Скачать Методические рекомендации по проектированию и расчету подпорных стен из буронабивных свай

Дата актуализации: 01.01.2021

Методические рекомендации по проектированию и расчету подпорных стен из буронабивных свай

Статус:действует
Название рус.:Методические рекомендации по проектированию и расчету подпорных стен из буронабивных свай
Дата добавления в базу:01.09.2013
Дата актуализации:01.01.2021
Дата введения:24.02.1984
Область применения:Требования Рекомендаций должны соблюдаться при проектировании и устройстве отдельно стоящих подпорных стен из вертикальных буронабивных свай для промышленного, жилищно-гражданского и сельского строительства. Требования не распространяются на проектирование и устройство подпорных стен в набухающих и вечномерзлых грунтах, на подрабатываемых и карстовых территориях.
Оглавление:1 Общие положения
2 Конструктивные требования
3 Общие положения расчета подпорных стен из буронабивных свай
4 Расчет подпорных стен из буронабивных свай на горизонтальные и моментные нагрузки
5 Определение коэффициента пропорциональности грунта по результатам статических испытаний свай на горизонтальную нагрузку
6 Расчет по прочности изгибаемых элементов круглого сечения, нормального к продольной оси
Приложение 1. Пример расчета подпорных стен при однорядном расположении свай
Приложение 2. Схема армирования свай подпорной стены при однорядном их расположении
Приложение 3. Примеры расчета на прочность изгибаемых элементов круглого сечения с неравномерным расположением продольной арматуры в поперечном сечении
Приложение 4. Графики изменения расчетных величин в зависимости от приведенной длины сваи
Приложение 5. Графики изменения расчетных величин в зависимости от диаметра сваи
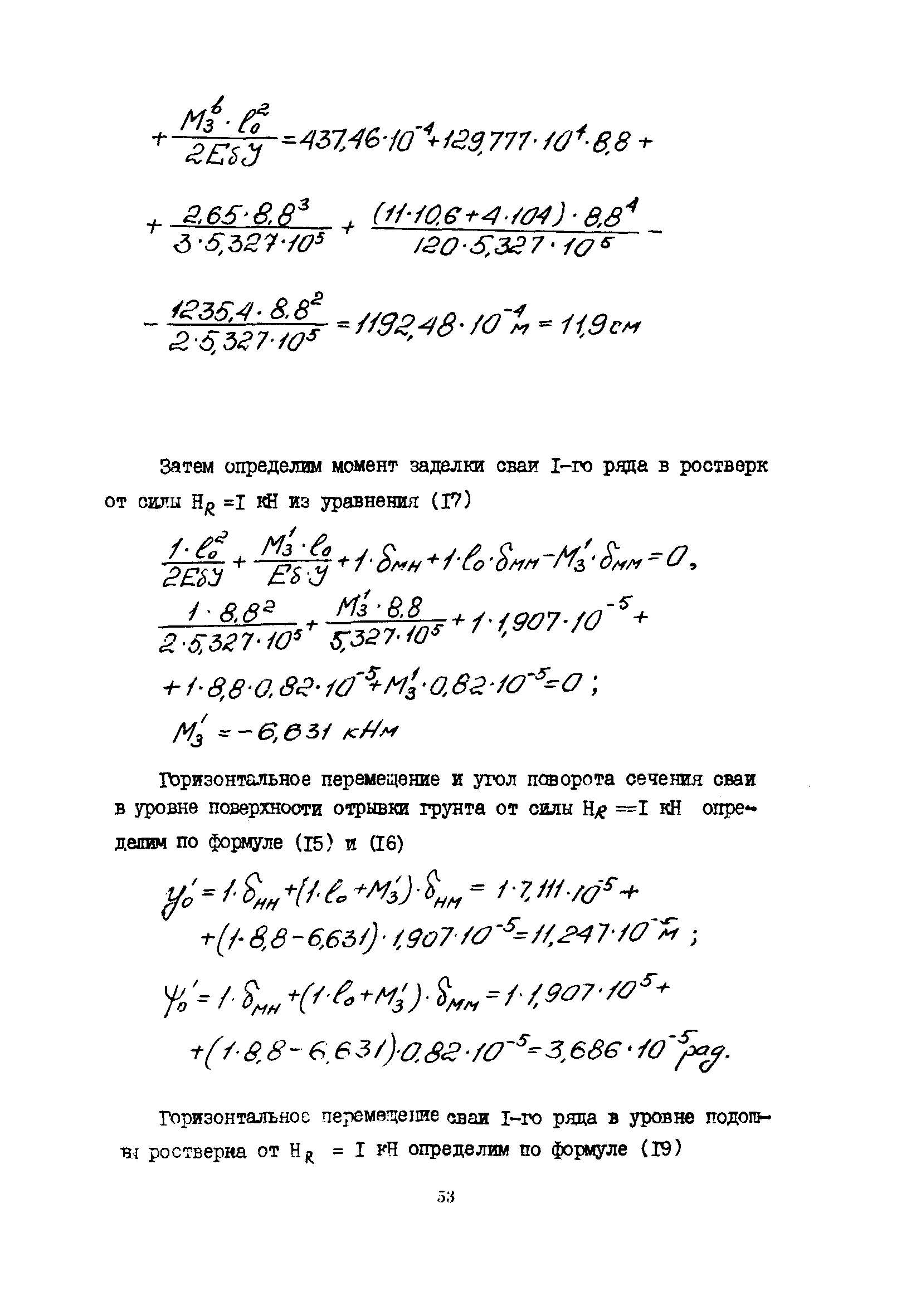
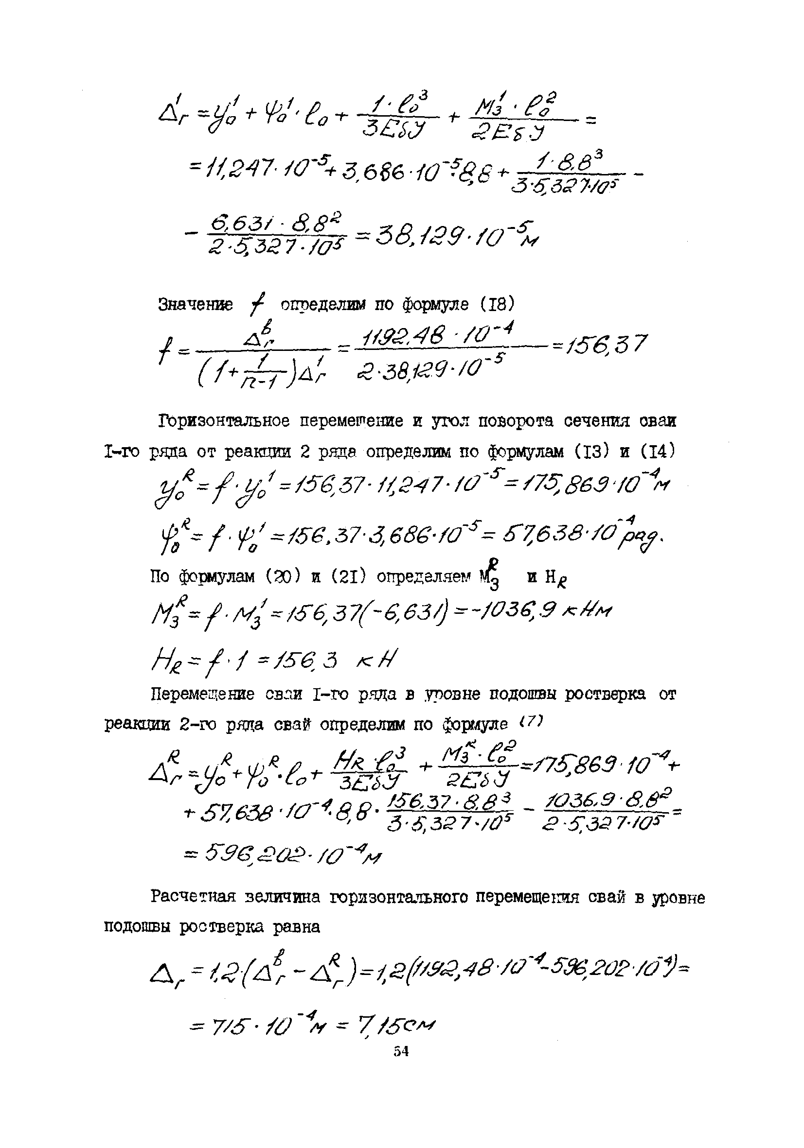
Приложение 6. Пример расчета двухрядной подпорной стены из буронабивных свай
Приложение 7. Графики изменения расчетных величин в зависимости от приведенной длины сваи
Приложение 8. Графики изменения расчетных величин в зависимости от диаметра сваи
Приложение 9. Графики изменения расчетных величин в зависимости от расстояния между рядами свай в осях
Приложение 10. Пример статистической обработки результатов статических испытаний свай на горизонтальную нагрузку и определение коэффициента пропорциональности и допускаемого расчетного давления на грунт боковой поверхностью сваи
Разработан: Киевский отдел ВНИИГС Минмонтажспецстроя СССР
Утверждён:24.02.1984 ВНИИГС (1)