Скачать РД 39-0147103-311-86 Методика определения количества конденсата, выпадающего в газопроводеДата актуализации: 01.01.2021
|
| Обозначение: | РД 39-0147103-311-86 |
| Обозначение англ: | RD 39-0147103-311-86 |
| Статус: | не действует |
| Название рус.: | Методика определения количества конденсата, выпадающего в газопроводе |
| Дата добавления в базу: | 01.09.2013 |
| Дата актуализации: | 01.01.2021 |
| Дата введения: | 01.03.1986 |
| Дата окончания срока действия: | 01.03.1989 |
| Область применения: | Методика предназначена для определения количества конденсата, образующегося из газа, транспортируемого по промысловым газопроводам, и, соответственно, определения уменьшения количества транспортируемого газа в результате частичной конденсации, когда непосредственное инструментальное измерение не осуществимо. |
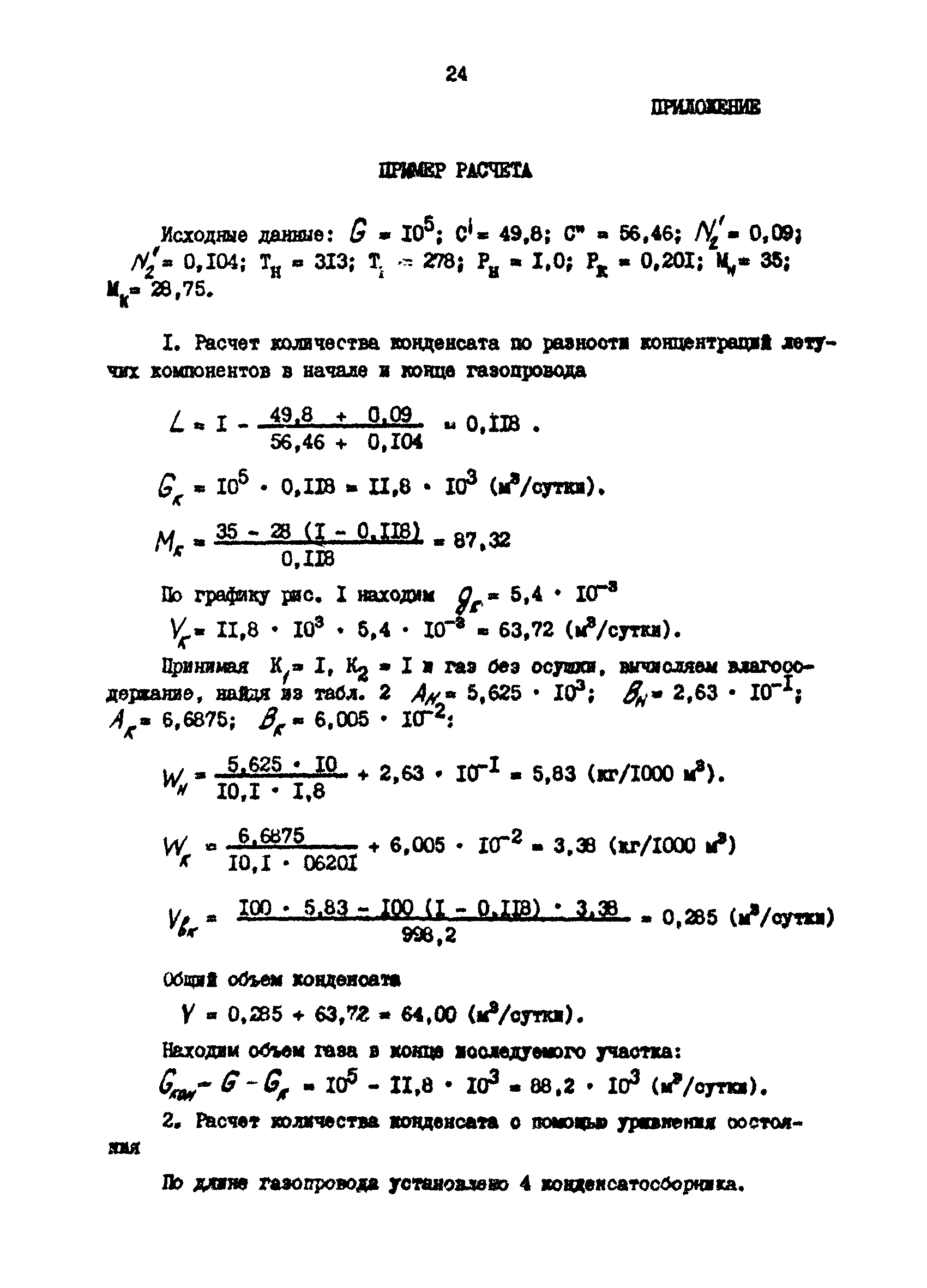
| Оглавление: | 1 Общие положения 2 Определение объема конденсата, выпадающего в газопроводе 3 Расчет молярной доли конденсата с помощью уравнения состояния газовой смеси 4 Определение погрешности вычислений Литература Приложение. Пример расчета |
| Разработан: | ВНИИСПТнефть |
| Утверждён: | 25.12.1985 Министерство нефтяной промышленности СССР (USSR Ministry of the Petroleum Industry ) |
| Нормативные ссылки: |






































