Скачать РД 39-0147103-397-87 Методика расчета параметров водопонижения при ремонте магистральных нефтепроводовДата актуализации: 01.01.2021
|
| Обозначение: | РД 39-0147103-397-87 |
| Обозначение англ: | RD 39-0147103-397-87 |
| Статус: | не действует |
| Название рус.: | Методика расчета параметров водопонижения при ремонте магистральных нефтепроводов |
| Дата добавления в базу: | 01.09.2013 |
| Дата актуализации: | 01.01.2021 |
| Дата введения: | 01.02.1988 |
| Дата окончания срока действия: | 01.02.1991 |
| Область применения: | Методика определяет порядок расчета параметров водопонижения при ремонте нефтепроводов на обводненных участках и является обязательной при разработке проектов на капитальный ремонт и при выполнении капитального ремонта магистральных трубопроводов на обводненных участках в системе Главтранснефти. |
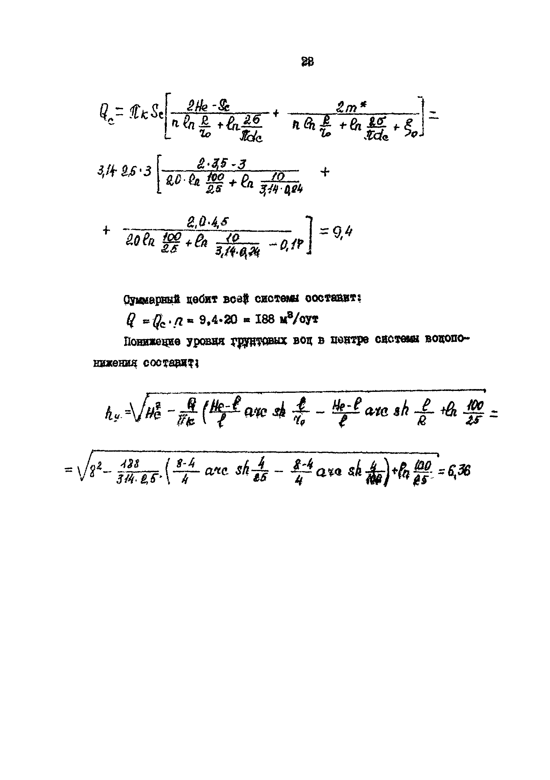
| Оглавление: | 1 Общие положения 2 Задачи фильтрационного расчета 3 Способы понижения грунтовых вод и основные водные характеристики грунта 4 Открытый водоотлив 5 Иглофильтровый водоотлив 6 Расчет параметров линейного водоотлива 7 Расчет параметров кольцевого водопонижения 8 Определение коэффициента фильтрации в полевых условиях 9 Примеры расчета Приложения |
| Разработан: | ВНИИСПТнефть |
| Утверждён: | Министерство нефтяной промышленности СССР (USSR Ministry of the Petroleum Industry ) 15.06.1987 Главтранснефть (Glavtransneft ) |
| Издан: | ВНИИСПТнефть (1988 г. ) |







































