Скачать Том 3. Раздел 7 Паротурбинные установки. Раздел 8 Газотурбинные установки. Раздел 9 Насосы. Раздел 10 Водоподготовка, водный режим и химический контроль. Раздел 11 Газовое и масляное хозяйствоДата актуализации: 01.01.2021
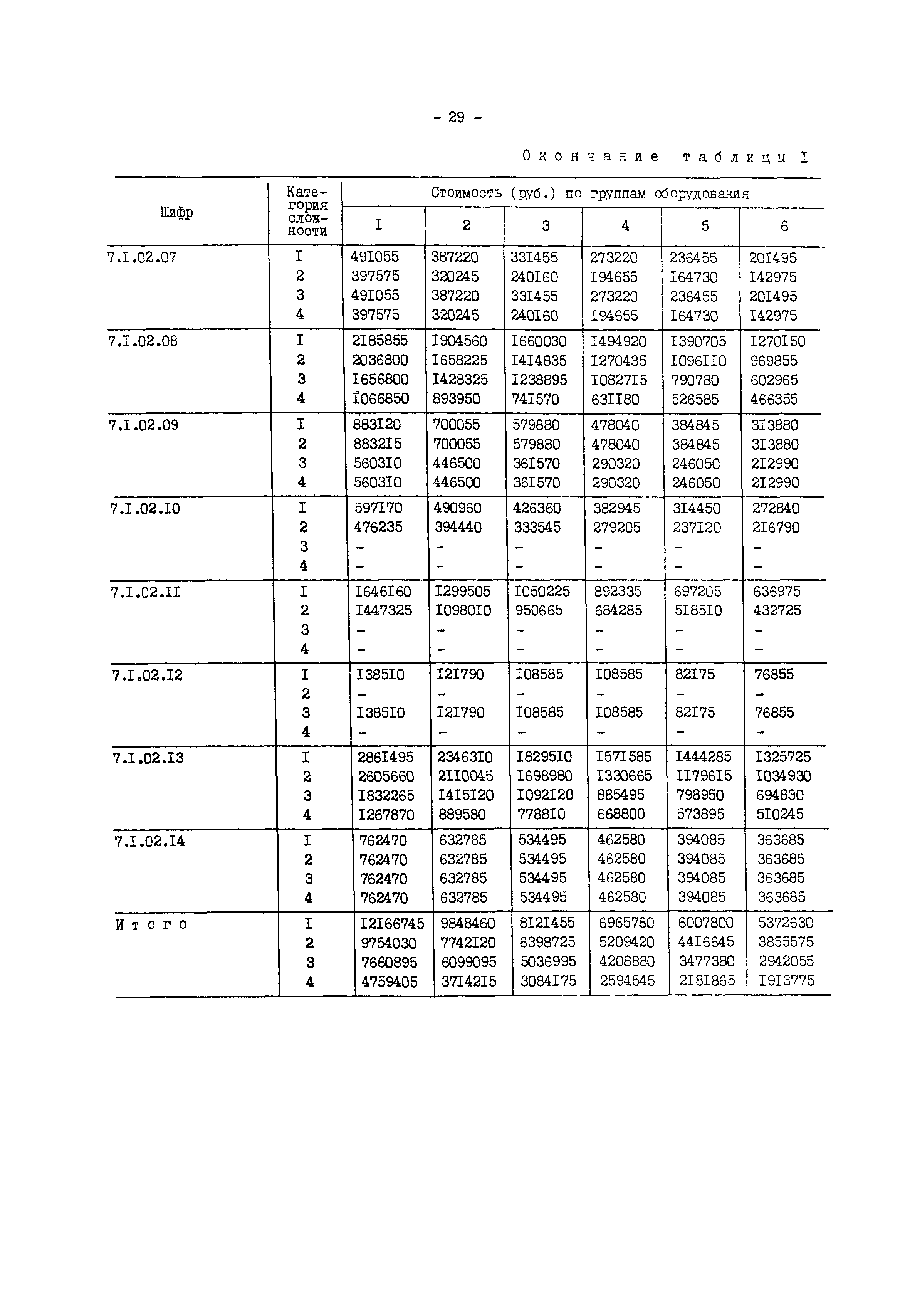
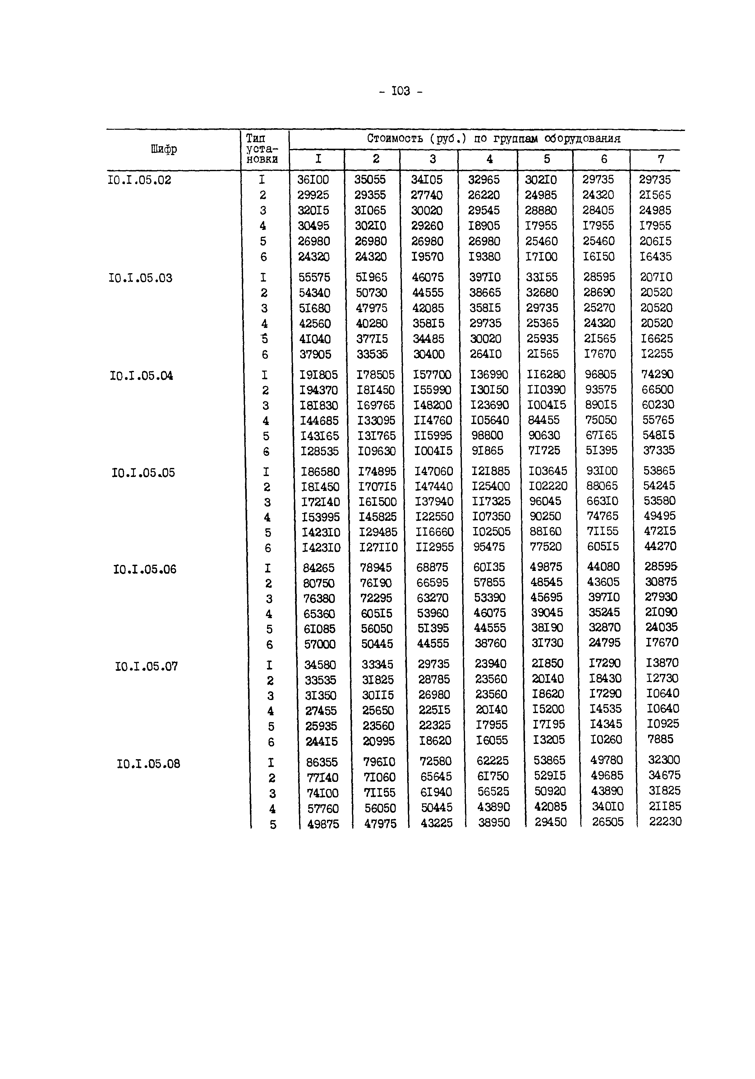
Том 3. Раздел 7 Паротурбинные установки. Раздел 8 Газотурбинные установки. Раздел 9 Насосы. Раздел 10 Водоподготовка, водный режим и химический контроль. Раздел 11 Газовое и масляное хозяйство| Статус: | действует | | Название рус.: | Том 3. Раздел 7 Паротурбинные установки. Раздел 8 Газотурбинные установки. Раздел 9 Насосы. Раздел 10 Водоподготовка, водный режим и химический контроль. Раздел 11 Газовое и масляное хозяйство | | Дата добавления в базу: | 01.09.2013 | | Дата актуализации: | 01.01.2021 | | Область применения: | Прейскурант предназначен для определения сметной стоимости и формирования договорных цен на выполнение экспериментально-наладочных работ и работ по совершенствованию технологии и эксплуатации электростанций и сетей, и рекомендуется для применения предприятиями и организациями независимо от форм собственности. | | Оглавление: | Раздел 7 Паротурбинные установки 7.1 Экспериментально-наладочные работы 7.2 Разработка мероприятий по повышению надежности, совершенствованию технологии и эксплуатации 7.3 Выявление технического состояния и обобщение опыта эксплуатации Раздел 8 Газотурбинные установки 8.1 Экспериментально-наладочные работы 8.3 Выявление технического состояния и обобщение опыта эксплуатации Раздел 9 Насосы 9.1 Экспериментально-наладочные работы 9.3 Выявление технического состояния и обобщение опыта эксплуатации Раздел 10 Водоподготовка, водный режим и химический контроль 10.1 Экспериментально-наладочные работы 10.2 Разработка мероприятий по повышению надежности, совершенствованию технологии и эксплуатации 10.3 Выявление технического состояния и обобщение опыта эксплуатации 10.4 Лабораторные работы Раздел 11 Газовое и масляное хозяйство 11.1 Экспериментально-наладочные работы 11.2 Разработка мероприятий по повышению надежности, совершенствованию технологии и эксплуатации 11.3 Выявление технического состояния и обобщение опыта эксплуатации 11.4 Лабораторные работы | | Разработан: | Фирма ОРГРЭС
| | Утверждён: | 11.09.1991 Минэнерго СССР (USSR Minenergo 92а)
| | Принят: | 08.12.1992 ЦНИИЭУС Госстроя России (TsNIIEUS, Russian Federation Gosstroy 23)
| | Издан: | СПО ОРГРЭС (1992 г. )
|
                                                                                                                                                              
|