Скачать Рекомендации по интенсивной технологии и мониторингу строительства земляных сооружений на слабых основанияхДата актуализации: 01.01.2021 |
| Статус: | действует |
| Название рус.: | Рекомендации по интенсивной технологии и мониторингу строительства земляных сооружений на слабых основаниях |
| Дата добавления в базу: | 01.09.2013 |
| Дата актуализации: | 01.01.2021 |
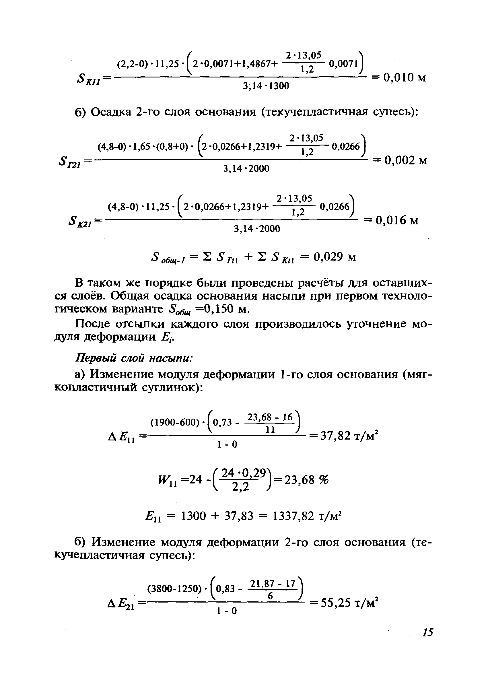
| Область применения: | В документе изложена методика, примеры расчетов и опыт применения интенсивной технологии при строительстве земляных сооружений в сложных природных условиях на основе применения регулированных вибрационных режимов уплотнения и мониторинга состояния грунтов. |
| Оглавление: | Введение 1. Основные положения методики 2. Параметры интенсивно технологии возведения земляных сооружений 3. Расчет осадки слабой толщи основания с учетом интенсивной технологии 4. Оценка устойчивости слабого основания 5. Особенности определения устойчивости насыпи на слабом основании 6. Выбор геосинтетического материала при интенсивной технологии 7. Прогноз во времени осадки насыпи на слабом основании 8. Взаимодействие интенсивной технологии с устройством дренажа 9. Взаимодействие интенсивной технологии с устройством дренажных прорезей в слабом основании 10. Конструктивно-технологические решения для ускорения осадки и обеспечения устойчивости слабого основания 11. Сооружение земляного полотна на болотах 12. Мониторинг интенсивных технологических процессов возведения насыпи на слабых грунтах 13. Расчет экономического эффекта применения интенсивной технологии Приложения |
| Разработан: | Московский госуд. университет путей сообщения |
| Утверждён: | МИИТ (MIIT ) |
| Издан: | Информационно-издательский центр ТИМР (2005 г. ) |
| Нормативные ссылки: |
|
































































































