Скачать РД 34.25.102-87 Теплофикационный моноблок с турбиной Т-110/120-130 с барабанным котлом. Типовая пусковая схемаДата актуализации: 01.01.2021
|
| Обозначение: | РД 34.25.102-87 |
| Обозначение англ: | RD 34.25.102-87 |
| Статус: | действует |
| Название рус.: | Теплофикационный моноблок с турбиной Т-110/120-130 с барабанным котлом. Типовая пусковая схема |
| Дата добавления в базу: | 01.09.2013 |
| Дата актуализации: | 01.01.2021 |
| Дата введения: | 27.05.1986 |
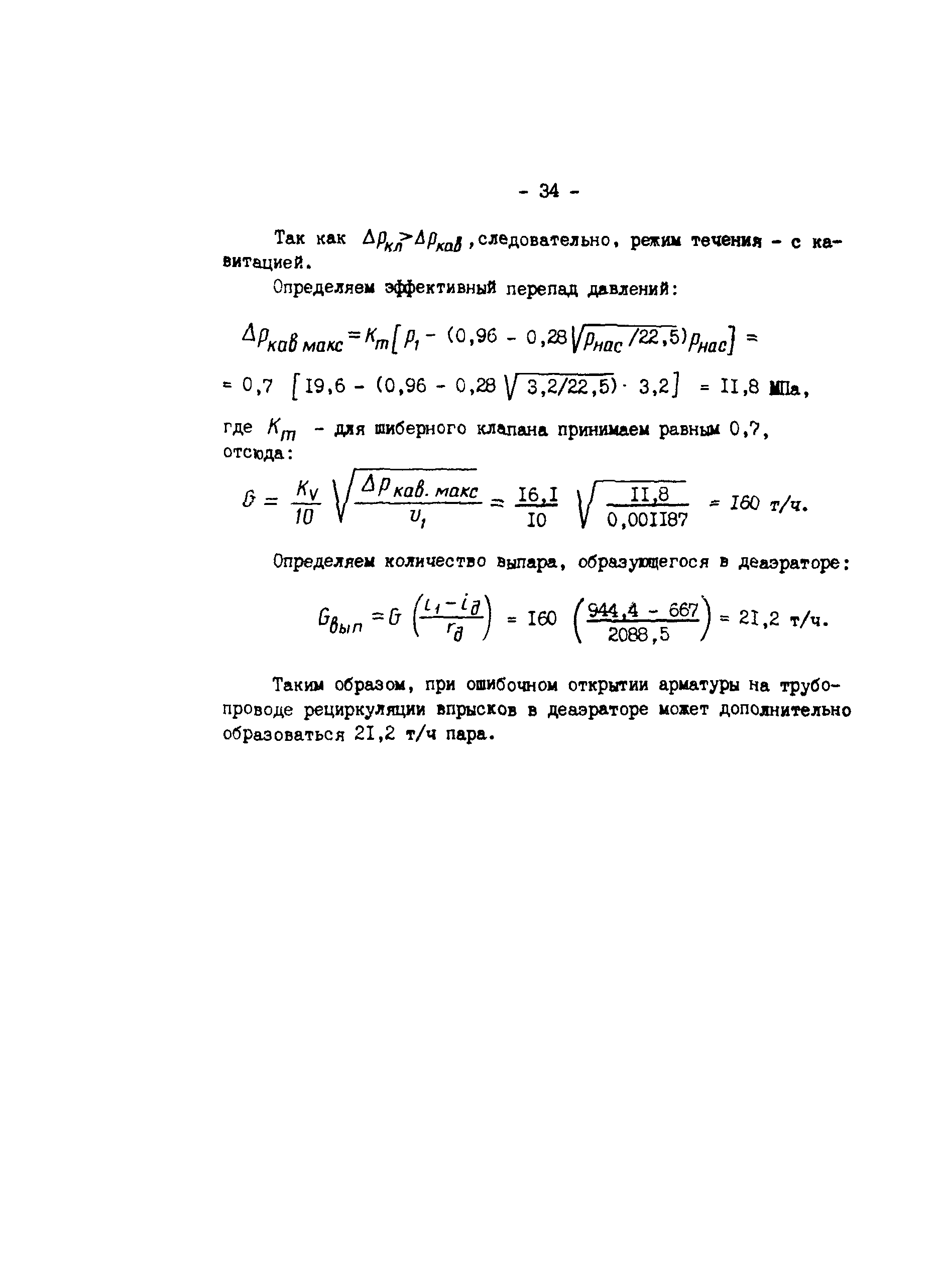
| Область применения: | Приведено описание пусковой схемы, обоснование принятых решений и расчеты элементов схемы в пусковых и аварийных режимах. |
| Оглавление: | 1 Общие положения 2 Пусковая схема 2.1 Конденсатный тракт низкого давления 2.2 Деаэратор и питательный тракт 2.3 Узел питания котла 2.4 Устройства для прогрева и расхолаживания барабана 2.5 Главный паропровод и пускосбросное устройство 2.6 Паропроводы собственных нужд энергоблока 2.7 Устрйоства для регулирования температуры свежего пара 2.8 Устройства для воздушного расхолаживания турбины Приложение 1 Расчет диаметров трубопроводов пусковой схемы энергоблока Приложение 2 Расчет пропускной способности ПСБУ при пуске из различных тепловых состояний и в предельном режиме Приложение 3 Расчет элементов трубопровода рециркуляции пусковых впрысков |
| Разработан: | ВНИПИэнергопром ПО Союзтехэнерго ПО ТМЗ ВТИ им. Ф.Э. Дзержинского Орловская ТЭЦ |
| Утверждён: | 27.05.1986 Минэнерго СССР (USSR Minenergo ) |
| Издан: | СПО Союзтехэнерго (1988 г. ) |
| Нормативные ссылки: |





































