Скачать РД 50-25645.207-85 Методические указания. Безопасность радиационная экипажа космического аппарата в космическом полете. Методика расчета поглощенной и эквивалентной дозы от многозарядных ионов космических лучей

Дата актуализации: 01.01.2021

РД 50-25645.207-85

Методические указания. Безопасность радиационная экипажа космического аппарата в космическом полете. Методика расчета поглощенной и эквивалентной дозы от многозарядных ионов космических лучей

Обозначение: РД 50-25645.207-85
Обозначение англ: RD 50-25645.207-85
Статус:введен впервые
Название рус.:Методические указания. Безопасность радиационная экипажа космического аппарата в космическом полете. Методика расчета поглощенной и эквивалентной дозы от многозарядных ионов космических лучей
Дата добавления в базу:01.09.2013
Дата актуализации:01.01.2021
Дата введения:01.01.1987
Область применения:Методические указания устанавливают методику расчета поглощенных и эквивалентных доз в произвольной точке тканеэквивалентного фантома от многозарядных ионов космических лучей с энергией на нуклон ниже 10000 МэВ.
Оглавление:1 Общие положения
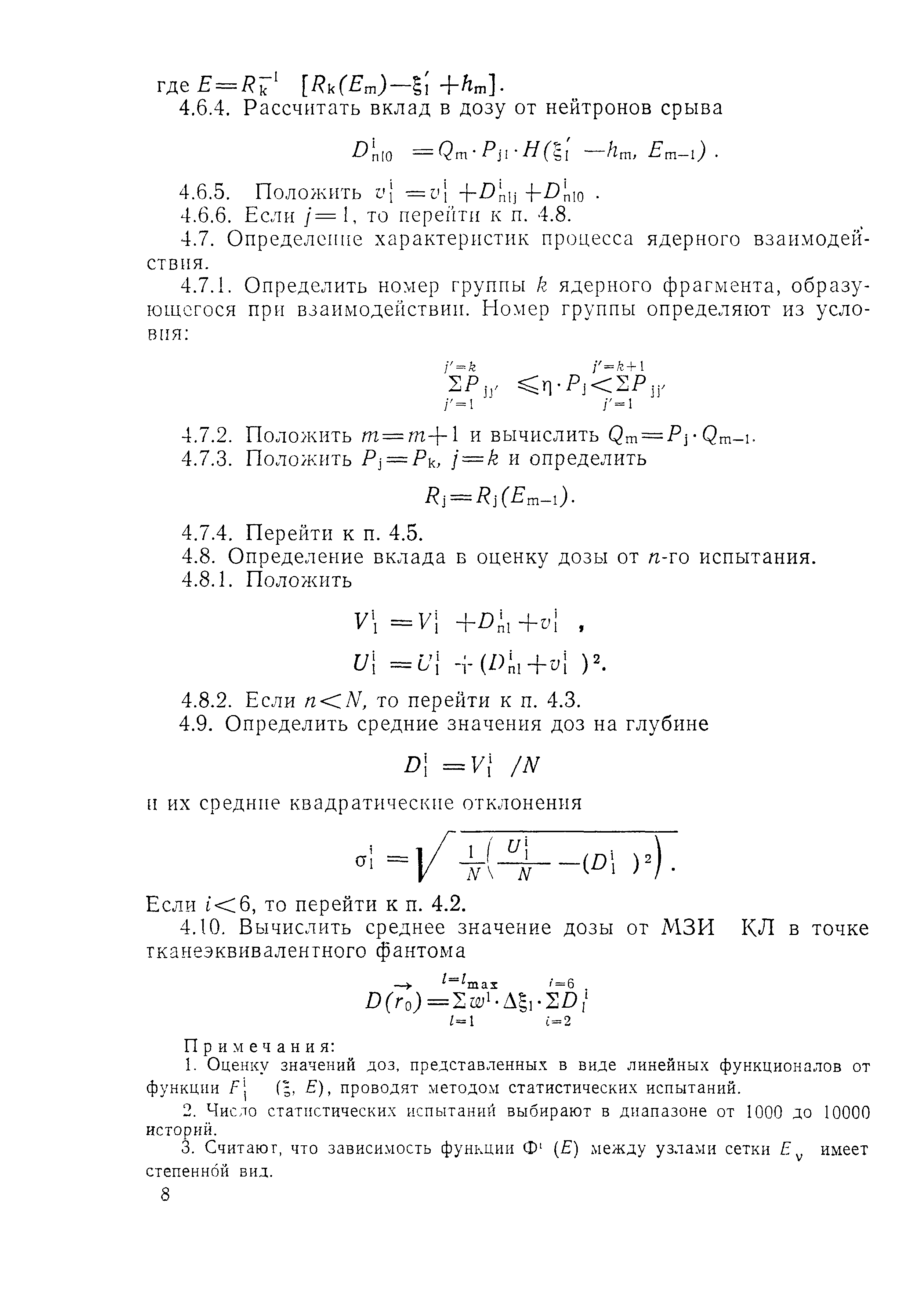
2 Метод расчета доз в произвольной точке тканеэквивалентного фантома
3 Описание расчета доз в произвольной точке тканеэквивалентного фантома
Приложение Термины, применяемые в методических укзааниях, и их пояснения
Разработан: Госстандарт СССР
Утверждён:19.11.1985 Государственный комитет СССР по стандартам (USSR National Committee on Standards 3619)
Издан: Издательство стандартов (1986 г. )
Нормативные ссылки:
РД 50-25645.207-85РД 50-25645.207-85РД 50-25645.207-85РД 50-25645.207-85РД 50-25645.207-85РД 50-25645.207-85РД 50-25645.207-85РД 50-25645.207-85РД 50-25645.207-85РД 50-25645.207-85РД 50-25645.207-85РД 50-25645.207-85