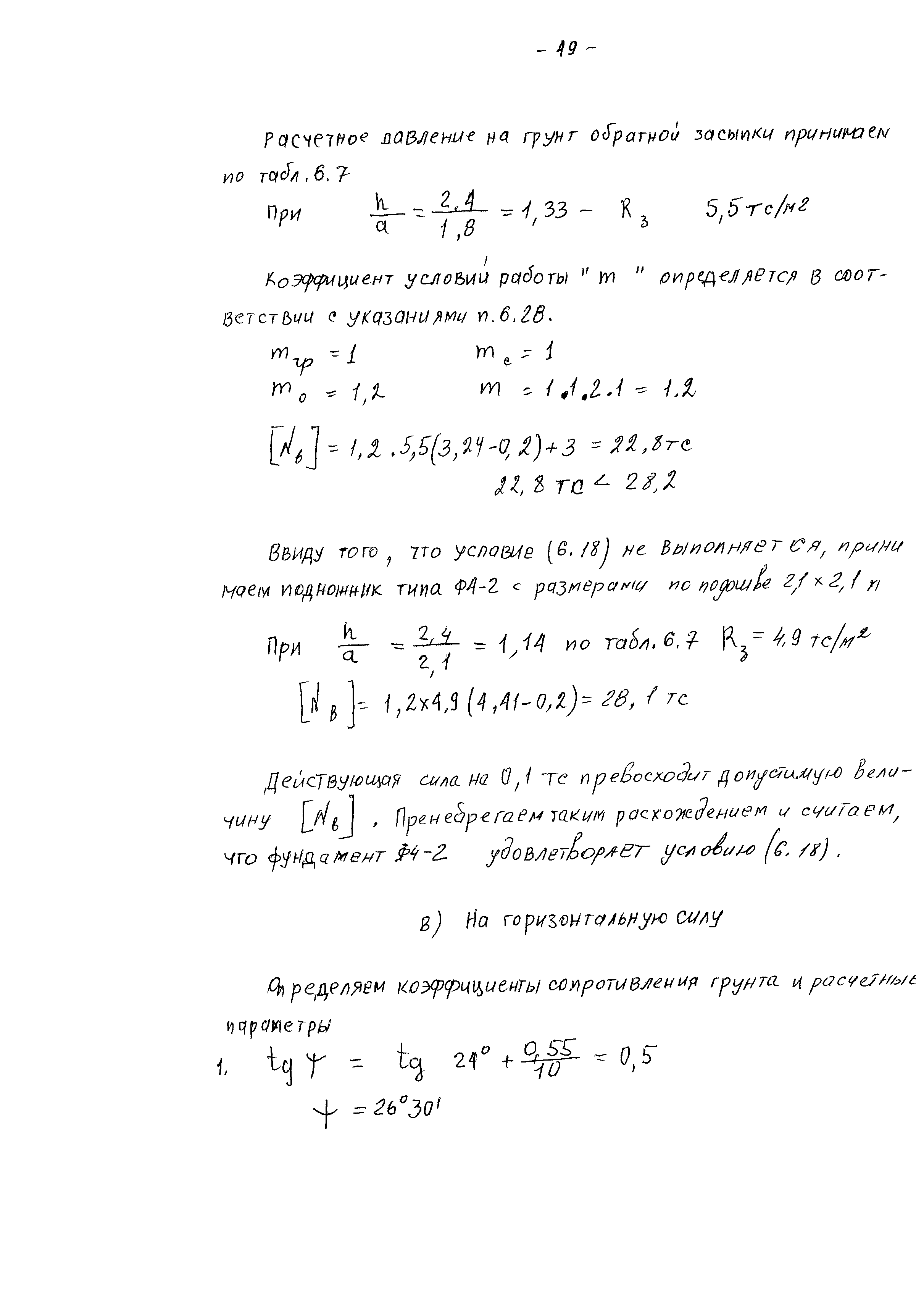
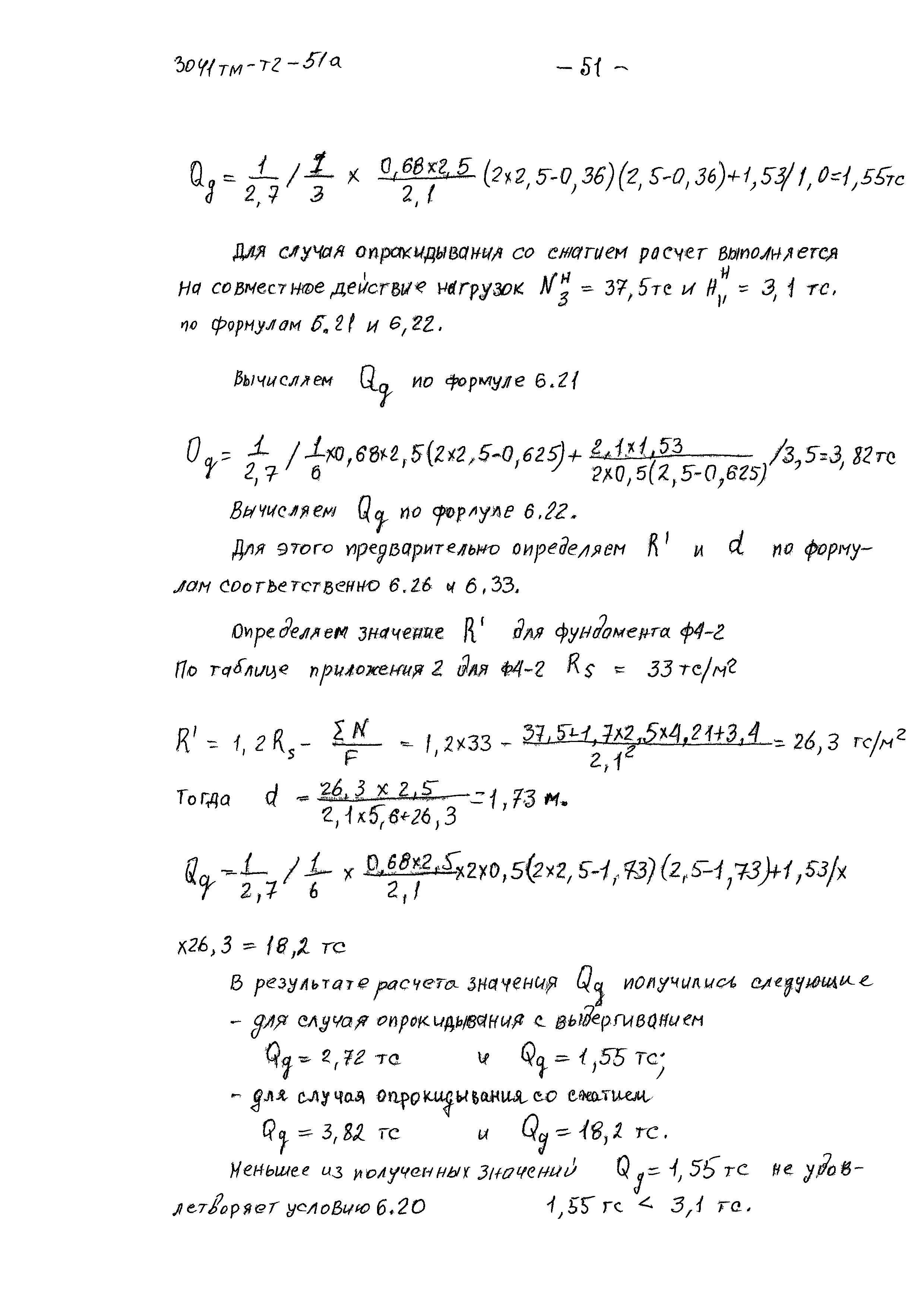
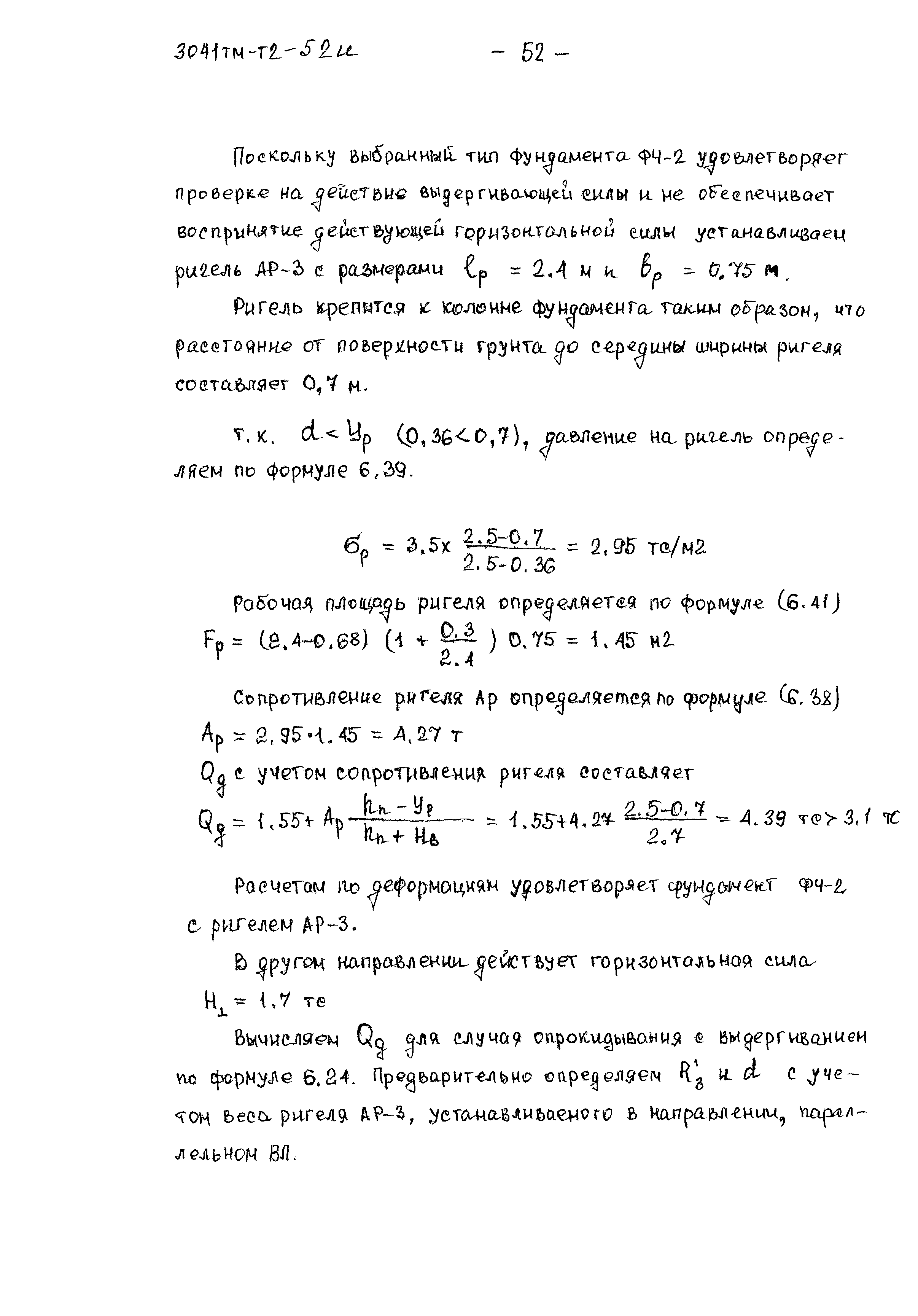
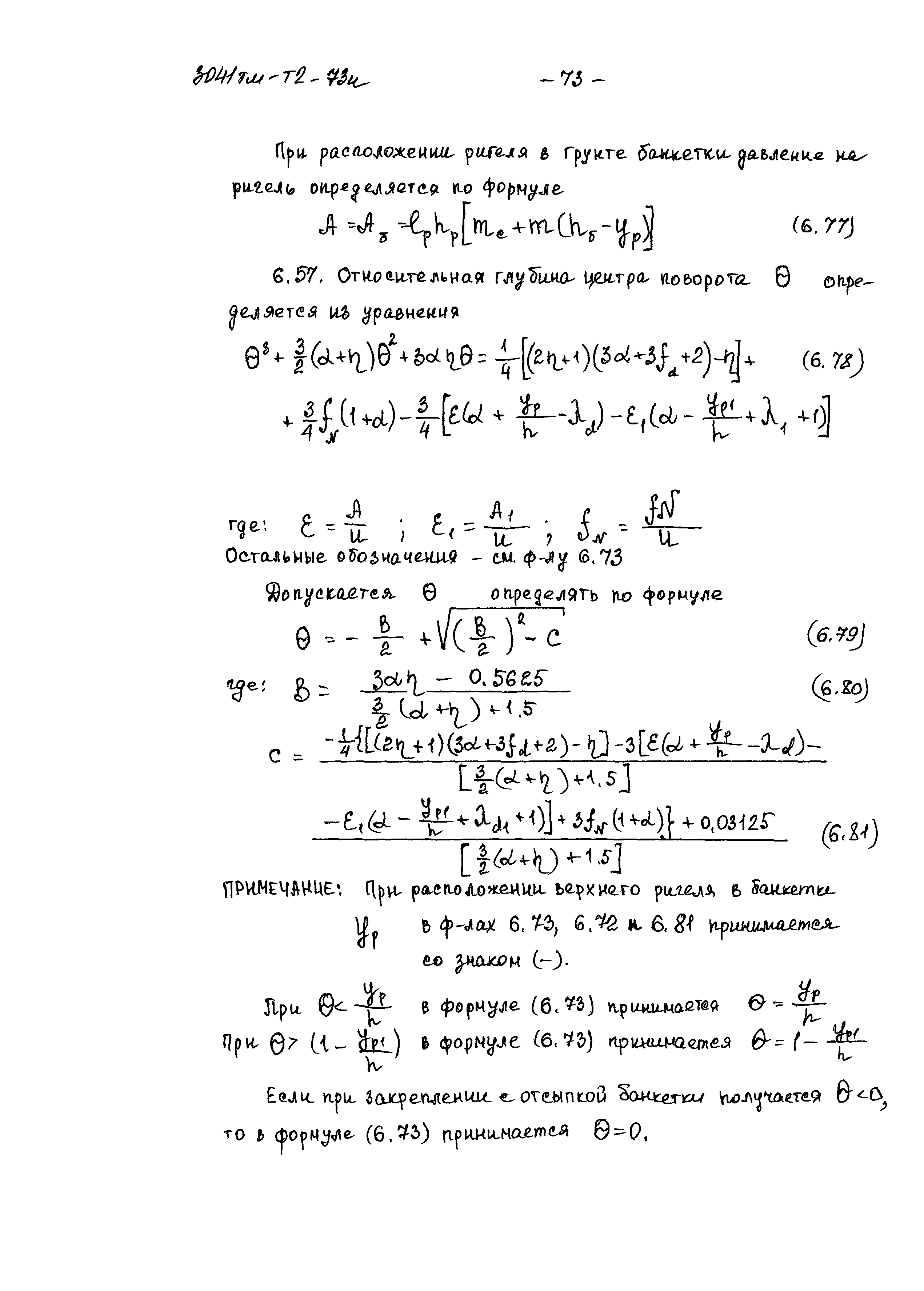
Скачать 3041 тм-т2 Руководство по проектированию опор и фундаментов линий электропередачи и распределительных устройств подстанций напряжением выше 1 кВ. Раздел 6. ОснованияДата актуализации: 01.01.2021
|
| Обозначение: | 3041 тм-т2 |
| Обозначение англ: | 3041 тм-т2 |
| Статус: | действует |
| Название рус.: | Руководство по проектированию опор и фундаментов линий электропередачи и распределительных устройств подстанций напряжением выше 1 кВ. Раздел 6. Основания |
| Дата добавления в базу: | 01.09.2013 |
| Дата актуализации: | 01.01.2021 |
| Дата введения: | 01.03.1977 |
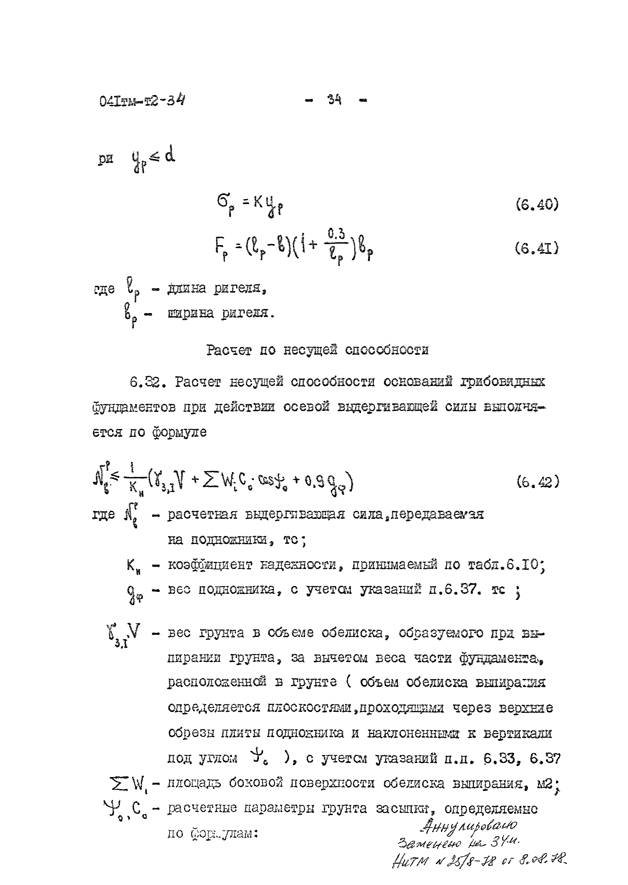
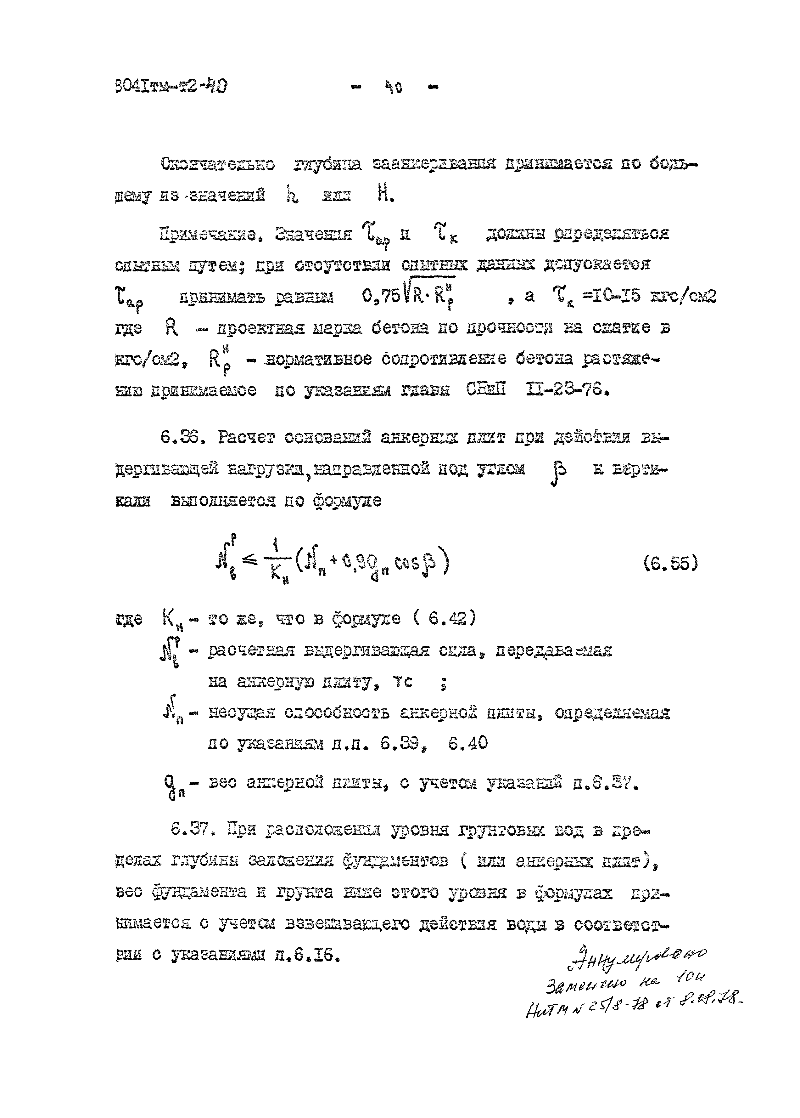
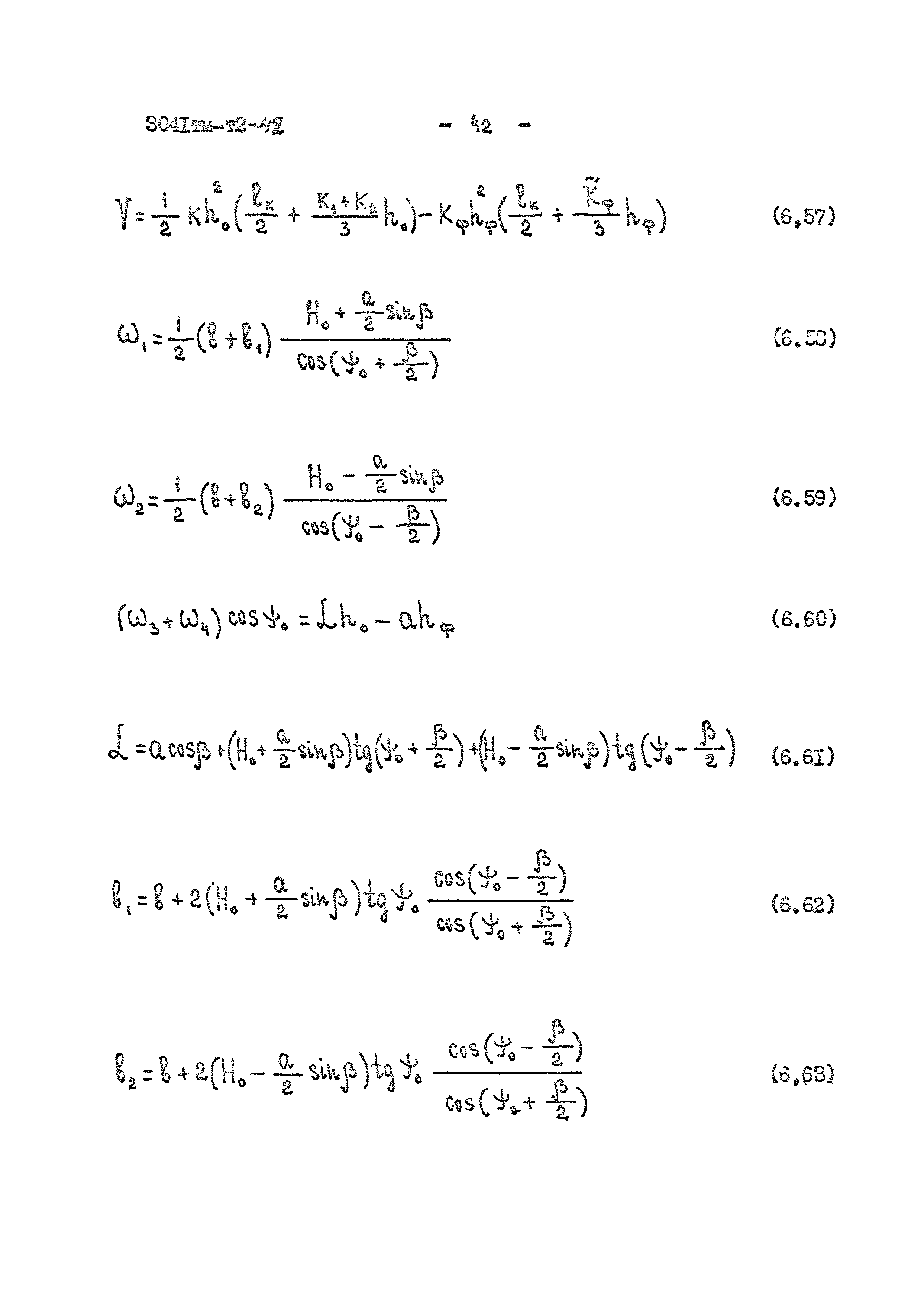
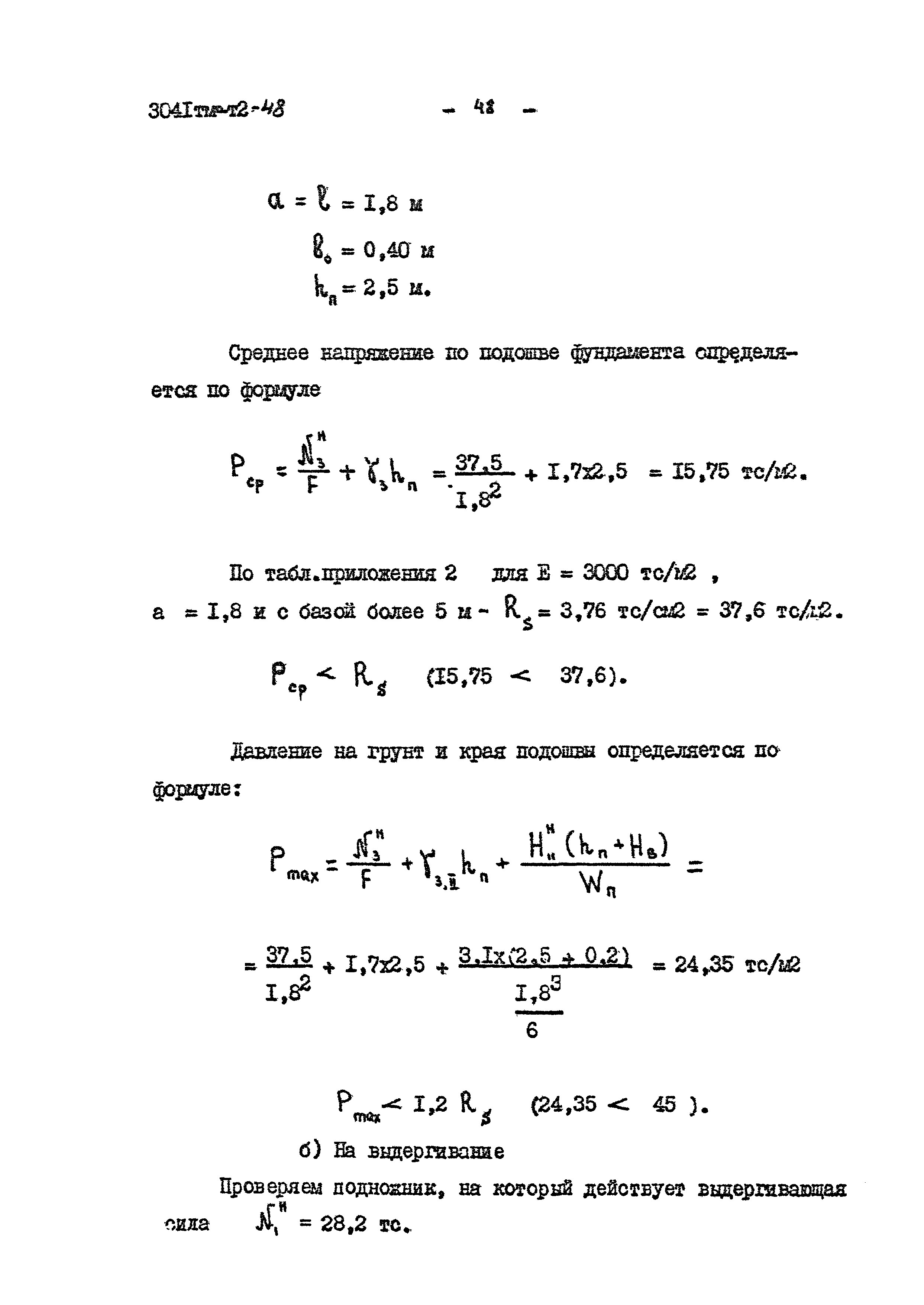
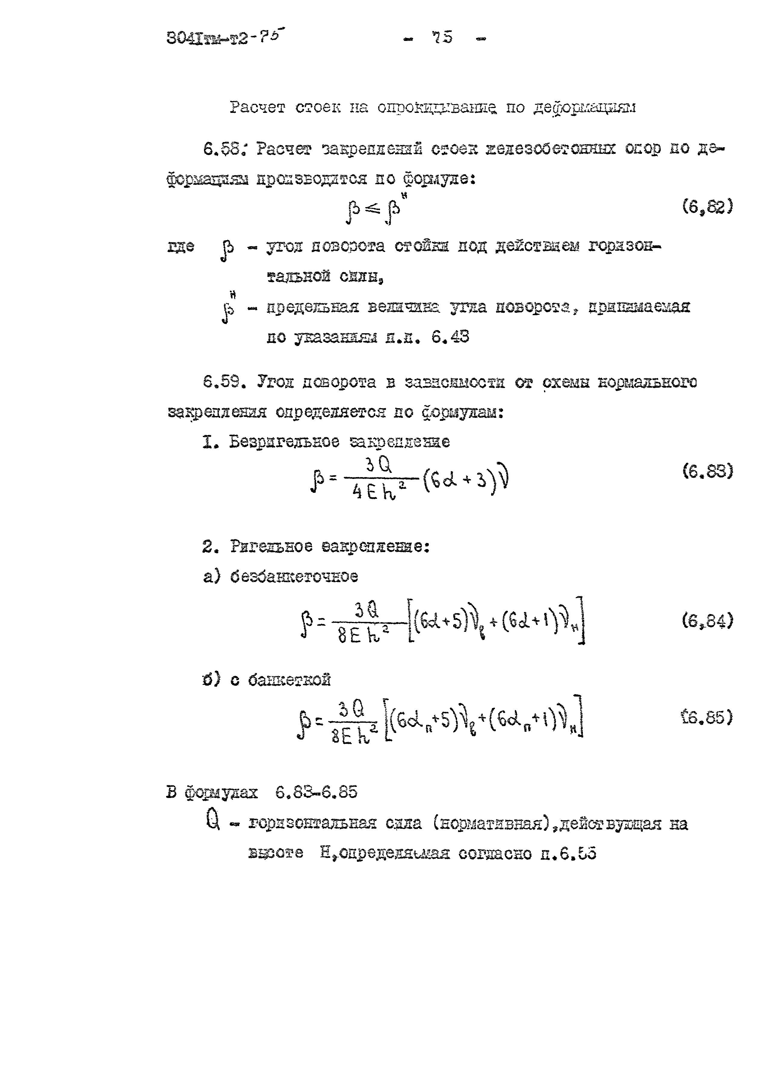
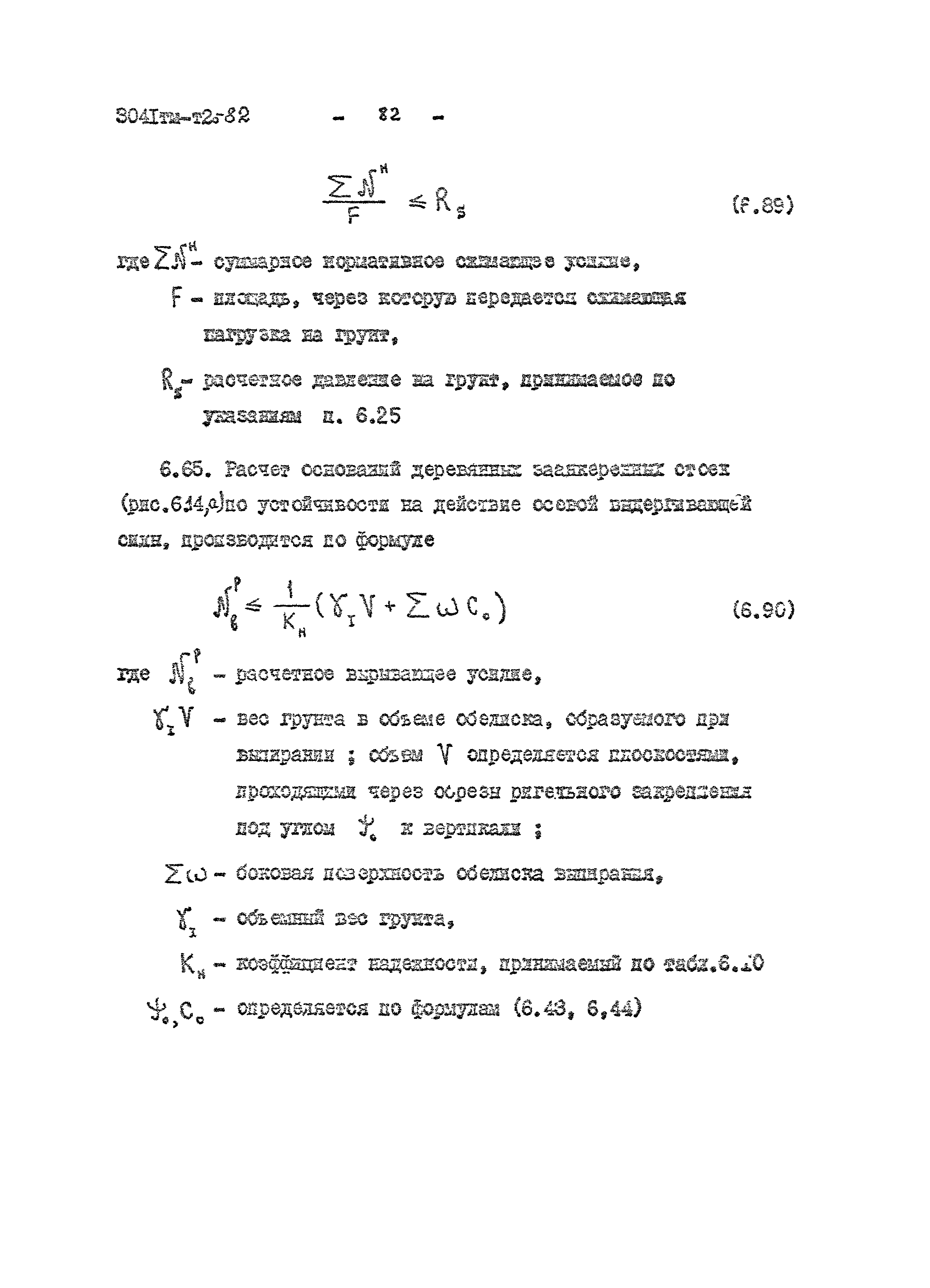
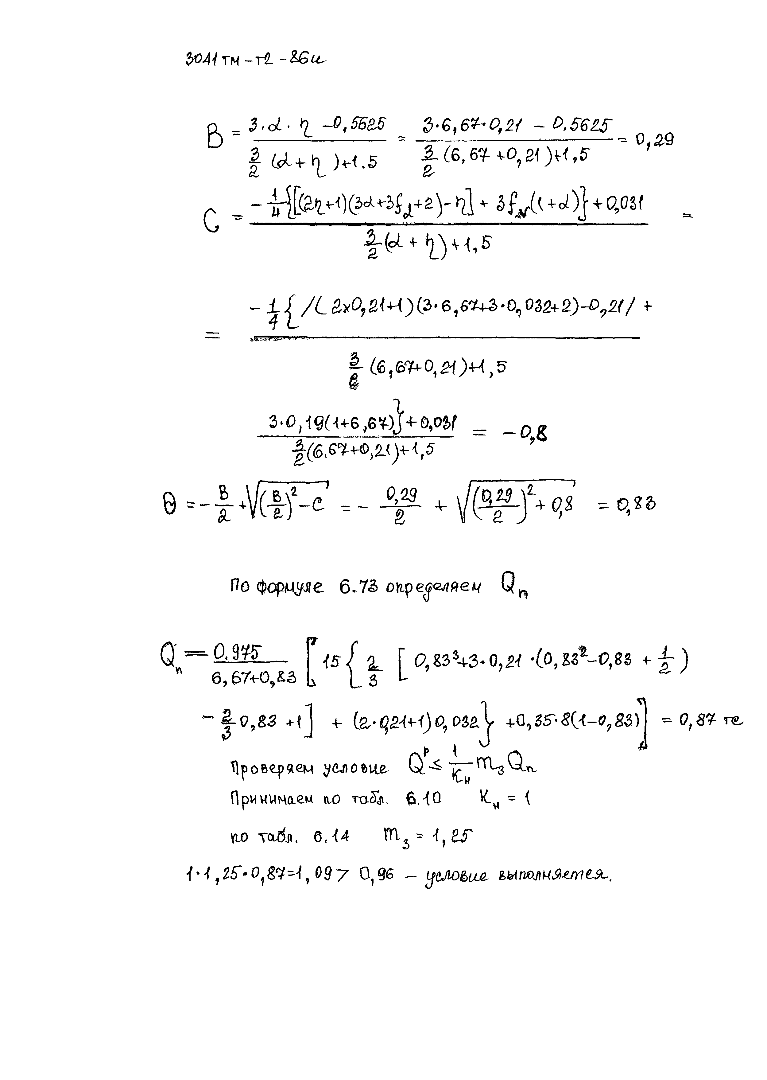
| Оглавление: | Общие указания Проектирование оснований грибовидных фундаментов и анкерных плит Расчет по деформациям Расчет по несущей способности Расчет свободностоящих стоек на опрокидывание Расчет оснований стоек, работающих на осевую сжимающую нагрузку Расчет устойчивости фундаментов в пучинистых грунтах Проектирование фундаментов на просадочных грунтах Некоторые рекомендации по проектированию фундаментов в поймах Приложение 1. Таблицы нормативных значений прочностных и деформационных характеристик грунтов Приложение 2. Таблица значений Rs Приложение 3. Таблица коэффициента альфа Приложение 4. Таблица расчетных коэффициентов трения каменной или бетонной кладки пот грунту f |
| Разработан: | Энергосетьпроект |
| Утверждён: | 25.06.1975 Энергосетьпроект (Energosetproject ) |
| Принят: | 13.12.1976 Сельэнергопроект (7-11/1375) |
| Заменяет собой: |
|
| Нормативные ссылки: |




































































































































































