Скачать ТУ 4218-002-17416124-96 Серия постов, щитков и коробок. Технические условияДата актуализации: 01.01.2021 ТУ 4218-002-17416124-96
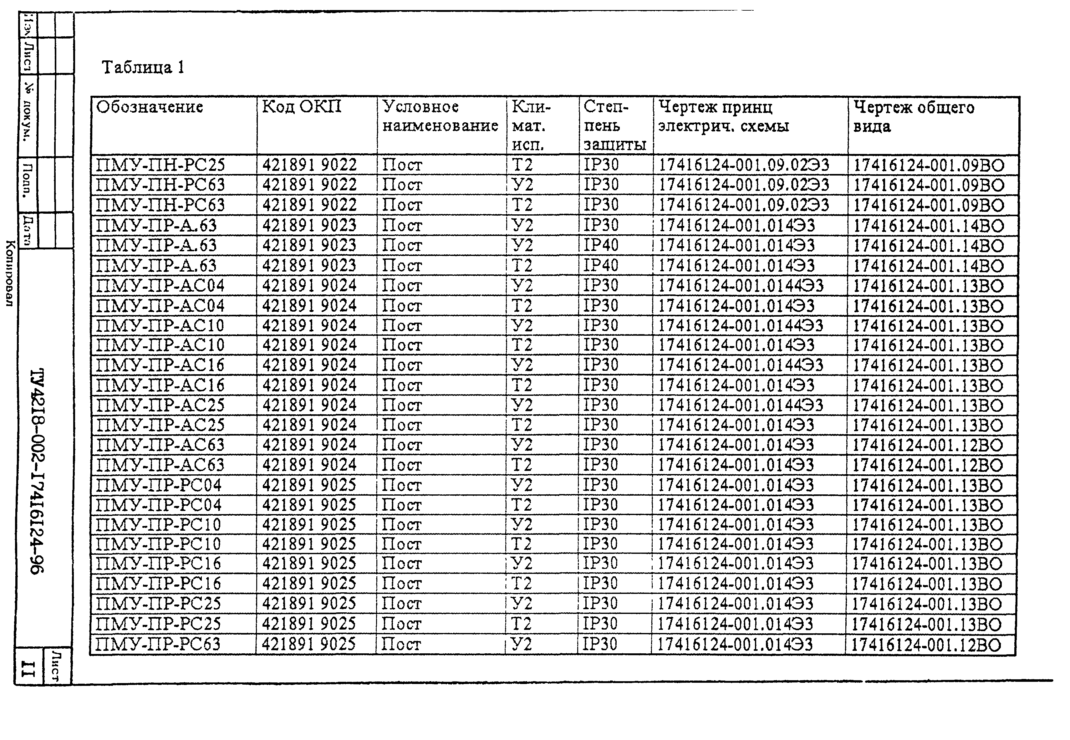
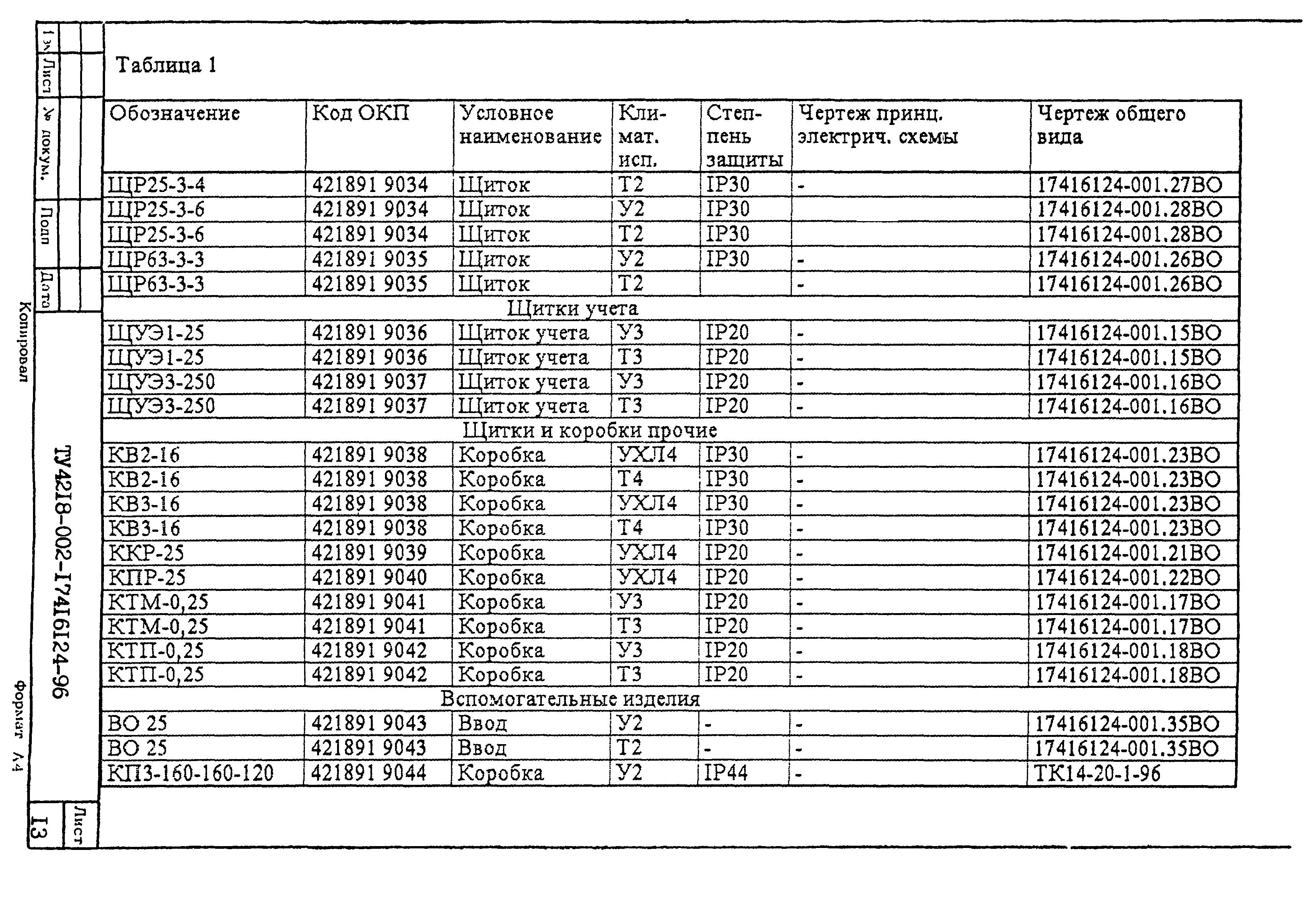
Серия постов, щитков и коробок. Технические условия| Обозначение: | ТУ 4218-002-17416124-96 | | Обозначение англ: | TU 4218-002-17416124-96 | | Статус: | действует | | Название рус.: | Серия постов, щитков и коробок. Технические условия | | Дата добавления в базу: | 01.09.2013 | | Дата актуализации: | 01.01.2021 | | Дата введения: | 01.01.1997 | | Область применения: | Настоящие технические условия распространяются на серию постов, щитков и коробок, предназначенных для применения при проектировании и монтаже систем автоматизации технологических процессов и инженерного оборудования зданий и сооружений согласно области распространения ГОСТ 21.408 и СНиП 3.05.07, а также для создания систем электроснабжения небольших по потребляемой мощности объектов. Напряжение не более 380 В | | Оглавление: | 1. Технические требования 1.1. Основные параметры и характеристики 1.2. Требования к материалам и покупным изделиям 1.3. Комплектность 1.4. Маркировка 1.5. Упаковка 2. Требования безопасности 3. Правила приемки 4. Методы контроля 5. Транспортирование и хранение 6. Указания по эксплуатации 7. Гарантии изготовителя Приложение А. Габаритные и установочные размеры изделий Приложение Б. Перечень оборудования, необходимого для контроля продукции Приложение В. Ссылочные нормативно-технические документы | | Утверждён: | 15.10.1996 АО НПО Монтажавтоматика
| | Принят: | 25.09.1996 Люберецкий филиал АО НПО Монтажавтоматика (7/275)
| | Нормативные ссылки: | |
                                                       
|