Скачать Инструкция по расчету перекрытий на импульсивные нагрузки

Дата актуализации: 01.01.2021

Инструкция по расчету перекрытий на импульсивные нагрузки

Статус:действует
Название рус.:Инструкция по расчету перекрытий на импульсивные нагрузки
Дата добавления в базу:01.09.2013
Дата актуализации:01.01.2021
Область применения:Инструкция содержит методы расчета и проектирования междуэтажных перекрытий зданий, подверженных воздействию эксплуатационных динамических нагрузок импульсивного характера и предусматривает правила расчета на прочность и деформативность несущих элементов перекрытий, находящихся под действием кроме статических нагрузок также однократных и периодических импульсов или ударов массивных тел.
Оглавление:1. Общие указания
   Состав задания на проектирование
   Указания по проектированию
   Основные расчетные положения
2. Импульсные нагрузки
3. Частоты собственных колебаний
4. Наибольшие перемещения и внутренние усилия при действии импульсивных нагрузок
5. Способы уменьшения колебаний, возникающих в конструкциях под действием импульсивных нагрузок
   Увеличение массы конструкции
   Увеличение жесткости конструкции
   Одновременное увеличение массы и жесткости конструкции
   Изменение мест приложения импульсов или ударов на перекрытия
   Виброизоляция установок с импульсивными нагрузками
Приложение 1. Определение частот собственных колебаний
Приложение 2. Определение наибольших перемещений и внутренних усилий, вызванных действием однократных импульсов
Приложение 3. Определение наибольших переменных перемещений и внутренних усилий при однократных ударах тел
Приложение 4. Определение наибольших перемещений и внутренних усилий, вызванных действием периодических импульсов и ударов
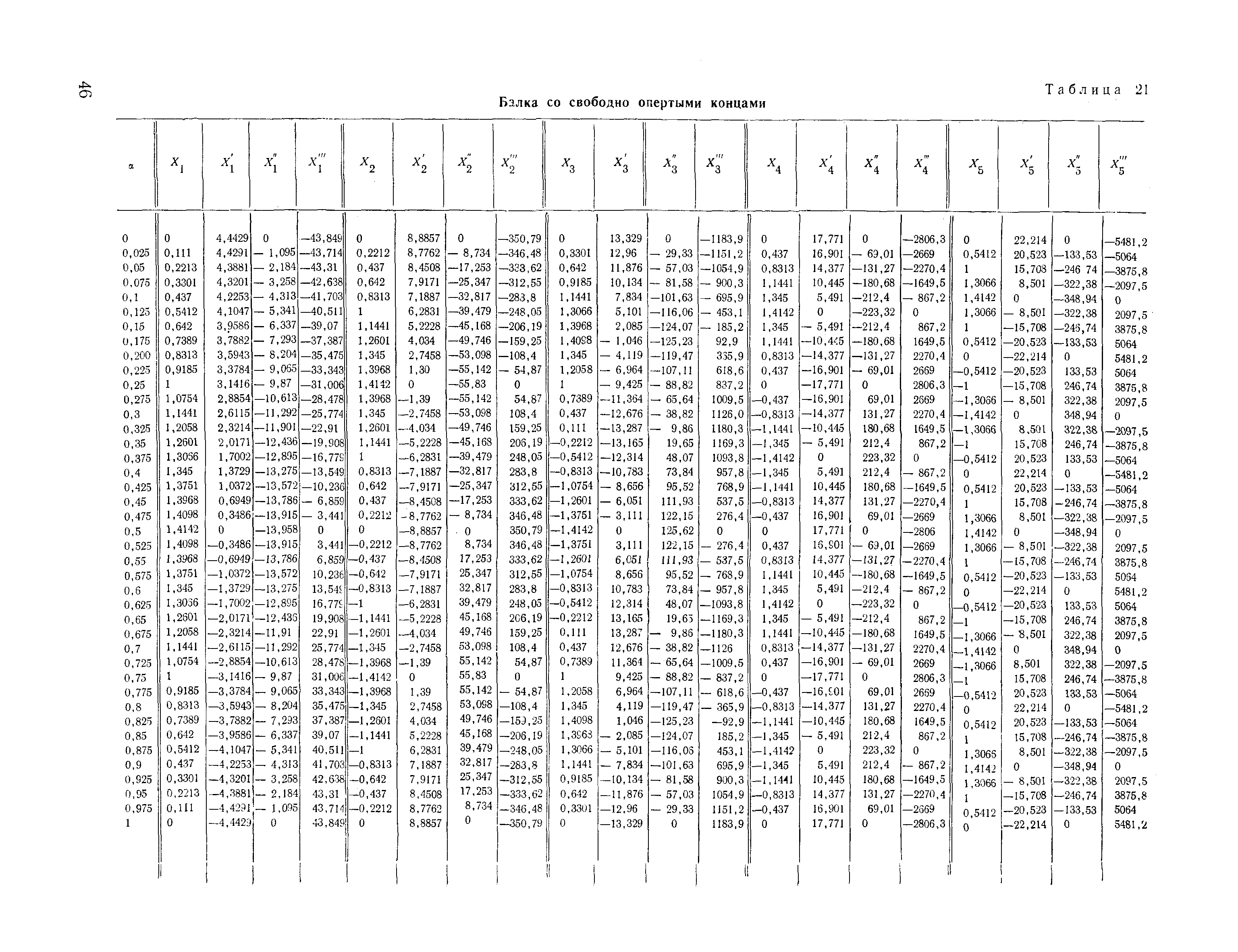
Приложение 5. Таблицы балочных функций и их производных
Приложение 6. Таблицы функций Фz и Фм для определения наибольших перемещений Zо и изгибающих моментов Мо, возникающих в железобетонных балках и плитах при действии на них мгновенных импульсов
Приложение 7. Примеры расчета
Приложение 8. Пояснения к основным параграфам инструкции
Разработан: ЦНИИСК им. В.А. Кучеренко
Издан: Стройиздат (1966 г. )
Нормативные ссылки: