Скачать ГОСТ Р ИСО/ТС 10303-1002-2010 Системы автоматизации производства и их интеграция. Представление данных об изделии и обмен этими данными. Часть 1002. Прикладной модуль. ЦветДата актуализации: 01.01.2021
|
| Обозначение: | ГОСТ Р ИСО/ТС 10303-1002-2010 |
| Обозначение англ: | GOST R ISO/TS 10303-1002-2010 |
| Статус: | введен впервые |
| Название рус.: | Системы автоматизации производства и их интеграция. Представление данных об изделии и обмен этими данными. Часть 1002. Прикладной модуль. Цвет |
| Название англ.: | Industrial automation systems and integration. Product data representation and exchange. Part 1002. Application module. Colour |
| Дата добавления в базу: | 01.09.2013 |
| Дата актуализации: | 01.01.2021 |
| Дата введения: | 01.08.2011 |
| Область применения: | Стандарт определяет прикладной модуль «Цвет». Требования стандарта распространяются на определение информации о цвете. Требования стандарта не распространяются на: - спецификацию семантики, связанной с использованием цветов; - применение настоящего стандарта совместно с ИСО 10303-517 из-за частичного совпадения областей применения и конфликтов имен для объекта интерпретированной модели draughting pre defined colour. |
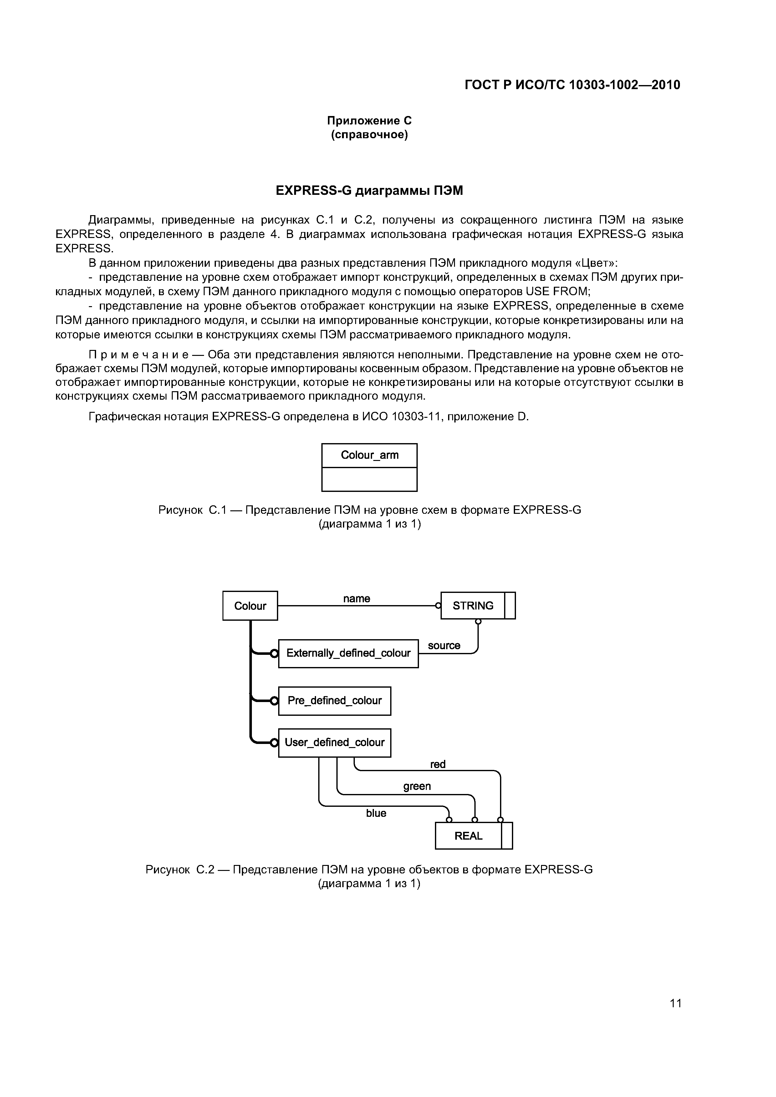
| Оглавление: | 1 Область применения 2 Нормативные ссылки 3 Термины 3.1 Термины, определенные в ИСО 10303-1 3.2 Термин, определенный в ИСО 10303-202 3.3 Термины, определенные в ИСО/ТС 10303-1001 3.4 Термин, определенный в ИСО/ТС 10303-1017 4 Информационные требования 4.1 Определение объектов ПЭМ 4.1.1 Объект Colour 4.1.2 Объект Externally_defined_colour 4.1.3 Объект Pre_defined_colour 4.1.4 Объект User_defined_colour 5 Интерпретированная модель модуля 5.1 Спецификация отображения 5.1.1 Объект Colour 5.1.2 Объект Externally_defined_colour 5.1.3 Объект Pre_defined_colour 5.1.4 Объект User_defined_colour 5.2 Сокращенный листинг ИММ на языке EXPRESS 5.2.1 Определение типа данных ИММ Приложение А (обязательное) Сокращенное наименование объекта ИММ Приложение В (обязательное) Регистрация информационных объектов Приложение С (справочное) EXPRESS-G диаграммы ПЭМ Приложение D (справочное) EXPRESS-G диаграммы ИММ Приложение Е (справочное) Машинно-интерпретируемые листинги Приложение ДА (справочное) Сведения о соответствии ссылочных международных стандартов ссылочным национальным стандартам Российской Федерации Библиография |
| Разработан: | ГНУ Центральный научно-исследовательский и опытно-конструкторский институт роботехники и технической кибернетики |
| Утверждён: | 26.10.2010 Федеральное агентство по техническому регулированию и метрологии (315-ст) |
| Издан: | Стандартинформ (2011 г. ) |
| Нормативные ссылки: |
|



















