Скачать ГОСТ 25645.204-83 Безопасность радиационная экипажа космического аппарата в космическом полете. Методика расчета экранированности точек внутри фантомаДата актуализации: 01.01.2021
|
| Обозначение: | ГОСТ 25645.204-83 |
| Обозначение англ: | GOST 25645.204-83 |
| Статус: | действует |
| Название рус.: | Безопасность радиационная экипажа космического аппарата в космическом полете. Методика расчета экранированности точек внутри фантома |
| Название англ.: | Spacecrew radiation safety during space flight. Computation methods of points shielding inside fantom |
| Дата добавления в базу: | 01.09.2013 |
| Дата актуализации: | 01.01.2021 |
| Дата введения: | 01.01.1985 |
| Область применения: | Стандарт устанавливает требования к заданию объекта и алгоритм вычисления функций, характеризующих экранированность точек внутри объекта-фантома с окружающей его защитой. |
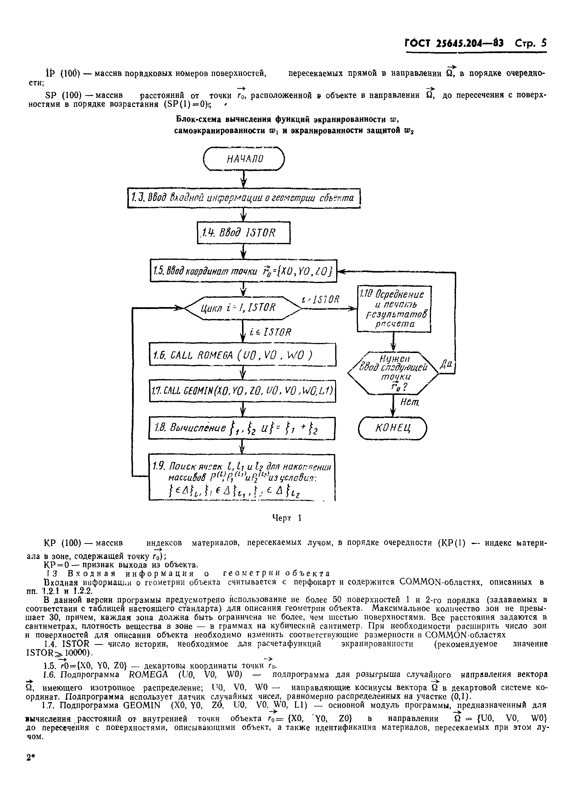
| Оглавление: | 1 Общие положения 2 Задание объекта 3 Алгоритм расчета функции экранированности Приложение Способ реализации алгоритма (программа OPTIC) |
| Утверждён: | 20.12.1983 Госстандарт СССР (USSR Gosstandart 6360) |
| Издан: | Издательство стандартов (1984 г. ) |





















