Скачать ОСТ 153-34.0-975-99А Сборочные единицы и детали опор станционных трубопроводов атомных станций Ру <= 1,6 МПа (16 кгс/см2). Опора скользящая и неподвижная с направляющим хомутом. Конструкция и размерыДата актуализации: 01.01.2021 ОСТ 153-34.0-975-99А
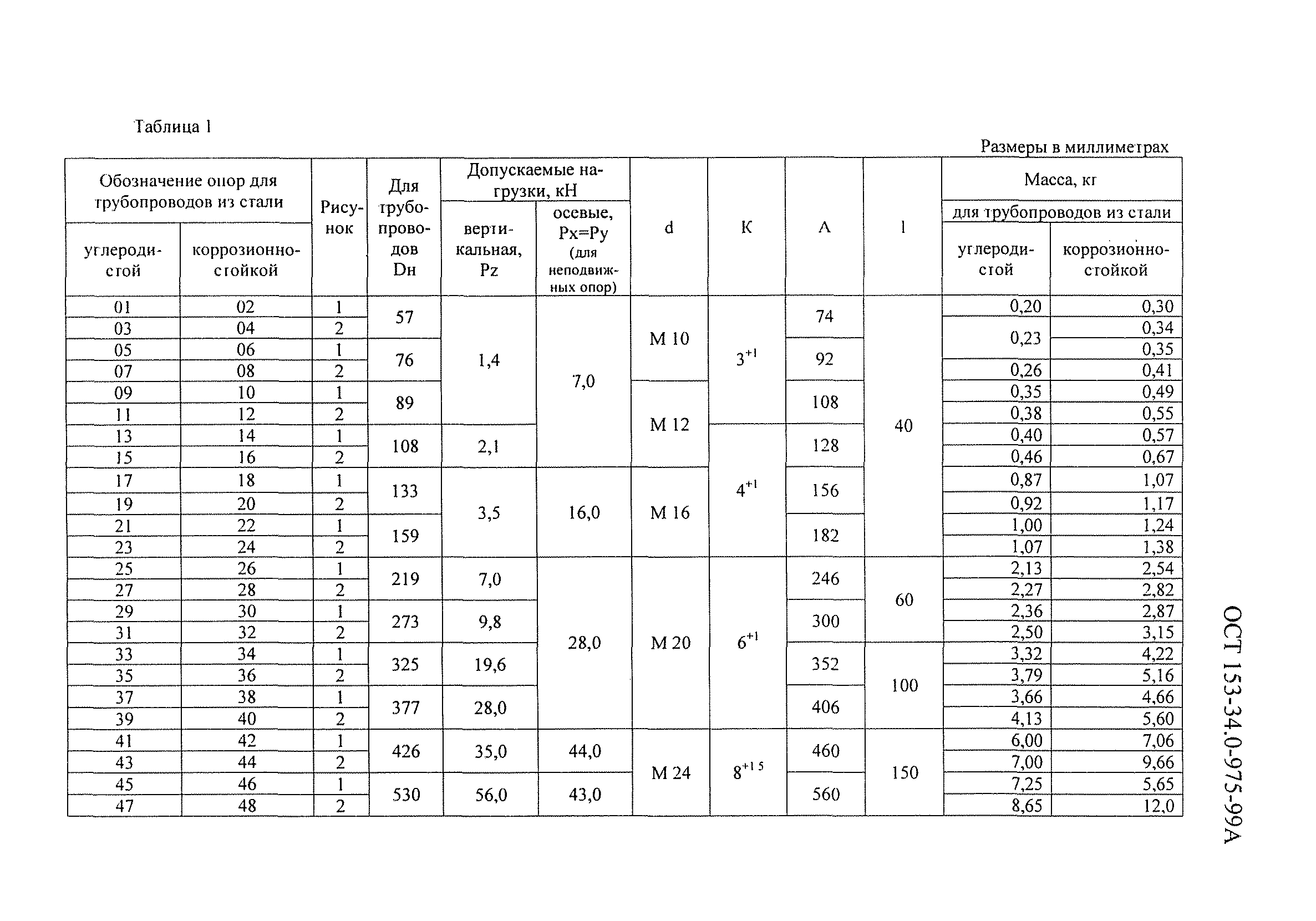
Сборочные единицы и детали опор станционных трубопроводов атомных станций Ру <= 1,6 МПа (16 кгс/см2). Опора скользящая и неподвижная с направляющим хомутом. Конструкция и размеры| Обозначение: | ОСТ 153-34.0-975-99А | | Обозначение англ: | OST 153-34.0-975-99А | | Статус: | отменен | | Название рус.: | Сборочные единицы и детали опор станционных трубопроводов атомных станций Ру <= 1,6 МПа (16 кгс/см2). Опора скользящая и неподвижная с направляющим хомутом. Конструкция и размеры | | Дата добавления в базу: | 01.09.2013 | | Дата актуализации: | 01.01.2021 | | Дата введения: | 01.02.2001 | | Дата окончания срока действия: | 25.08.2004 | | Область применения: | Стандарт распространяется на скользящие и неподвижные опоры с направляющим хомутом, предназначенные для станционных трубопроводов низкого давления групп В и С атомных станций по ПН АЭ Г-7-008-89 "Правила устройства и безопасной эксплуатации оборудования и трубопроводов атомных энергетических установок", с рабочей температурой среды не более 80 °C и Dн от 57 до 530 мм. Скользящие и неподвижные опоры с направляющим хомутом относятся к классу безопасности 2 по ОПБ-88/97 ПН АЭ Г-01-011-97 «Общие положения обеспечения безопасности атомных станций» и к категории сейсмостойкости 1 по ПН АЭ Г-5-006-87 «Нормы проектирования сейсмостойких атомных станций». Допускается применение сборочных единиц деталей и опор по настоящему стандарту для станционных трубопроводов атомных станций, на которые распространяются РД-03-93 "Правила устройства и безопасной эксплуатации пара и горячей воды" и СНиП 3.05.05-84 "Технологическое оборудование и технологические трубопроводы". | | Оглавление: | 1. Область применения 2. Нормативные ссылки 3. Конструкция и размеры 4. Требования Приложение А. Библиография | | Разработан: | ОАО Энергомонтажпроект ОАО Севзапэнергомонтажпроект
| | Утверждён: | 23.01.2001 Министерство энергетики РФ (Russian Federation Ministry of Energy 19)
| | Нормативные ссылки: |   СНиП 3.05.05-84 «Технологическое оборудование и технологические трубопроводы»  ПБ 03-75-94 «Правила устройства и безопасной эксплуатации трубопроводов пара и горячей воды»  ГОСТ 1050-88 «Прокат сортовой, калиброванный, со специальной отделкой поверхности из углеродистой качественной конструкционной стали. Общие технические условия»  ГОСТ 2590-88 «Прокат стальной горячекатаный круглый. Сортамент»  ГОСТ 5264-80 «Ручная дуговая сварка. Соединения сварные. Основные типы, конструктивные элементы и размеры»  ГОСТ 19903-74 «Прокат листовой горячекатаный. Сортамент»  ГОСТ 5915-70 «Гайки шестигранные класса точности В. Конструкция и размеры»  ГОСТ 14771-76 «Дуговая сварка в защитном газе. Соединения сварные. Основные типы. Конструктивные элементы и размеры» ГОСТ 8724-81 «Основные нормы взаимозаменяемости. Резьба метрическая. Диаметры и шаги»  ГОСТ 24705-81 «Основные нормы взаимозаменяемости. Резьба метрическая. Основные размеры» ПНАЭ Г-5-006-87 «Нормы проектирования сейсмостойких атомных станций»  ПНАЭ Г-01-011-97 «Общие положения обеспечения безопасности атомных станций»  ГОСТ 16093-81 «Основные нормы взаимозаменяемости. Резьба метрическая. Допуски. Посадки с зазором»  ГОСТ 5582-75 «Прокат тонколистовой коррозионно-стойкий, жаростойкий и жаропрочный. Технические условия»  ГОСТ 6402-70 «Шайбы пружинные. Технические условия» ГОСТ 9150-81 «Основные нормы взаимозаменяемости. Резьба метрическая. Профиль»  ГОСТ 10549-80 «Выход резьбы. Сбеги, недорезы, проточки и фаски»  ГОСТ 23304-78 «Болты, шпильки, гайки и шайбы для фланцевых соединений атомных энергетических установок. Технические требования. Приемка. Методы испытаний. Маркировка, упаковка, транспортирование и хранение»  ПНАЭ Г-7-008-89 «Правила устройства и безопасной эксплуатации оборудования и трубопроводов атомных энергетических установок» ОСТ 153-34.0-980-99А «Сборочные единицы и детали опор станционных трубопроводов атомных станций Ру <= 4,0 МПа (40 кгс/см2). Подушки и упоры. Конструкция и размеры» ОСТ 153-34.0-969-99А «Сборочные единицы и детали опор станционных трубопроводов атомных станций Ру <= 4,0 МПа (40 кгс/см2). Общие технические требования»
|
              
|