Скачать ГОСТ Р 53803-2010 Катанка медная для электротехнических целей. Технические условия

Дата актуализации: 01.01.2021

ГОСТ Р 53803-2010

Катанка медная для электротехнических целей. Технические условия

Обозначение: ГОСТ Р 53803-2010
Обозначение англ: GOST R 53803-2010
Статус:введен впервые
Название рус.:Катанка медная для электротехнических целей. Технические условия
Название англ.:Copper rod for electrical purposes. Specifications
Дата добавления в базу:01.09.2013
Дата актуализации:01.01.2021
Дата введения:01.02.2011
Область применения:Стандарт распространяется на медную катанку, предназначенную для изготовления проволоки, контактных проводов, шин и других электротехнических изделий. Стандарт устанавливает требования к химическому составу, размерам, техническим характеристикам катанки и методы испытаний.
Оглавление:1 Область применения
2 Нормативные ссылки
3 Термины и определения
4 Основные параметры и размеры
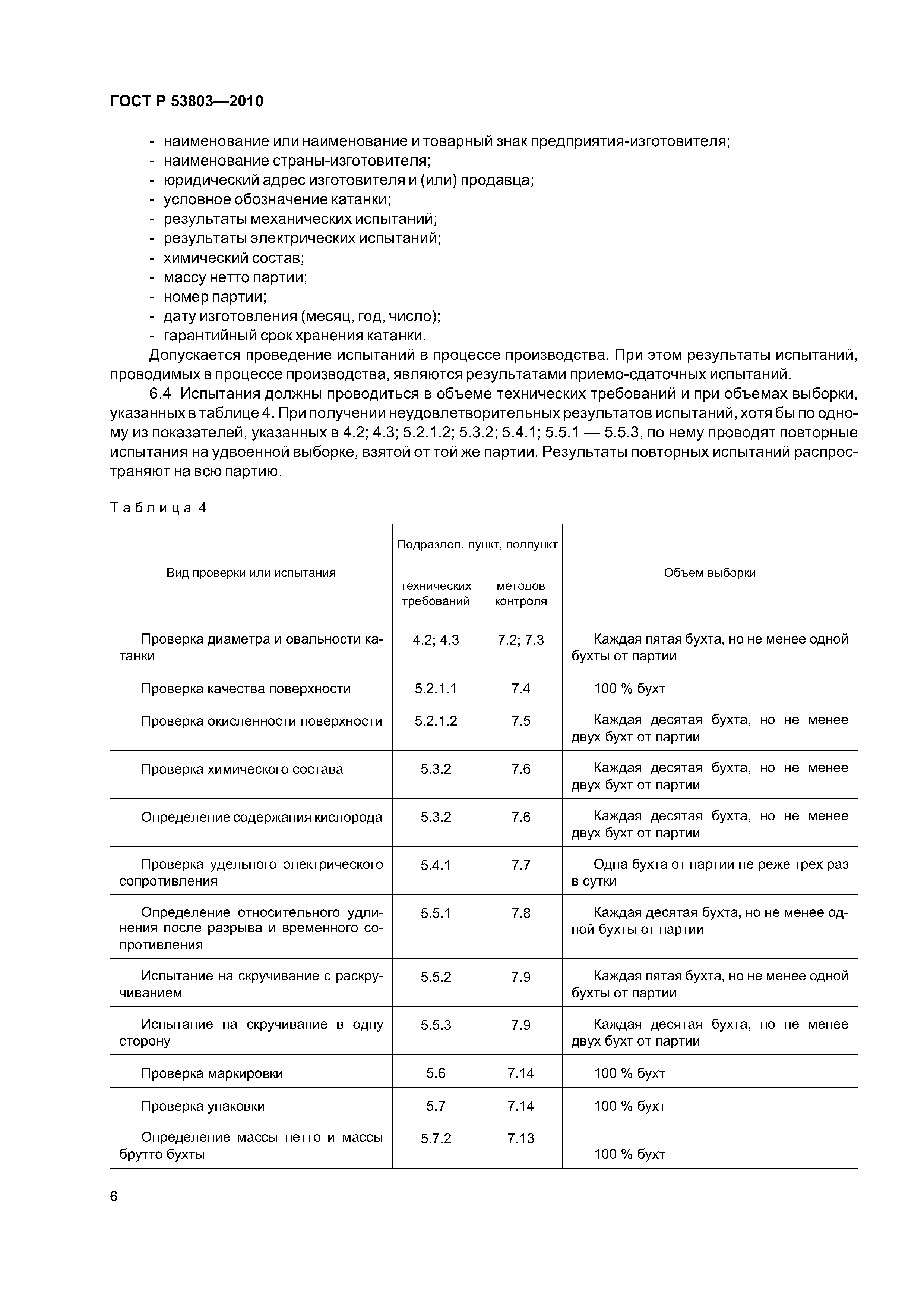
5 Технические требования
6 Правила приемки
7 Методы контроля
8 Транспортирование и хранение
9 Гарантии изготовителя
Приложение А (обязательное) Определение окисленности поверхности катанки весовым методом
Приложение Б (обязательное) Определение окисленности поверхности катанки электрохимическим методом
Библиография
Разработан: ОАО ВНИИКП
Утверждён:06.07.2010 Федеральное агентство по техническому регулированию и метрологии (131-ст)
Издан: Стандартинформ (2010 г. )
Стандартинформ (2012 г. )
Нормативные ссылки:
ГОСТ Р 53803-2010ГОСТ Р 53803-2010ГОСТ Р 53803-2010ГОСТ Р 53803-2010ГОСТ Р 53803-2010ГОСТ Р 53803-2010ГОСТ Р 53803-2010ГОСТ Р 53803-2010ГОСТ Р 53803-2010ГОСТ Р 53803-2010ГОСТ Р 53803-2010ГОСТ Р 53803-2010