Скачать Рекомендации по оценке состояния железобетонных конструкций при эксплуатации в агрессивных средах

Дата актуализации: 01.01.2021

Рекомендации по оценке состояния железобетонных конструкций при эксплуатации в агрессивных средах

Статус:не действует
Название рус.:Рекомендации по оценке состояния железобетонных конструкций при эксплуатации в агрессивных средах
Дата добавления в базу:01.09.2013
Дата актуализации:01.01.2021
Область применения:Рекомендации содержат методические указания по проведению обследования железобетонных конструкций при эксплуатации в агрессивных средах, по оценке коррозионных повреждений в момент обследования конструкций и прогнозированию их эксплуатационной надежности на более отдаленные сроки. Рекомендации позволят унифицировать приемы проведения обследований и подходы к расчетным оценкам, получить большее количество сопоставимых данных по материалам обследований и выработать единую систему критериев по диагностике состояния железобетонных конструкций.
Оглавление:Предисловие
1. Общие положения
2. Натурное обследование
3. Лабораторные исследования
4. Оценка состояния железобетонных конструкций
Приложение 1. Методы определения содержания в бетоне предполагаемых компонентов
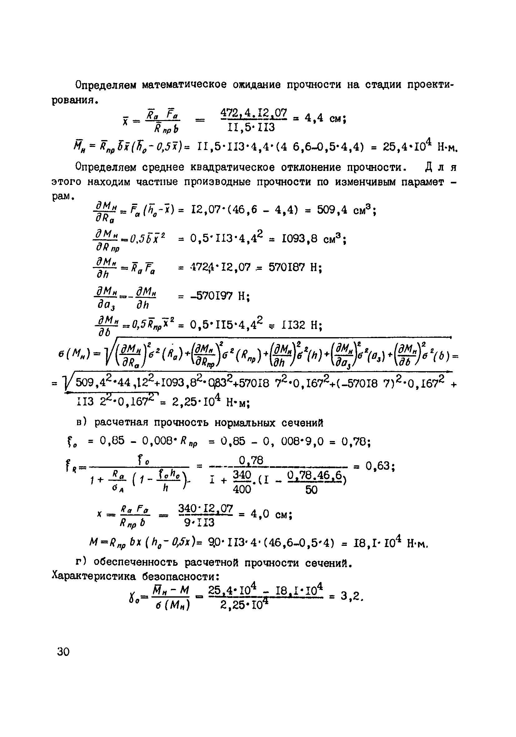
Приложение 2. Расчет эксплуатационной надежности по прочности нормальных сечений изгибаемых элементов
Разработан: НИИЖБ Госстроя СССР
НИИпромстроя Минпромстроя СССР
Харьковский Промстройниипроект
Иркутский политехнический институт
Утверждён: НИИЖБ Госстроя СССР (NIIZhB, USSR Gosstroy )
Нормативные ссылки: