Скачать Пособие Пособие по гидравлическим расчетам малых водопропускных сооруженийДата актуализации: 01.01.2021
|
| Обозначение: | Пособие |
| Обозначение англ: | Handbook |
| Статус: | справочные материалы, мп, тпр |
| Название рус.: | Пособие по гидравлическим расчетам малых водопропускных сооружений |
| Дата добавления в базу: | 01.09.2013 |
| Дата актуализации: | 01.01.2021 |
| Область применения: | В Пособии изложены рекомендации для выполнения гидравлических расчетов малых водопропускных сооружений на железных и автомобильных дорогах: водопропускных труб, малых мостов, фильтрующих и переливных насыпей, водоотводных и сопрягающих сооружений. Даны указания по выбору рациональных типов и отверстий сооружений, приведена методика расчета размывов и назначения укрепления за ними. |
| Оглавление: | Предисловие Условные обозначения 1 Дорожные водопропускные сооружения и принципы их проектирования 2 Основы гидравлических расчетов малых водопропускных сооружений 3 Принципы расчета стока и аккумуляции 4 Сопрягающие сооружения 5 Расчет водопропускных труб 6 Расчет малых мостов 7 Расчеты нижних бьефов сооружений 8 Расчет фильтрующих и переливных насыпей, лотковых сооружений 9 Расчеты канав 10 Расчеты малых искусственных сооружений при проектировании вторых путей, реконструкции дорог и оценке водопропускной способности сооружений 11 Расчет поверхностного водоотвода с покрытий транспортных сооружений Приложения Список литературы |
| Разработан: | ВНИИ транспортного строительства Главное управление проектирования и капитального строительства Минтрансстроя СССР |
| Утверждён: | Министерство транспортного строительства СССР (USSR Ministry of Transport Construction ) |
| Издан: | Транспорт (1992 г. ) |
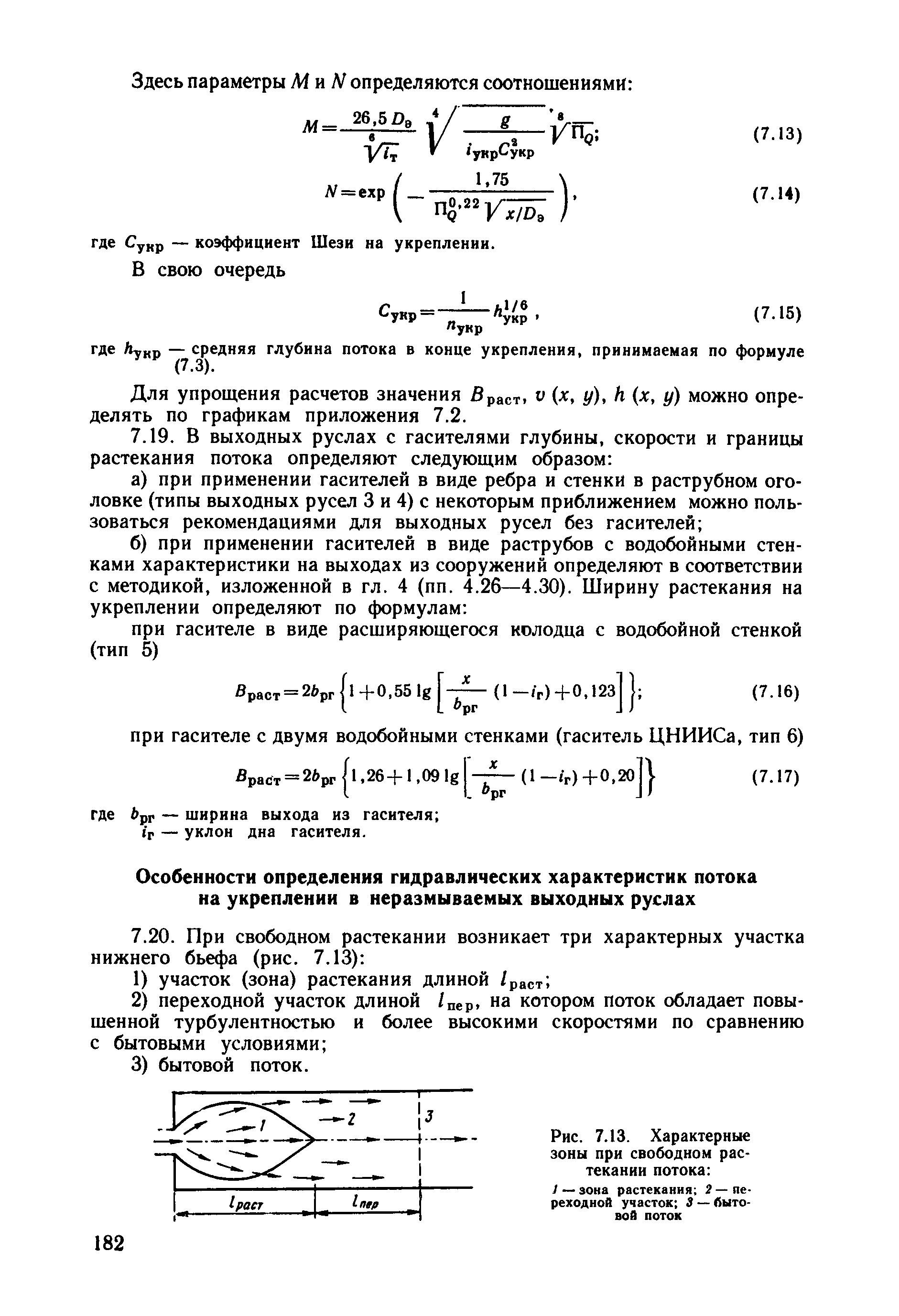
| Нормативные ссылки: |
























































































































































































































































































































































































































