Скачать ТУ 14-3-1573-96 Трубы стальные электросварные прямошовные диаметром 530-1020 мм с толщиной стенки до 32 мм для магистральных газопроводов, нефтепроводов и нефтепродуктопроводовДата актуализации: 01.01.2021 ТУ 14-3-1573-96
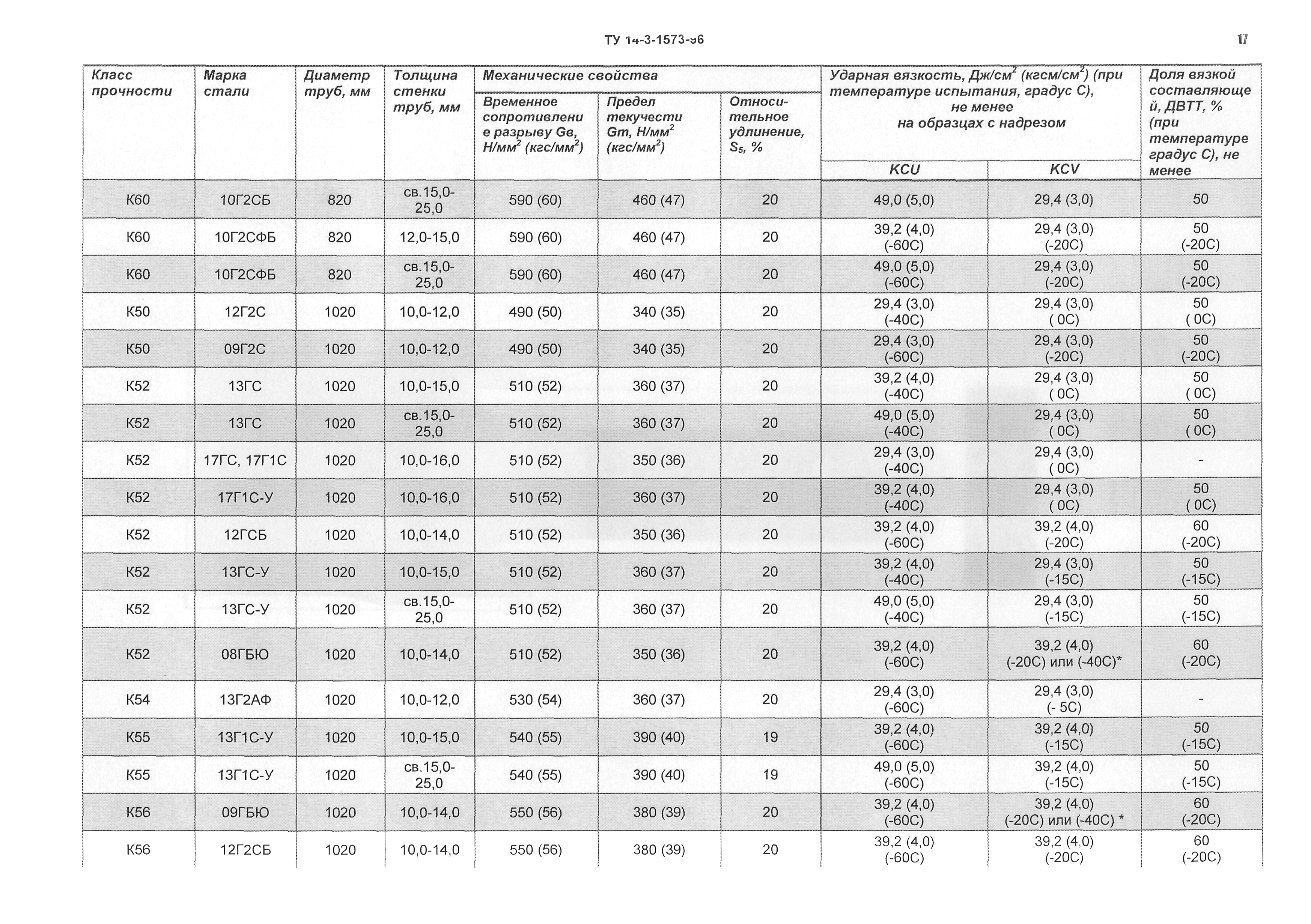
Трубы стальные электросварные прямошовные диаметром 530-1020 мм с толщиной стенки до 32 мм для магистральных газопроводов, нефтепроводов и нефтепродуктопроводов| Обозначение: | ТУ 14-3-1573-96 | | Обозначение англ: | TU 14-3-1573-96 | | Статус: | справочные материалы, мп, тпр | | Название рус.: | Трубы стальные электросварные прямошовные диаметром 530-1020 мм с толщиной стенки до 32 мм для магистральных газопроводов, нефтепроводов и нефтепродуктопроводов | | Дата добавления в базу: | 01.09.2013 | | Дата актуализации: | 01.01.2021 | | Область применения: | ТУ распространяются на трубы стальные электросварные прямошовные диаметром 530-1020 мм с толщиной стенки до 32 мм, выполненные электродуговой сваркой под флюсом с одним продольным швом и предназначенные для строительства газопроводов, нефтепроводов и нефтепродуктопроводов на рабочее давление 5,4 - 7,4 МПа в северном и обычном исполнении. | | Оглавление: | 1 Сортамент 2 Технические требования 3 Правила приемки и методы испытаний 4 Маркировка, упаковка, транспортирование и хранение Приложение А. Таблица - Технические условия и стандарты на листовую сталь Приложение Б. Нормы разбраковки труб по дефектам сварных швов и основного металла по периметру концов труб, выявляемых неразрушающими методами контроля Приложение В. Условное обозначение марки стали Приложение Г. Перечень средств измерений для контроля труб Приложение Д. Ссылочные нормативные документы | | Разработан: | ВНИИгаз (VNIIgaz ) АО ВНИИСТ
| | Утверждён: | 31.07.1997 ТК 357 Трубы и стальные баллоны
| | Принят: | 04.06.1997 АК Транснефть (Transneft AK ) 04.06.1997 Гипротрубопровод Миннефтепрома СССР (Giprotruboprovod, USSR Minnefteprom ) 04.06.1997 Управление научно-технического прогресса и экологии РАО Газпром
| | Список изменений: | | | Заменяет собой: | | | Нормативные ссылки: |   ГОСТ 1497-84 «Металлы. Методы испытаний на растяжение»  ГОСТ 6996-66 «Сварные соединения. Методы определения механических свойств»  ГОСТ 7512-82 «Контроль неразрушающий. Соединения сварные. Радиографический метод»  ГОСТ 10692-80 «Трубы стальные, чугунные и соединительные части к ним. Приемка, маркировка, упаковка, транспортирование и хранение»  ГОСТ 14637-89 «Прокат толстолистовой из углеродистой стали обыкновенного качества. Технические условия»  ГОСТ 19281-89 «Прокат из стали повышенной прочности. Общие технические условия»  ГОСТ 19903-74 «Прокат листовой горячекатаный. Сортамент»  ГОСТ 166-89 «Штангенциркули. Технические условия»  ГОСТ 427-75 «Линейки измерительные металлические. Технические условия»  ГОСТ 9454-78 «Металлы. Метод испытания на ударный изгиб при пониженных, комнатной и повышенных температурах»  ГОСТ 2405-88 «Манометры, вакуумметры, мановакуумметры, напоромеры, тягомеры и тягонапоромеры. Общие технические условия»  ГОСТ 11358-89 «Толщиномеры и стенкомеры индикаторные с ценой деления 0,01 и 0,1 мм. Технические условия» ГОСТ 7502-89 «Рулетки измерительные металлические. Технические условия» ГОСТ 7564-73 «Сталь. Общие правила отбора проб, заготовок и образцов для механических и технологических испытаний»  ГОСТ 3845-75 «Трубы металлические. Метод испытания гидравлическим давлением»  ГОСТ 7564-97 «Прокат. Общие правила отбора проб, заготовок и образцов для механических и технологических испытаний»  ГОСТ 7502-98 «Рулетки измерительные металлические. Технические условия»  ГОСТ 6507-90 «Микрометры. Технические условия»
|
                               
Текстовое изменение № 1
|