Скачать Рекомендации по созданию оптимального акустического режима в учебных помещениях

Дата актуализации: 01.01.2021

Рекомендации по созданию оптимального акустического режима в учебных помещениях

Статус:действует
Название рус.:Рекомендации по созданию оптимального акустического режима в учебных помещениях
Дата добавления в базу:01.09.2013
Дата актуализации:01.01.2021
Область применения:В документе приведены правила и приемы акустического проектирования учебных зданий, даны конструктивные предложения по обеспечению оптимального акустического режима (отличной разборчивости речи) в учебных помещениях различного назначения, рекомендации по оптимальному времени реверберации и обеспечению оптимального шумового режима в учебных помещениях. Для архитекторов, проектировщиков, инженеров-акустиков.
Оглавление:Предисловие
1. Общие положения
   Назначение и область применения
   Нормы допустимых уровней шума
   Снижение шума санитарно-технического и инженерного оборудования учебных зданий
   Размещение учебных зданий на жилой территории .
2. Основные требования по акустическому благоустройству учебных зданий
   Акустические требования к воздушному объему учебного помещения, его форме и очертаниям внутренних поверхностей
   Время реверберации учебных помещений
   Звукопоглощающая отделка аудиторий и звукопоглощение слушателей
   Разборчивость речи
   Требования к звукоизоляции ограждающих конструкций
   Требования к учебным помещениям со свободной планировкой
3. Требования к учебным помещениям с техническими средствами обучения (ТСО)
   Основные требования по выбору мощности, подбору и размещению электроакустической аппаратуры в учебных помещениях
   Основные параметры звуковой аппаратуры, рекомендуемой к применению в учебных помещениях
   Акустическая частотная характеристика учебного помещения
Приложение 1. Некоторые акустические понятия и величины
Приложение 2. Условия допустимости применения геометрических (лучевых) отражений и их построение
   1. Условия допустимости применения геометрических (лучевых) отражений
   2. Построение геометрических отражений
   3. Участки внутренних поверхностей зала, пригодные для размещения звукопоглощающих материалов и для сильного расчленения
Приложение 3. Акустический расчет учебных помещений
Приложение 4. Коэффициенты звукопоглощения материалов и конструкций (табл. 1) и эквивалентная площадь звукопоглощения слушателей и кресел (табл. 2)
Приложение 5. Методика расчета поправок при определении индексов изоляции воздушного шума ограждающей конструкцией и приведенного уровня ударного шума под перекрытием
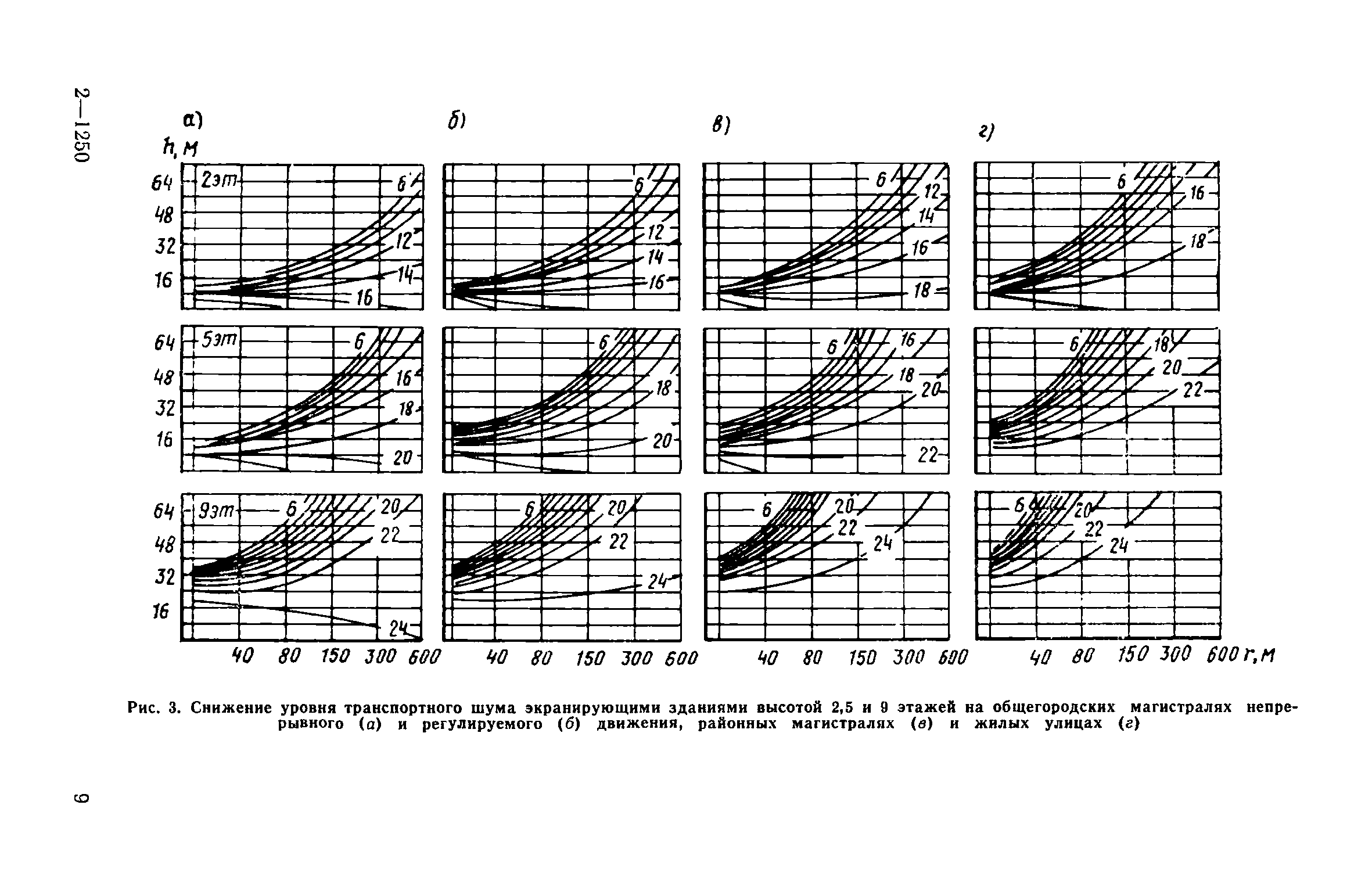
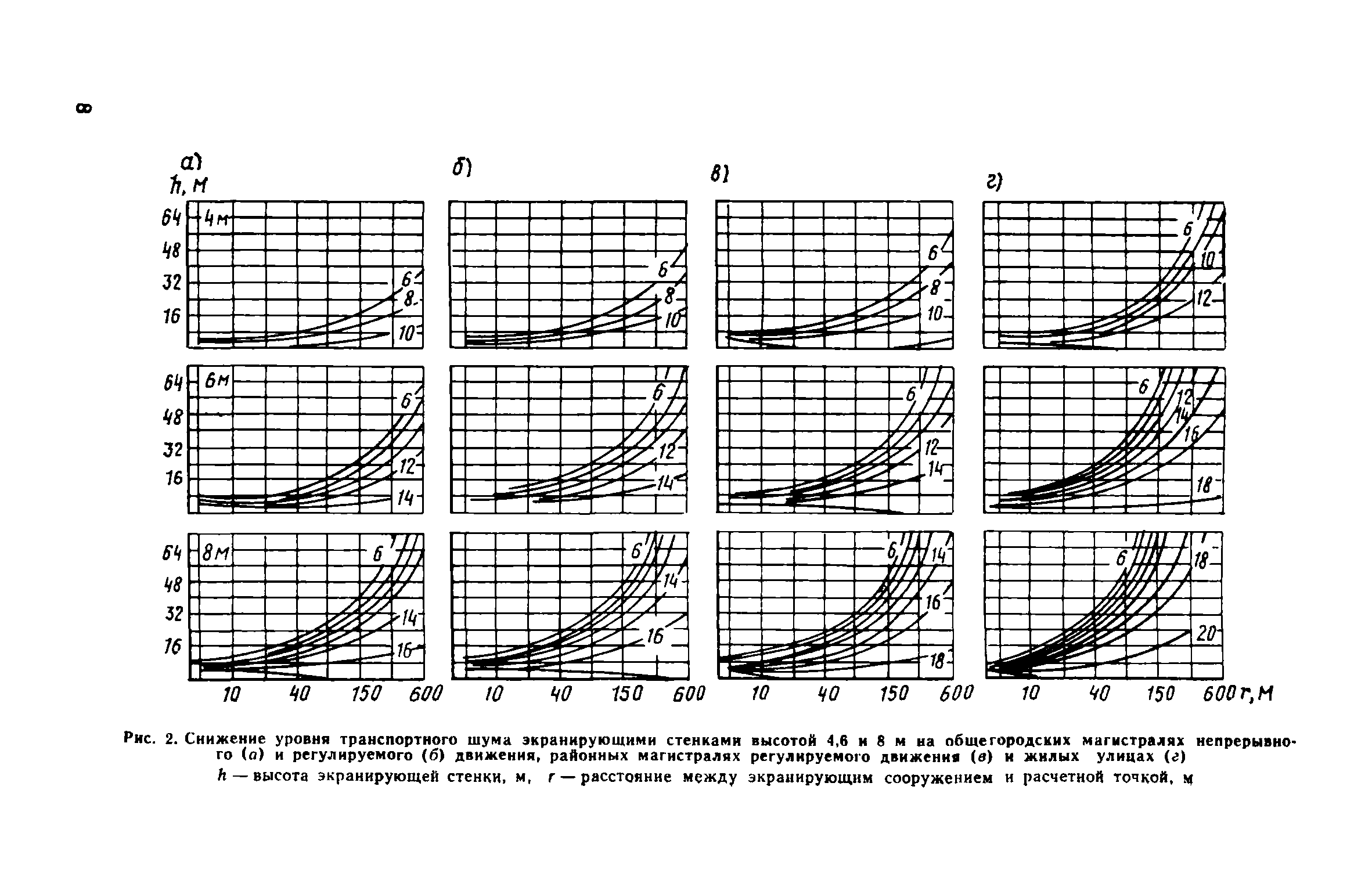
Приложение 6. Расчет эффективности сооружений, экранирующих шум
Литература
Разработан: ЦНИИЭП учебных зданий Госгражданстроя
Утверждён: ЦНИИЭП учебных зданий (TsNIIEP of Educational Buildings )
Издан: Стройиздат (1983 г. )
Нормативные ссылки: