Скачать РД 39-3-1034-84 Методическое руководство по вопросам проектирования и эксплуатации однотрубных систем сбораДата актуализации: 01.01.2021
|
| Обозначение: | РД 39-3-1034-84 |
| Обозначение англ: | RD 39-3-1034-84 |
| Статус: | не действует |
| Название рус.: | Методическое руководство по вопросам проектирования и эксплуатации однотрубных систем сбора |
| Дата добавления в базу: | 01.09.2013 |
| Дата актуализации: | 01.01.2021 |
| Дата введения: | 01.07.1984 |
| Дата окончания срока действия: | 01.07.1990 |
| Область применения: | Руководство предназначено для инженерно-технических работников, занимающихся проектированием, обустройством и эксплуатацией однотрубных систем сбора нефти, газа на нефтяных месторождениях. |
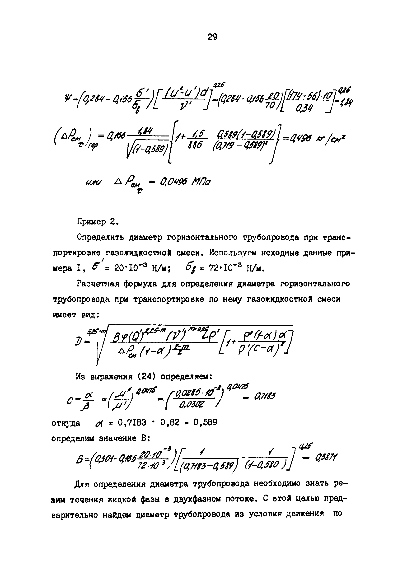
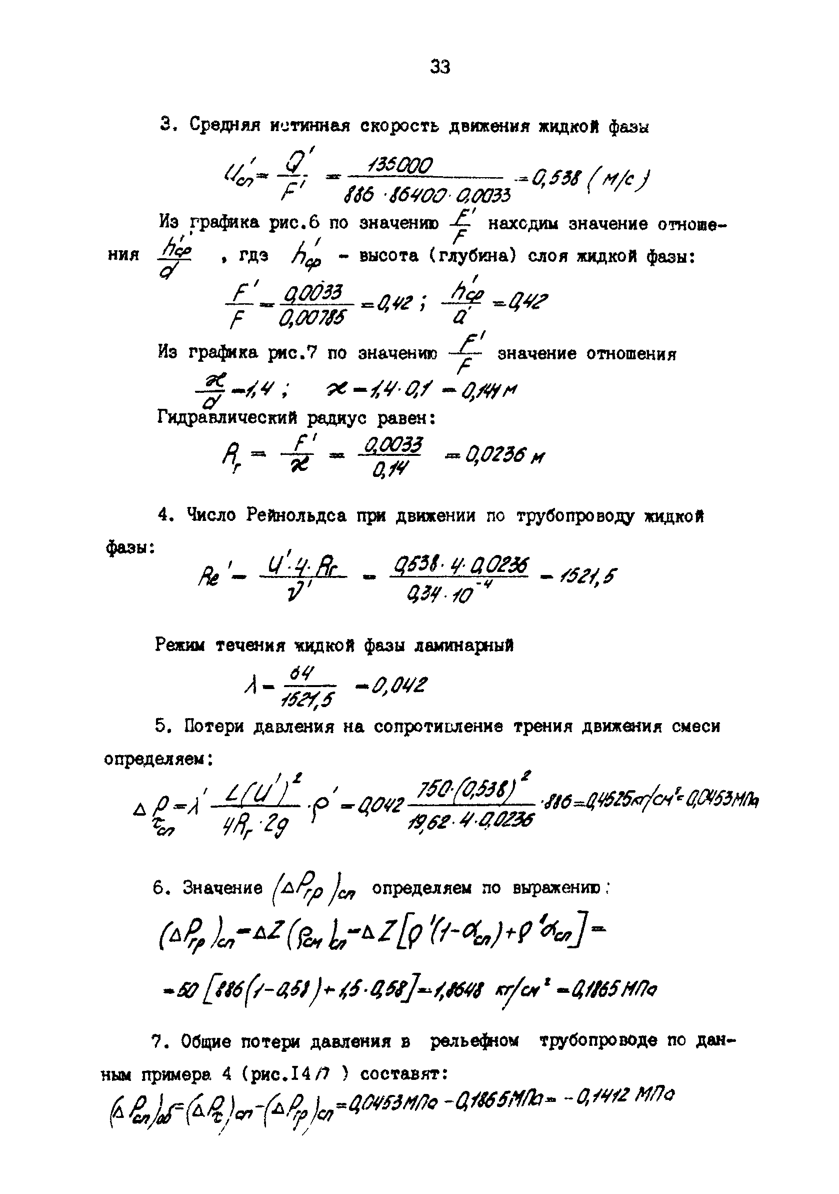
| Оглавление: | 1 Общие положения 2 Взаимосвязь между параметрами в двухфазных газожидкостных потоках 3 Выбор режима технологии однотрубного сбора продукции скважин 4 Гидравлический расчет трубопроводов, транспортирующих газожидкостные смеси 5 Примеры расчета 6 Выбор оптимальных условий эксплуатации нефтегазопроводов Приложение. Краткая характеристика профиля трасс пролегания трубопроводов и основные формулы для гидравлического расчета |
| Разработан: | ВНИИСПТнефть |
| Утверждён: | 03.02.1984 Министерство нефтяной промышленности СССР (USSR Ministry of the Petroleum Industry ) |












































