Скачать ГОСТ Р 53019-2008 Нитки швейные для изделий технического и специального назначения. Технические условия

Дата актуализации: 01.01.2021

ГОСТ Р 53019-2008

Нитки швейные для изделий технического и специального назначения. Технические условия

Обозначение: ГОСТ Р 53019-2008
Обозначение англ: GOST R 53019-2008
Статус:введен впервые
Название рус.:Нитки швейные для изделий технического и специального назначения. Технические условия
Название англ.:Sewing threads for technical and special manufactured goods. Specifications
Дата добавления в базу:01.09.2013
Дата актуализации:01.01.2021
Дата введения:01.01.2010
Область применения:Стандарт распространяется на арамидные, полипропиленовые, арамиднополиэфирные, полиэфирнохлопковые, полипропиленполиэфирные, полиэфирные и полиамидные нитки, предназначенные для шитья специальной защитной одежды и обуви, тканых фильтров, грузовых контейнеров, мешков и других изделий технического и специального назначения. Стандарт не распространяется на нитки медицинского и косметического назначения.
Оглавление:1 Область применения
2 Нормативные ссылки
3 Технические требования
4 Требования безопасности
5 Правила приемки
6 Методы испытаний
7 Транспортирование и хранение
8 Гарантии потребителя
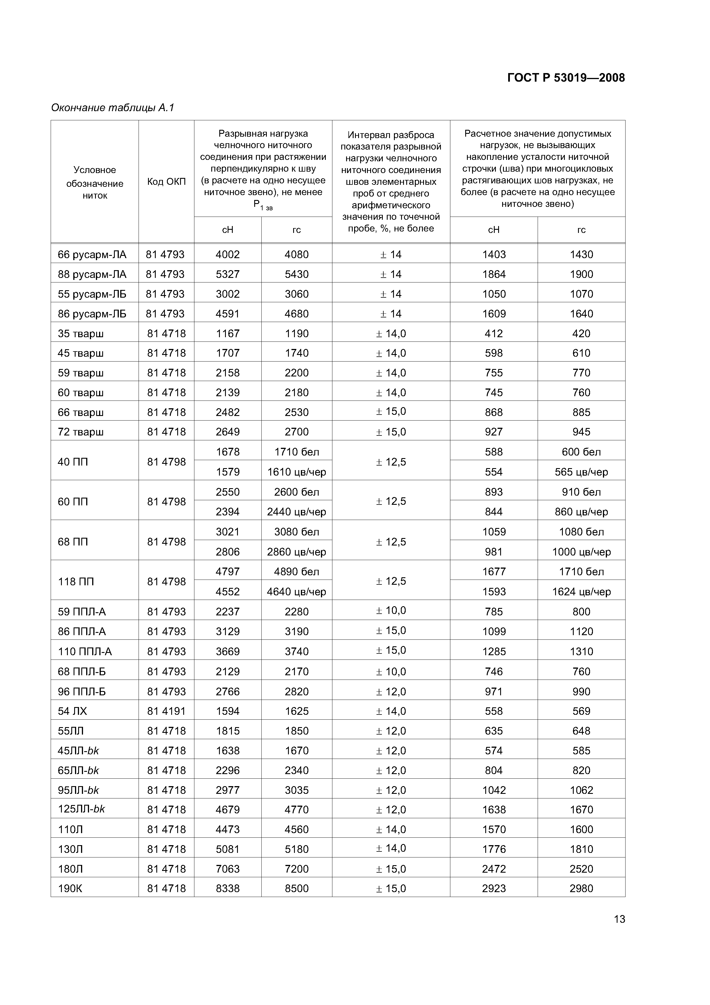
Приложение А (справочное) Код ОКП ниток и значения физико-механических свойств ниток в ниточных соединениях (челночных швах)
Приложение Б (справочное) Метод прогнозирования устойчивости (выносливости) швов при действии на них многоцикловых растягивающих нагрузок, приложенных перпендикулярно к шву
Приложение В (справочное) Области рационального применения ниток для изделий, защищающих от вредных эксплуатационных воздействий
Разработан: ОАО НИИ ниток Петронить
ГОУ ВПО СПГУТД
Утверждён:27.11.2008 Федеральное агентство по техническому регулированию и метрологии (330-ст)
Издан: Стандартинформ (2009 г. )
Нормативные ссылки:
ГОСТ Р 53019-2008ГОСТ Р 53019-2008ГОСТ Р 53019-2008ГОСТ Р 53019-2008ГОСТ Р 53019-2008ГОСТ Р 53019-2008ГОСТ Р 53019-2008ГОСТ Р 53019-2008ГОСТ Р 53019-2008ГОСТ Р 53019-2008ГОСТ Р 53019-2008ГОСТ Р 53019-2008ГОСТ Р 53019-2008ГОСТ Р 53019-2008ГОСТ Р 53019-2008ГОСТ Р 53019-2008ГОСТ Р 53019-2008ГОСТ Р 53019-2008ГОСТ Р 53019-2008