Скачать ВСН 34/XVII-78 Технические указания по производству и приемке работ при возведении морских и речных портовых сооружений. Глава XVII. Ограждение котлованов и водоотливДата актуализации: 01.01.2021
|
| Обозначение: | ВСН 34/XVII-78 |
| Обозначение англ: | VSN 34/XVII-78 |
| Статус: | действует |
| Название рус.: | Технические указания по производству и приемке работ при возведении морских и речных портовых сооружений. Глава XVII. Ограждение котлованов и водоотлив |
| Дата добавления в базу: | 01.09.2013 |
| Дата актуализации: | 01.01.2021 |
| Дата введения: | 01.12.1978 |
| Область применения: | Требования документа распространяются на выполнение следующих видов работ: ограждение котлованов портовых гидротехнических сооружений; открытый водоотливов и искусственное понижения уровня грунтовых вод.. |
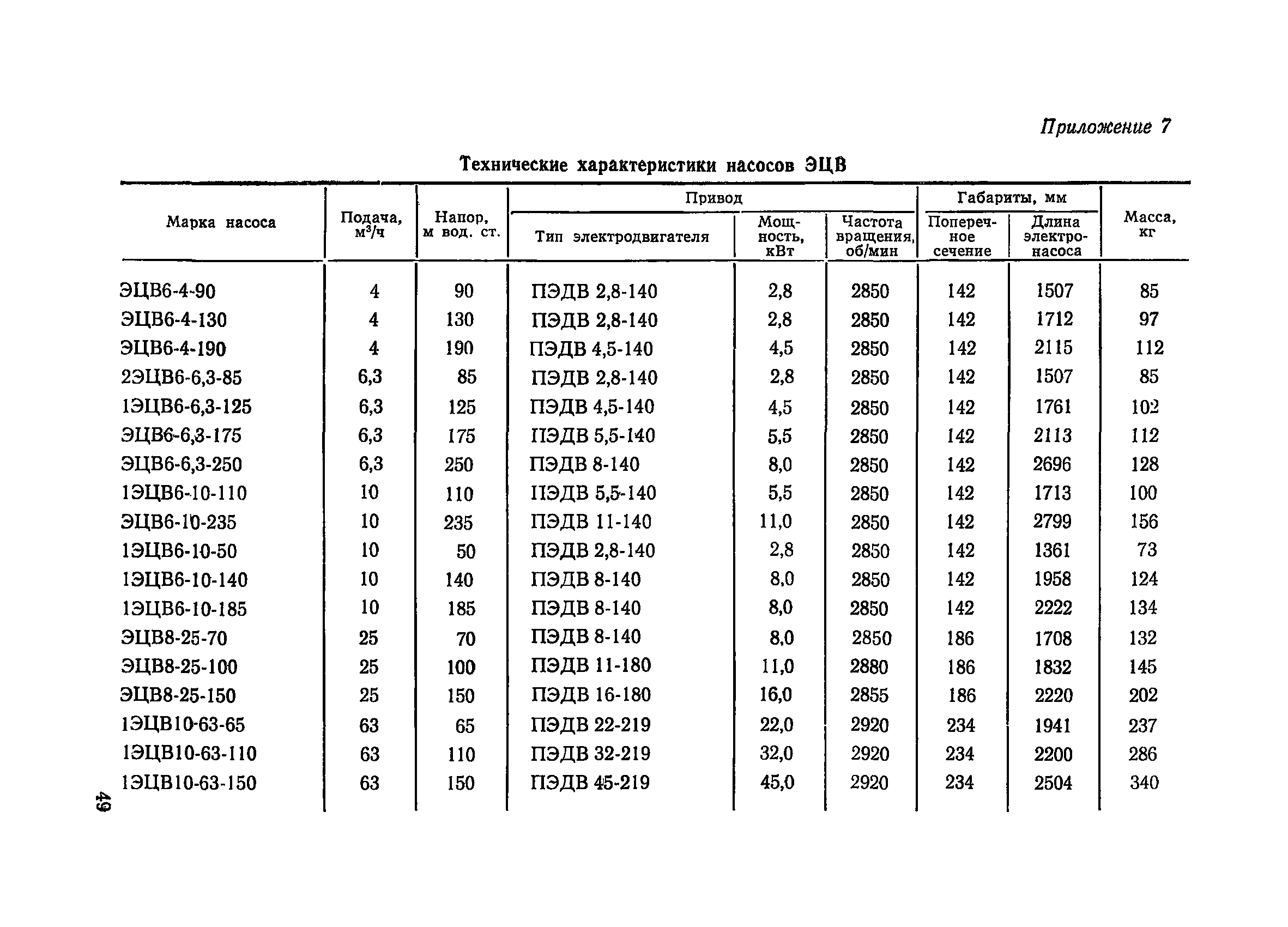
| Оглавление: | Предисловие 1. Общие положения 2. Ограждение котлованов перемычками 3. Открытый водоотлив 4. Искусственное понижение уровня грунтовых вод 5. Техника безопасности Приложение 1. Уплотнение грунта различными машинами Приложение 2. Области применения типов водопонизительных установок Приложение 3. Гидрогеологические расчеты притока воды в котлованы Приложение 4. Расчет установки для искусственного понижения грунтовых вод Приложение 5. Техническая характеристика насосов типа АПВ Приложение 6. Техническая характеристика насосов типа АТН Приложение 7. Техническая характеристика насосов ЭЦВ Приложение 8. Характеристика водопонизительных установок с легкими иглофильтрами Приложение 9. Характеристика эжекторного иглофильтра ЭИ-2,5 Приложение 10. Журнал работы водопонизительных скважин, оборудованных отдельными насосами Приложение 11. Журнал погружения иглофильтров Приложение 12. Журнал работы установок из легких иглофильтров и водопонизительных скважин, оборудованных общим всасывающим коллектором |
| Разработан: | ЦНИИС Минтрансстроя СССР Главморречстрой Минтрансстроя СССР |
| Утверждён: | 30.04.1972 Министерство монтажных и специальных строительных работ СССР (USSR Ministry of Industrial Installations and Military Construction ) Министерство судостроительной промышленности СССР (USSR Ministry of the Shipbuilding Industry ) Министерство рыбного хозяйства СССР (USSR Ministry of Fisheries ) Министерство морского флота СССР (USSR Ministry of the Merchant Marine ) Министерство транспортного строительства СССР (USSR Ministry of Transport Construction ) 26.05.1972 Министерство речного флота РСФСР |
| Издан: | Оргтрансстрой (1978 г. ) |
| Список изменений: | |
| Заменяет собой: | |
| Нормативные ссылки: |


























































Текстовое изменение опечатки