Скачать Каталог. Строительно-монтажные краны. Часть III (дополнение). Башенные краны

Дата актуализации: 01.01.2021

Каталог. Строительно-монтажные краны. Часть III (дополнение). Башенные краны

Статус:справочные материалы, мп, тпр
Название рус.:Каталог. Строительно-монтажные краны. Часть III (дополнение). Башенные краны
Дата добавления в базу:01.09.2013
Дата актуализации:01.01.2021
Область применения:В каталоге содержатся общие сведения и основные технические характеристики башенных кранов, используемых для выполнения строительно-монтажных работ (СМР) и погрузочно-разгрузочных работ в пределах грузовой и высотных характеристик.
Оглавление:Общая часть
Техническая характеристика башенных кранов
Общие сведения. Основные техзнические характеристики башенных кранов
   1. РБК-2.20
   2. РБК-3.40
   3. 34К
   4. 32ТТ
   5. РБК-5.60
   6. 56К
   7. 80LC
   8. КБ-311
   9. КБ-473 (исполнение -00 … -04)
   10. КБ-473 (исполнение -05 … -09)
   11. КБ-474 (исполнение -00; -01; -02; -03; -10; -11; -12; -13; -14)
   12. КБ-405.1А; КБ-405.1А-01; КБ-405.1А-02; КБ-405.2А
   13. КБ-415 УХЛ
   14. КБ-408.21
   15. КБ-411.06
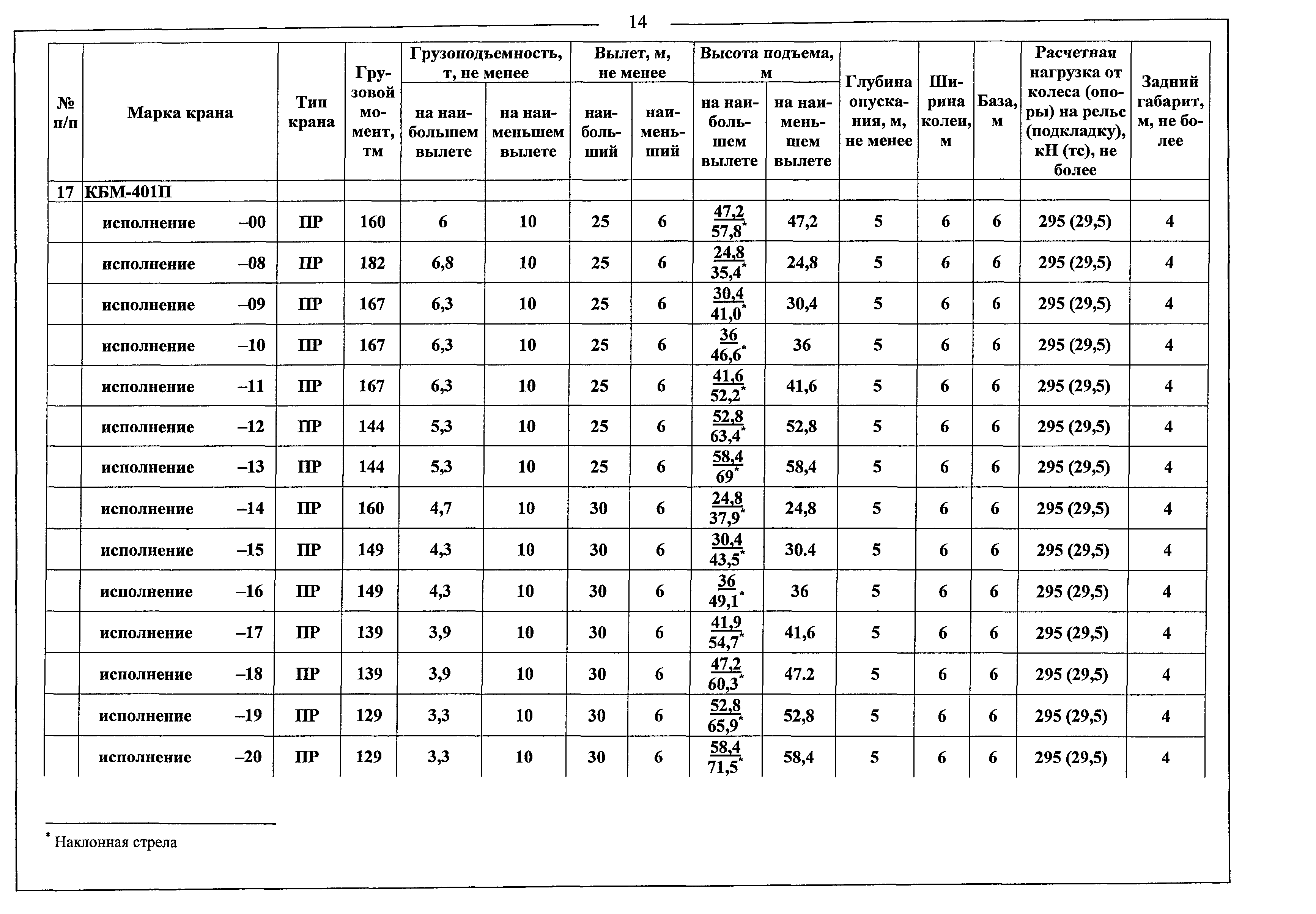
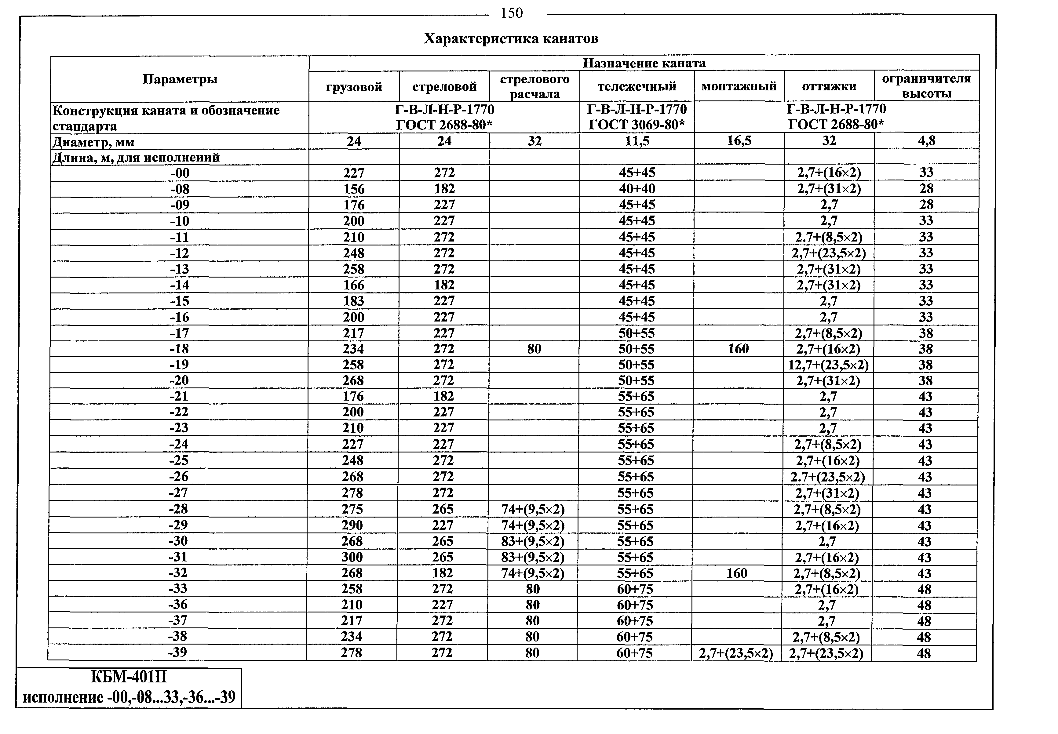
   16. КБМ-401П (исполнение -00; -08; … -33; -36 … -39)
   17. 180ЕС-Н10
   18. КБ-504А.08 и КБ-504А.08-02
Приложение - "О системе ограничения зоны работы башенного крана в стесненных условиях" "СОЗР"
Разработан: ОАО ПКТИпромстрой
Утверждён:01.01.2003 ОАО ПКТИпромстрой (PKTIpromstroy OAO )
Издан: ОАО ПКТИпромстрой (2003 г. )