Скачать ГОСТ Р 54430-2011 Оборудование металлообрабатывающее и деревообрабатывающее. Показатели энергоэффективности. Номенклатура. Методы определения и нормирования значенийДата актуализации: 01.01.2021
|
| Обозначение: | ГОСТ Р 54430-2011 |
| Обозначение англ: | GOST R 54430-2011 |
| Статус: | введен впервые |
| Название рус.: | Оборудование металлообрабатывающее и деревообрабатывающее. Показатели энергоэффективности. Номенклатура. Методы определения и нормирования значений |
| Название англ.: | Metal-working and woodworking. Energy efficiency indicators. Nomenclature. Methods for determining the values and valuations |
| Дата добавления в базу: | 01.09.2013 |
| Дата актуализации: | 01.01.2021 |
| Дата введения: | 01.07.2012 |
| Область применения: | Стандарт устанавливает номенклатуру показателей энергоэффективности (экономичности энергопотребления) металлообрабатывающего и деревообрабатывающего оборудования, методы их выбора, определения и нормирования на стадии проектирования и испытания. Установленные стандартом показатели включают в нормативные (технические, методические) документы, конструкторскую и эксплуатационную документацию на указанное оборудование и методики его испытания. Установленные стандартом показатели применяют для оценки соответствия энергоэффективности оборудования нормативным требованиям (по мере их установления и включения в нормативно-техническую и методическую документацию), для сравнительной оценки оборудования разных моделей, типов и размеров, а также для сертификации по показателям энергоэффективности. |
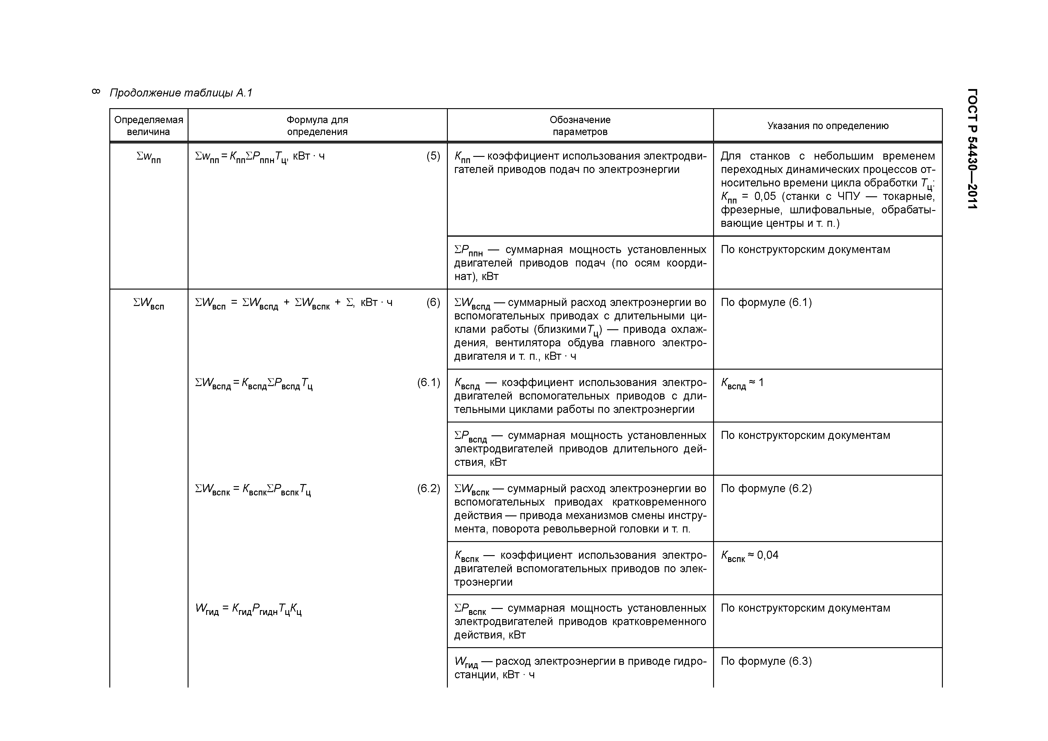
| Оглавление: | 1 Область применения 2 Нормативные ссылки 3 Термины, определения и сокращения 4 Общие положения 5 Номенклатура показателей энергоэффективности (экономичности энергопотребления) металлообрабатывающего и деревообрабатывающего оборудования 5.1 Основной показатель 5.2 Дополнительные показатели 5.3 Формулы для определения значения показателей 6 Методика определения значений показателей энергоэффективности 6.1 Определение значений показателей на стадии проектирования 6.2 Определение экспериментальных значений показателей при испытаниях 7 Методы нормирования значений показателей энергоэффективности оборудования Приложение А (справочное) Расчетное определение расхода электроэнергии в станке Приложение Б (справочное) Пример расчета расхода электроэнергии в станке на стадии проектирования Библиография |
| Разработан: | ОАО ЭНИМС |
| Утверждён: | 28.09.2011 Федеральное агентство по техническому регулированию и метрологии (366-ст) |
| Издан: | Стандартинформ (2012 г. ) |
| Нормативные ссылки: |
|






















