Скачать ГОСТ Р ИСО/МЭК 11179-1-2010 Информационная технология. Регистры метаданных (РМД). Часть 1. Основные положенияДата актуализации: 01.01.2021
|
| Обозначение: | ГОСТ Р ИСО/МЭК 11179-1-2010 |
| Обозначение англ: | GOST R ISO/IEC 11179-1-2010 |
| Статус: | введен впервые |
| Название рус.: | Информационная технология. Регистры метаданных (РМД). Часть 1. Основные положения |
| Название англ.: | Information technology. Metadata registries (MDR). Part 1. Framework |
| Дата добавления в базу: | 01.09.2013 |
| Дата актуализации: | 01.01.2021 |
| Дата введения: | 01.06.2012 |
| Область применения: | Стандарты серии ГОСТ Р ИСО/МЭК 11179 определяют виды и качество метаданных, необходимых для описания данных, и специфицируют управление и администрирование этих метаданных в регистре метаданных (РМД). Эти стандарты применяют при формулировке представлений данных, понятий, смысла и взаимосвязей между ними для совместного использования людьми и машинами независимо от организации создания данных. Эти стандарты не применяют для физического представления данных в виде битов или байтов на машинном уровне. В стандартах серии ГОСТ Р ИСО/МЭК 11179 метаданные означают описания данных. Эти стандарты не содержат общей трактовки метаданных. Настоящая часть ГОСТ Р ИСО/МЭК 11179 обеспечивает понимание места отдельных частей стандартов данной серии и их взаимосвязей, а также является основой для концептуального понимания метаданных и регистров метаданных. |
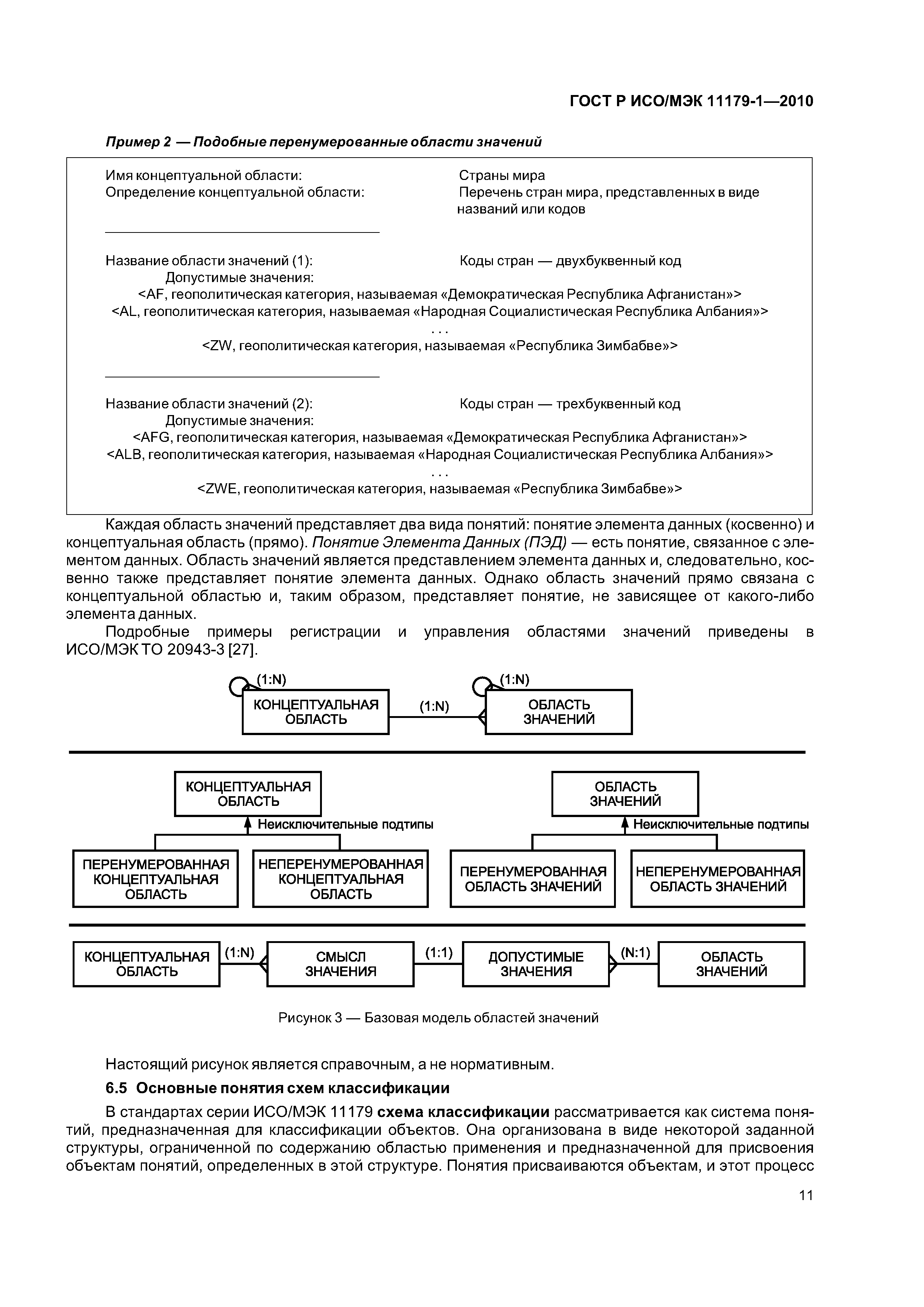
| Оглавление: | 1 Область применения 2 Нормативные ссылки 3 Термины и определения 3.1 Определения моделирующих конструкций 3.2 Общие термины, использованные в настоящем стандарте 3.3 Перечень терминов, используемых в метамодели 3.4 Специфические термины, использованные в настоящем стандарте 4 Обозначения и сокращения 5 Теория терминологии 6 Метаданные 6.1 Понятия 6.2 Базовая модель элементов данных 6.3 Элементы данных в управлении и обмене данными 6.4 Базовая модель областей значений 6.5 Основные понятия схем классификации 7 Регистры метаданных 7.1 Общие положения 7.2 Обзор модели регистра метаданных ИСО/МЭК 11179 7.3 Основные понятия регистрации 8 Обзор стандартов серии ИСО/МЭК 11179 8.1 Введение 8.2 Основные принципы применения стандартов серии ИСО/МЭК 11179 9 Соответствие Приложение ДА (справочное) Сведения о соответствии ссылочных международных стандартов ссылочным национальным стандартам Российской Федерации Библиография |
| Разработан: | ФГУП ГосНИИ ТЕСТ |
| Утверждён: | 23.11.2010 Федеральное агентство по техническому регулированию и метрологии (495-ст) |
| Издан: | Стандартинформ (2012 г. ) |






















