Скачать ГОСТ Р 52977-2008 Информатизация здоровья. Состав данных о взаиморасчетах за пролеченных пациентов для электронного обмена этими данными. Общие требованияДата актуализации: 01.01.2021
|
| Обозначение: | ГОСТ Р 52977-2008 |
| Обозначение англ: | GOST R 52977-2008 |
| Статус: | введен впервые |
| Название рус.: | Информатизация здоровья. Состав данных о взаиморасчетах за пролеченных пациентов для электронного обмена этими данными. Общие требования |
| Название англ.: | Health informatics. Structure of data about interconnections of the treated patients for the electronic exchange of these data. General requirements |
| Дата добавления в базу: | 01.09.2013 |
| Дата актуализации: | 01.01.2021 |
| Дата введения: | 01.05.2009 |
| Область применения: | Стандарт устанавливает требования к составу данных при организации взаиморасчетов между субъектами системы медицинского страхования для обеспечения электронного обмена при информационном взаимодействии автоматизированных информационных систем. Стандарт распространяется на автоматизированные информационные системы, формирующие или использующие данные взаиморасчетов за пролеченных пациентов по программе медицинского страхования. Понятие "электронный обмен" используется с целью распространения области применения стандарта только на данные взаиморасчетов за пролеченных пациентов по программе медицинского страхования, используемые при взаимодействии автоматизированных информационных систем. |
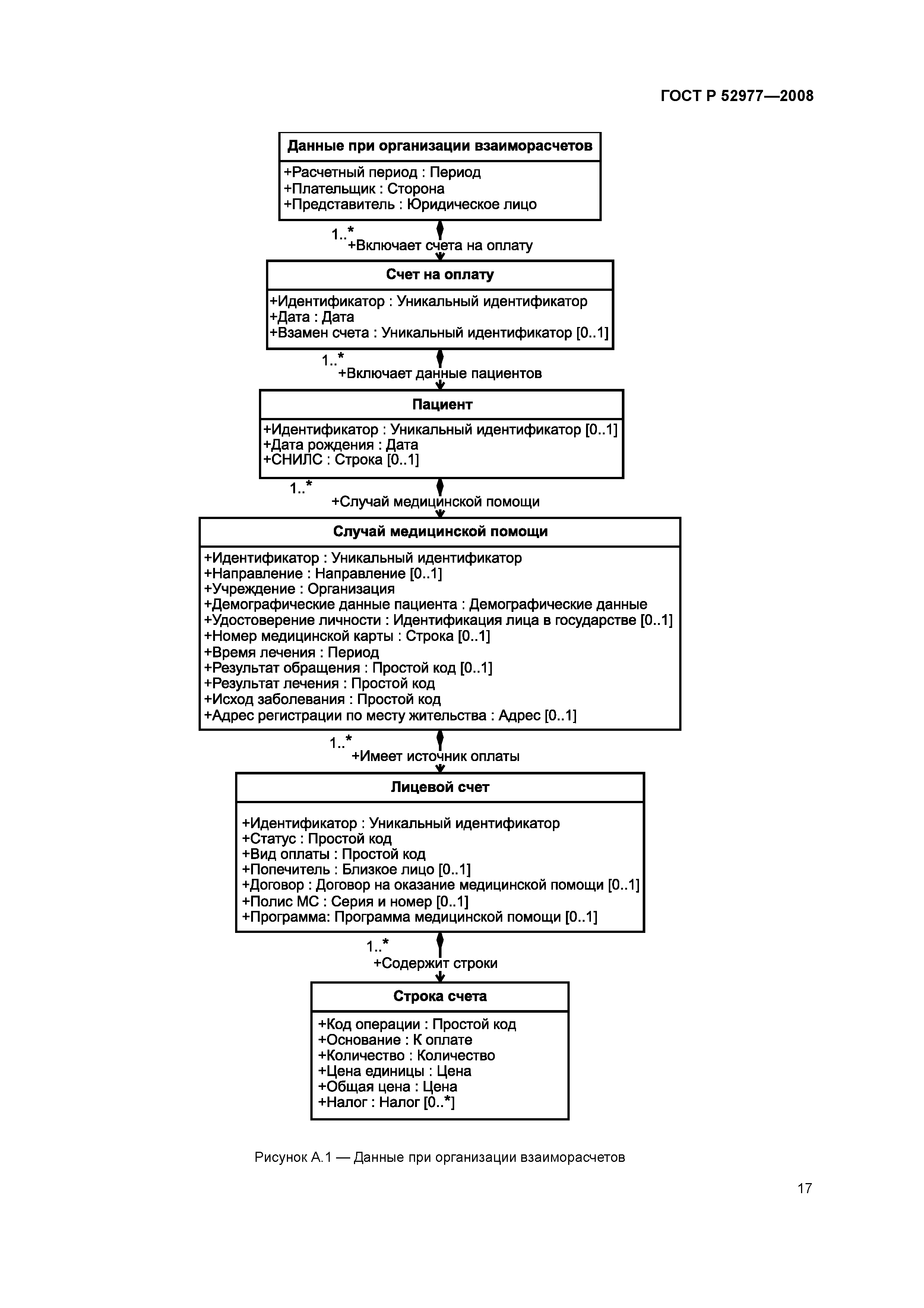
| Оглавление: | 1 Область применения 2 Нормативные ссылки 3 Термины, определения и сокращения 4 Общие требования Приложение А (справочное) Диаграммы классов информационных объектов на унифицированном языке моделирования UML Библиография |
| Разработан: | Некоммерческое партнерство Ассоциация медицинской информатики ФГУ ЦНИИ организации и информатизации здравоохранения Федерального агентства по здравоохранению и социальному развитию |
| Утверждён: | 13.10.2008 Федеральное агентство по техническому регулированию и метрологии (240-ст) |
| Издан: | Стандартинформ (2009 г. ) Стандартинформ (2018 г. ) |
| Нормативные ссылки: |
|






















