Скачать ГОСТ ИСО 10819-2002 Вибрация и удар. Метод измерения и оценки передаточной функции перчаток в области ладониДата актуализации: 01.01.2021
|
| Обозначение: | ГОСТ ИСО 10819-2002 |
| Обозначение англ: | GOST ISO 10819-2002 |
| Статус: | заменен |
| Название рус.: | Вибрация и удар. Метод измерения и оценки передаточной функции перчаток в области ладони |
| Название англ.: | Mechanical vibration and shock. Method for the measurements and evaluation of the vibration transmissibility of gloves at the palm of the hand |
| Дата добавления в базу: | 01.09.2013 |
| Дата актуализации: | 01.01.2021 |
| Дата введения: | 01.11.2007 |
| Дата окончания срока действия: | 01.07.2020 |
| Область применения: | Стандарт устанавливает метод лабораторных измерений, оценки и представления вибрационной предаточной функции перчаток в области ладони в диапазоне частот от 31,5 до 1250 Гц. Стандарт предназначен для определения условий испытаний на безопасность, связанных с передачей вибрации через перчатки. |
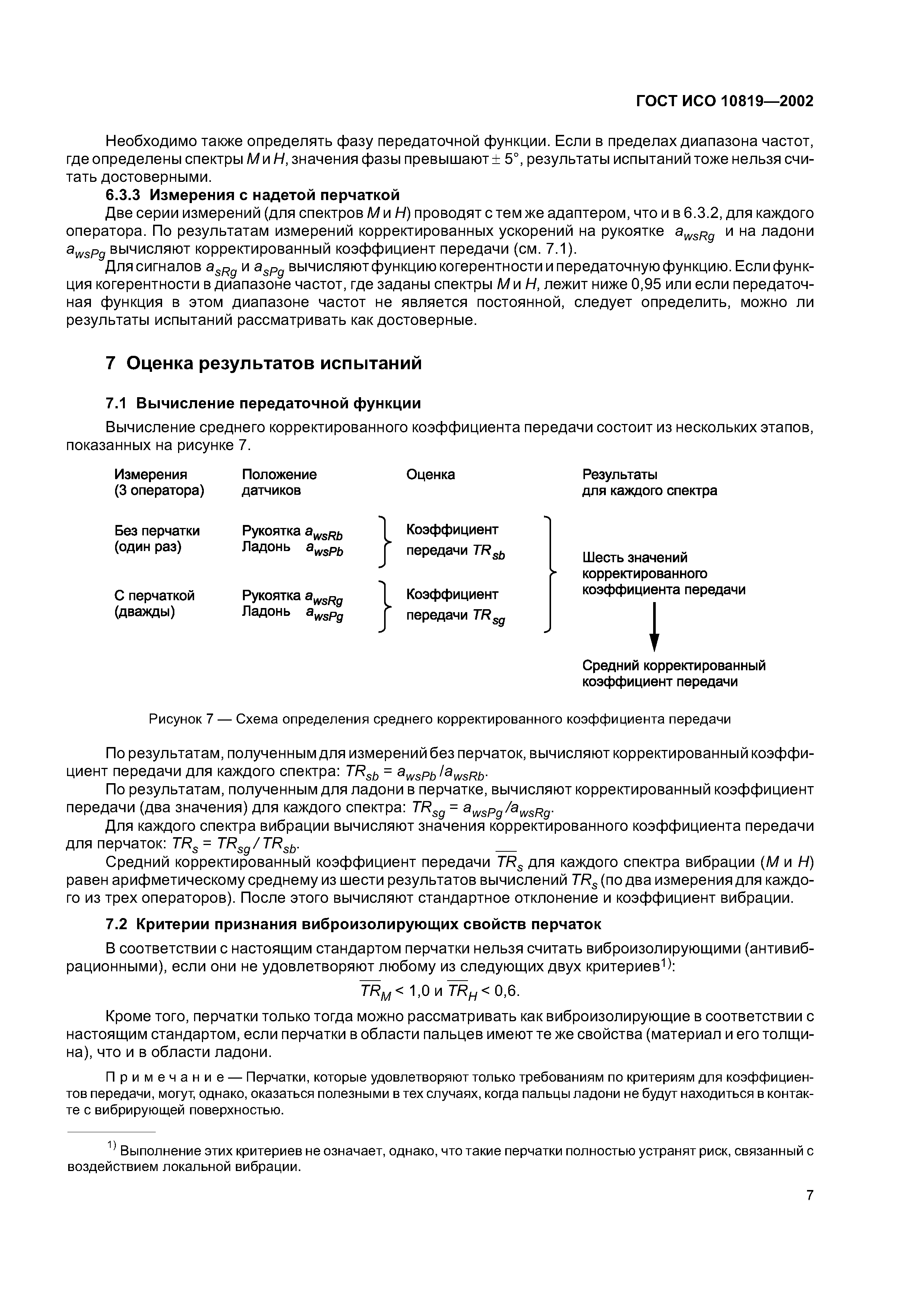
| Оглавление: | 1 Область применения 2 Нормативные ссылки 3 Определения 4 Обозначения 5 Принципы измерений и оборудование 6 Условия и методика проведения измерений 7 Оценка результатов испытаний 8 Протокол испытаний Приложение А Аналитическая форма представления воспроизводимой вибрации Приложение В Пример рукоятки с устройством измерения силы охвата Приложение С Спектры вибрации в третьоктавных полосах частот |
| Разработан: | ОАО НИЦ КД |
| Утверждён: | 06.11.2002 Межгосударственный Совет по стандартизации, метрологии и сертификации (Inter-Governmental Council on Standardization, Metrology, and Certification 22) 24.04.2007 Федеральное агентство по техническому регулированию и метрологии (80-ст) |
| Издан: | Стандартинформ (2007 г. ) |
| Нормативные ссылки: |
|















