Скачать ОСТ 34-10-764-97 Детали и сборочные единицы трубопроводов ТЭС на Рраб<2,2 МПа (22 кгс/см2), t<=425 °C. Тройники сварные переходные. Конструкция и размерыДата актуализации: 01.01.2021 ОСТ 34-10-764-97
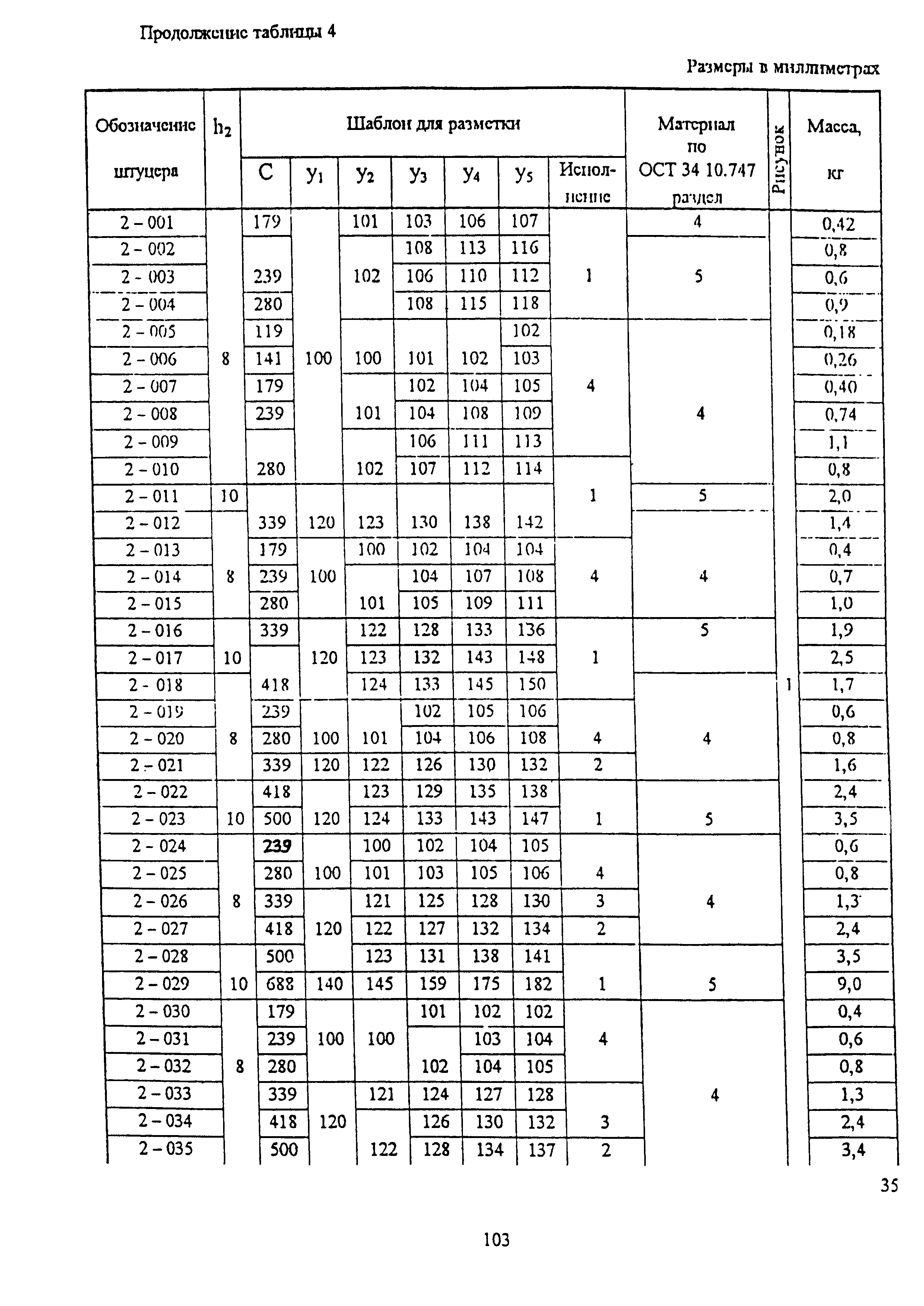
Детали и сборочные единицы трубопроводов ТЭС на Рраб<2,2 МПа (22 кгс/см2), t<=425 °C. Тройники сварные переходные. Конструкция и размеры| Обозначение: | ОСТ 34-10-764-97 | | Обозначение англ: | OST 34-10-764-97 | | Статус: | не определен законодательством | | Название рус.: | Детали и сборочные единицы трубопроводов ТЭС на Рраб<2,2 МПа (22 кгс/см2), t<=425 °C. Тройники сварные переходные. Конструкция и размеры | | Дата добавления в базу: | 01.09.2013 | | Дата актуализации: | 01.01.2021 | | Дата введения: | 01.03.1998 | | Дата окончания срока действия: | 30.06.2003 | | Область применения: | Стандарт распространяется на сварные переходные тройники из углеродистой и низколегированной сталей для трубопроводов тепловых электростанций. | | Оглавление: | 1 Область применения 2 Нормативные ссылки 3 Конструкция и размеры Приложение А Пределы применения тройников из сталей Ст3сп5 и Ст3Гпс4 Приложение Б Пределы применения тройников из стали 20К Приложение В Библиография | | Разработан: | АООТ Севзапэнергомонтажпроект
| | Утверждён: | 23.12.1997 Министерство топлива и энергетики РФ (Russian Federation Ministry of Fuel and Energy 443)
| | Заменяет собой: | | | Нормативные ссылки: |   СНиП 3.05.05-84 «Технологическое оборудование и технологические трубопроводы»  ГОСТ 5520-79 «Прокат листовой из углеродистой, низколегированной и легированной стали для котлов и сосудов, работающих под давлением. Технические условия»  ГОСТ 14637-89 «Прокат толстолистовой из углеродистой стали обыкновенного качества. Технические условия»  РД 153-34.1-003-01 «Сварка, термообработка и контроль трубных систем котлов и трубопроводов при монтаже и ремонте энергетического оборудования»  ОСТ 34-10-747-97 «Детали и сборочные единицы трубопроводов ТЭС на Рраб<2,2 МПа (22 кгс/см2), t<=425 °C. Трубы и прокат. Сортамент»  ОСТ 34-10-748-97 «Детали и сборочные единицы трубопроводов ТЭС на Рраб<2,2 МПа (22 кгс/см2), t<=425 °C. Соединения сварные стыковые. Типы, конструктивные элементы и размеры»  ОСТ 34-10-766-97 «Детали и сборочные единицы трубопроводов ТЭС на Рраб<2,2 МПа (22 кгс/см2), t<=425 °C. Технические требования»
|
                                                  
|