Скачать ОСТ 1 41505-84 Диаметры стержней под накатывание резьбы метрической по ГОСТ 9150-81

Дата актуализации: 01.01.2021

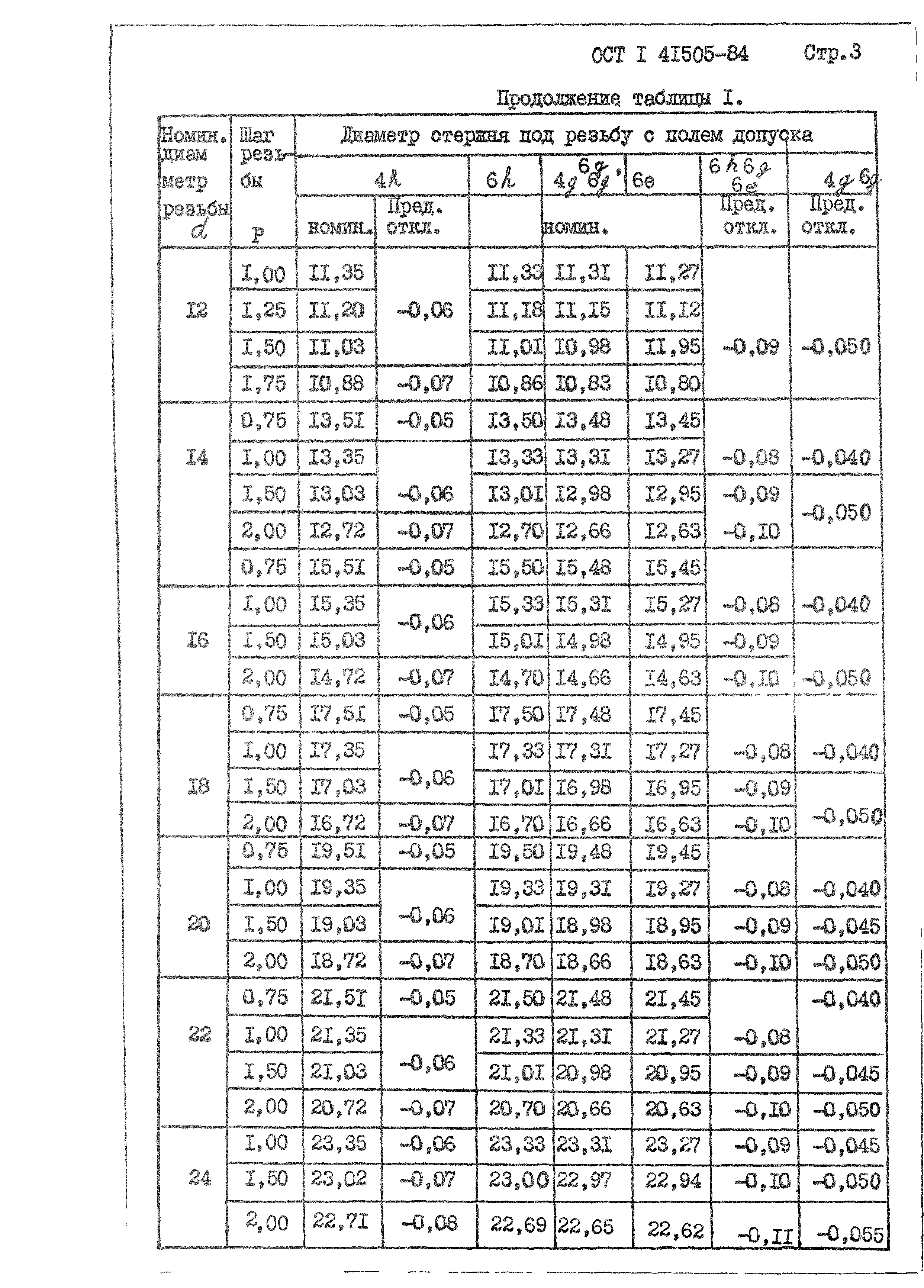
ОСТ 1 41505-84

Диаметры стержней под накатывание резьбы метрической по ГОСТ 9150-81

Обозначение: ОСТ 1 41505-84
Обозначение англ: 41505-84
Статус:действует
Название рус.:Диаметры стержней под накатывание резьбы метрической по ГОСТ 9150-81
Дата добавления в базу:01.09.2013
Дата актуализации:01.01.2021
Дата введения:01.07.1986
Область применения:Стандарт устанавливает диаметры стержней под накатывание метрической резьбы по ГОСТ 9150-81 1. Размеры и предельные отклонения диаметров стержней должны соответствовать указанным в таблице 1. 2. Для деталей из материала с временным сопротивлением >= 140 кгс/мм2 и титановых сплавов с относительным удлинением >= 12 процентам размеры стержней для резьб с полем допуска 6e и предельные отклонения для резьб с полями допусков 6h, 6g, 6e, 4h, 4g, 6g должны соответствовать указанным в таблице 2.
Утверждён:25.12.1984 Министерство (Ministry 087-16)
Заменяет собой:
  • ОСТ 1 41505-76
ОСТ 1 41505-84ОСТ 1 41505-84ОСТ 1 41505-84ОСТ 1 41505-84ОСТ 1 41505-84ОСТ 1 41505-84ОСТ 1 41505-84ОСТ 1 41505-84