Скачать ГОСТ Р ИСО 14560-2007 Статистические методы. Процедуры выборочного контроля по альтернативному признаку. Уровни качества в несоответствующих единицах продукции на миллионДата актуализации: 01.01.2021
|
| Обозначение: | ГОСТ Р ИСО 14560-2007 |
| Обозначение англ: | GOST R ISO 14560-2007 |
| Статус: | введен впервые |
| Название рус.: | Статистические методы. Процедуры выборочного контроля по альтернативному признаку. Уровни качества в несоответствующих единицах продукции на миллион |
| Название англ.: | Statistical methods. Acceptance sampling procedures by attributes. Specified quality levels in nonconforming items per million |
| Дата добавления в базу: | 01.09.2013 |
| Дата актуализации: | 01.01.2021 |
| Дата введения: | 01.06.2008 |
| Дата окончания срока действия: | 01.06.2021 |
| Область применения: | Стандарт устанавливает для уровней качества, выраженных в несоответствующих единицах продукции на миллион. Процедуры оценки уровня качества единственного объекта (например, партии) и оценки уровня качества процесса на основе данных нескольких выборок, если процесс производства находится в состоянии статистической управляемости. |
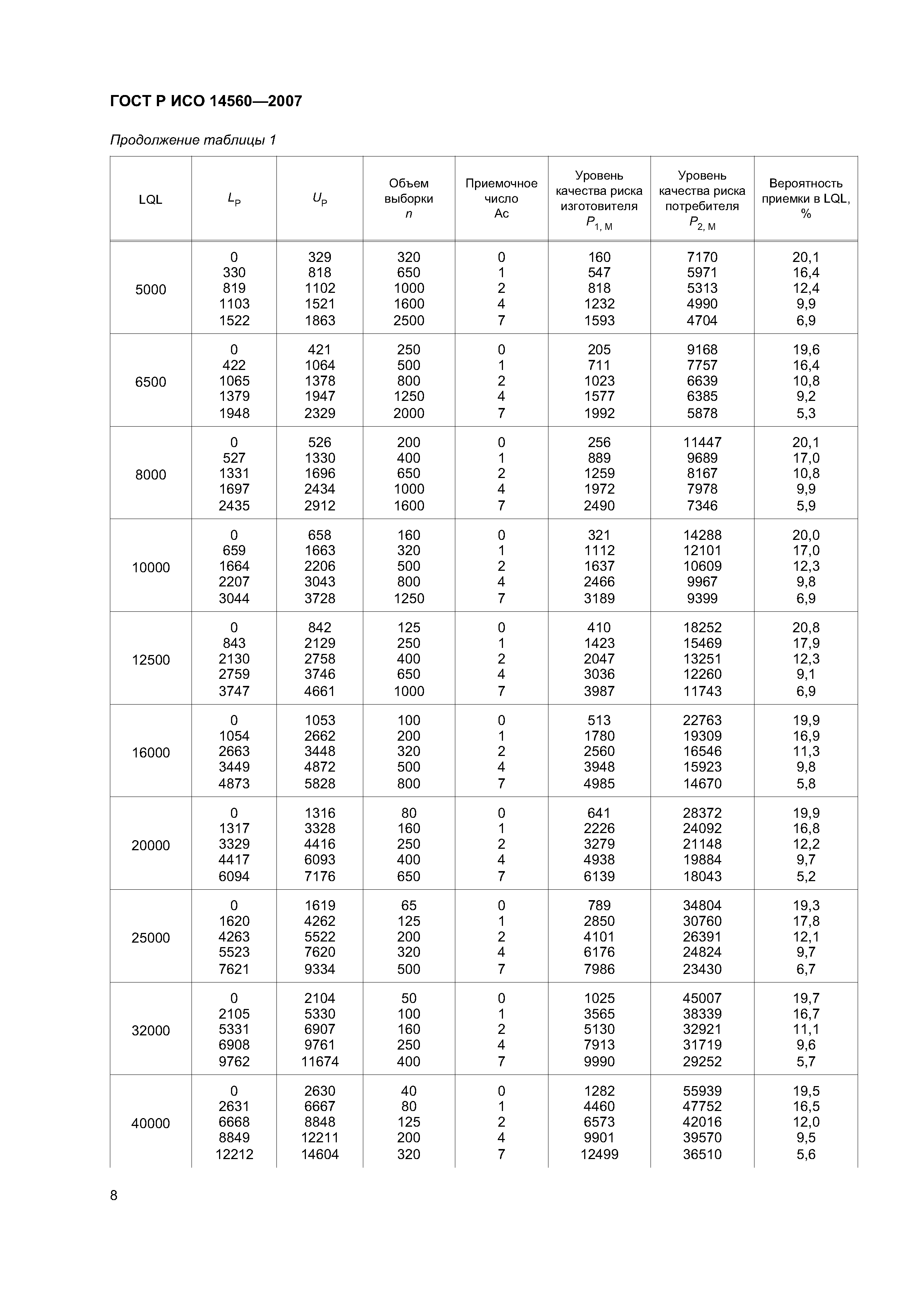
| Оглавление: | 1 Область применения 2 Нормативные ссылки 3 Термины, определения и обозначения 4 Общие принципы 5 Оценка уровня качества в несоответствующих едницах продукции на миллион 6 Требования и процедуры статистического приемочного контроля партий 7 Одноступенчатые планы, индексированные LQL Приложение А Исключение данных Приложение В Теоретическое обоснование Приложение С Статистическая теория для таблицы 1 Приложение D Сведения о соответствии национальных стандартов Российской Федерации ссылочным международным стандартам Библиография |
| Разработан: | ОАО НИЦ КД |
| Утверждён: | 12.12.2007 Росстандарт (359-ст) |
| Издан: | Стандартинформ (2008 г. ) |
| Нормативные ссылки: |
|



















