Сборка металлоконструкций Табл. 7-01-020 Сверление отверстий в металлических изделиях Табл. 7-01-021 Изготовление шаблонов Табл. 7-01-022 Изготовление оправок для кузнечных работ Табл. 7-01-023 Ковка из листовой стали Табл. 7-01-024 Изготовление закладных деталей Табл. 7-01-025 Прошивка фигурных отверстий Табл. 7-01-026 Обработка художественного чугунного литья Табл. 7-01-027 Реставрация художественного чугунного литья Табл. 7-01-028 Вытачивание на станке фигурных деталей Табл. 7-01-029 Зачеканка свинцом гнезд при установке металлоконструкций Табл. 7-01-030 Обследование состояния демонтированных деталей с выявлением утрат и определением степени износа сохранившихся деталей Табл. 7-01-031 Изготовление деталей крепления на станке Табл. 7-01-032 Расчистка металлического орнаментованного декора в местах занурений от трудноудаляемых покрытий ржавчины и коррозии при толщине удаляемого слоя не менее 3,0 мм Табл. 7-01-033 Изготовление несущих металлических конструкций отдельными мелкими участками способом гнутья с изготовлением шаблона Эксплуатация строительных машин |
| Разработан: | НИИ Спецпроектреставрация |
| Утверждён: | 01.07.2003 Министерство культуры Российской Федерации (Russian Federation Ministry of Culture 930) |
| Издан: | ООО Береста (2003 г. ) |
| Нормативные ссылки: |













































