Скачать Руководство по электротермообработке бетонаДата актуализации: 01.01.2021 |
| Статус: | действует |
| Название рус.: | Руководство по электротермообработке бетона |
| Дата добавления в базу: | 01.09.2013 |
| Дата актуализации: | 01.01.2021 |
| Область применения: | Руководство содержит основные положения расчета и рационального использования различных способов электротермообработки бетона в монолитных и сборных бетонных и железобетонных изделиях и конструкциях, а также вспомогательный материал по методике определения параметров, необходимых для расчетов и практического применения их. |
| Оглавление: | Предисловие 1. Общие положения 2. Требования к материалам для бетона, подвергаемого электротермообработке 3. Режимы электротермообработки и требуемая мощность 4. Электродный прогрев бетона 5. Индукционный нагрев 6. Контактный электропрогрев 7. Обогрев инфракрасными лучами 8. Предварительный электроразогрев бетонных смесей 9. Электротермообработка бетона при замоноличивании стыков 10. Электрооборудование 11. Контроль качества 12. Техника безопасности Приложение 1. Расчет продолжительности остывания бетона в конструкции Приложение 2. Методика определения удельного сопротивления бетона в строительной лаборатории Приложение 3. Расчет параметров электродного прогрева Приложение 4. Примеры расчета параметров индукционного прогрева Приложение 5. Степень черноты излучения некоторых материалов, наиболее часто применяемых в строительстве Приложение 6. Примеры расчета инфракрасного нагрева бетона Приложение 7. Расчет необходимой мощности параметров бункера и оборудования для предварительного разогрева электрическим током бетонных смесей Приложение 8. Установка для электропрогрева с тремя однофазными трансформаторами ТБ-20 (УПБ-60) Приложение 9. Аппараты ручного управления Приложение 10. Аппараты автоматического управления Приложение 11. Аппараты защиты Приложение 12. Допускаемые длительные токовые нагрузки на провода Приложение 13. Поправочные коэффициенты к длительным нагрузкам на провода в зависимости от температуры окружающей среды Приложение 14. Журнал контроля температуры бетона Приложение 15. Журнал контроля температуры бетона, укладываемого в разогретом состоянии Приложение 16. Журнал контроля прочности бетона Приложение 17. Журнал контроля прочности бетона, укладываемого в разогретом состоянии |
| Разработан: | МИСИ им. В.В. Куйбышева Минвуза СССР ВНИПИтеплопроект Минмонтажспецстроя СССР НИИЖБ Московский архитектурный институт НИИМосстрой Департамента строительства ЦНИИОМТП Белорусский политехнический институт ВНИИСТ ЦНИИЭП жилища ИТМО Южгипрониисельстрой НИСИ им. В.В. Куйбышева Кузнецкметаллургстрой |
| Утверждён: | 07.06.1974 НИИЖБ Госстроя СССР (NIIZhB, USSR Gosstroy ) |
| Издан: | Стройиздат (1974 г. ) |
| Заменяет собой: |
|
| Нормативные ссылки: |
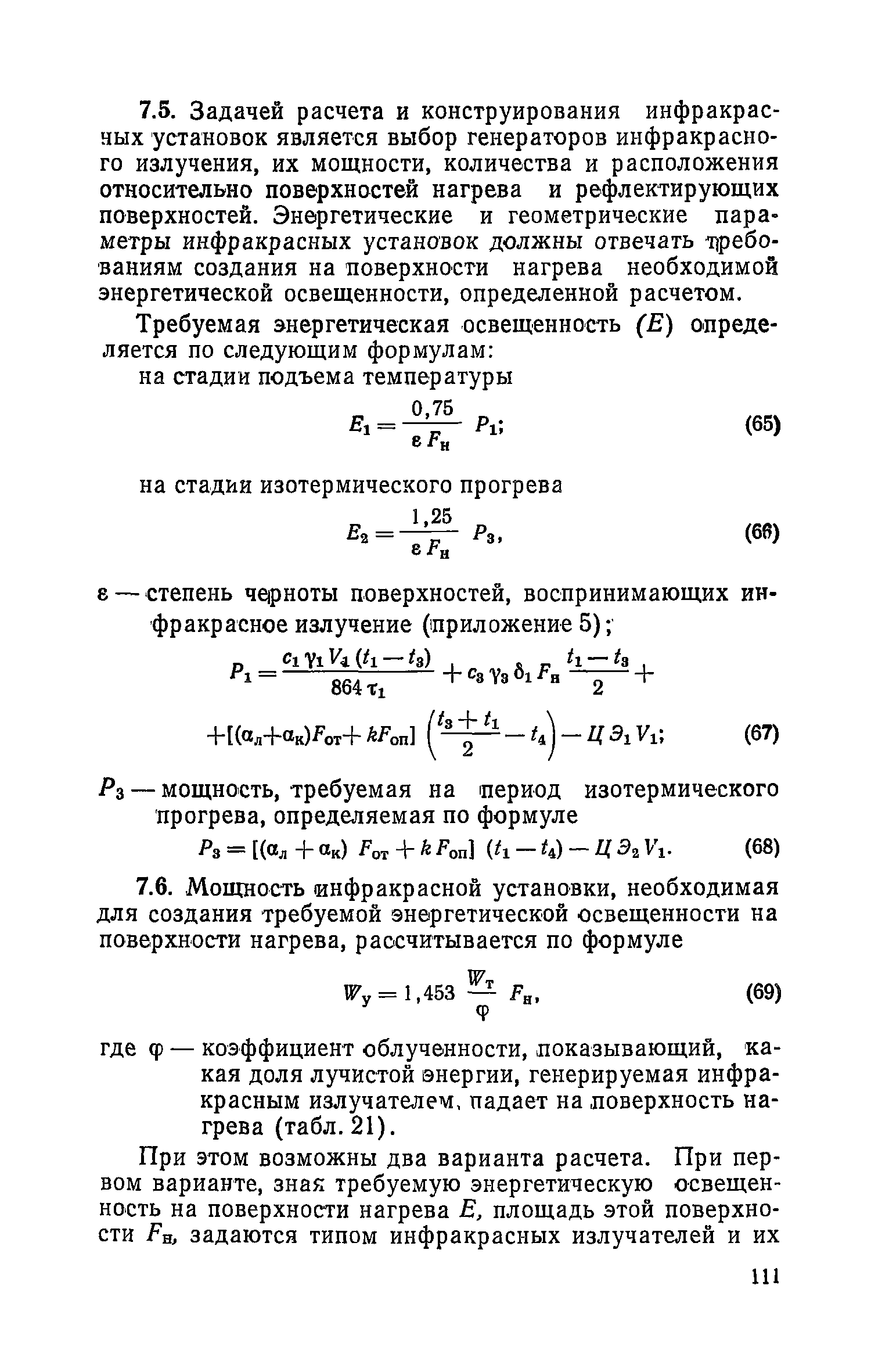
|
































































































































































































































































