Скачать РД 39-0148311-206-85 Руководство по проектированию и технико-экономическому анализу разработки нефтяных месторождений с применением метода полимерного воздействия на пластДата актуализации: 01.01.2021
|
| Обозначение: | РД 39-0148311-206-85 |
| Обозначение англ: | RD 39-0148311-206-85 |
| Статус: | не действует |
| Название рус.: | Руководство по проектированию и технико-экономическому анализу разработки нефтяных месторождений с применением метода полимерного воздействия на пласт |
| Дата добавления в базу: | 01.09.2013 |
| Дата актуализации: | 01.01.2021 |
| Дата введения: | 01.01.1986 |
| Дата окончания срока действия: | 01.01.1989 |
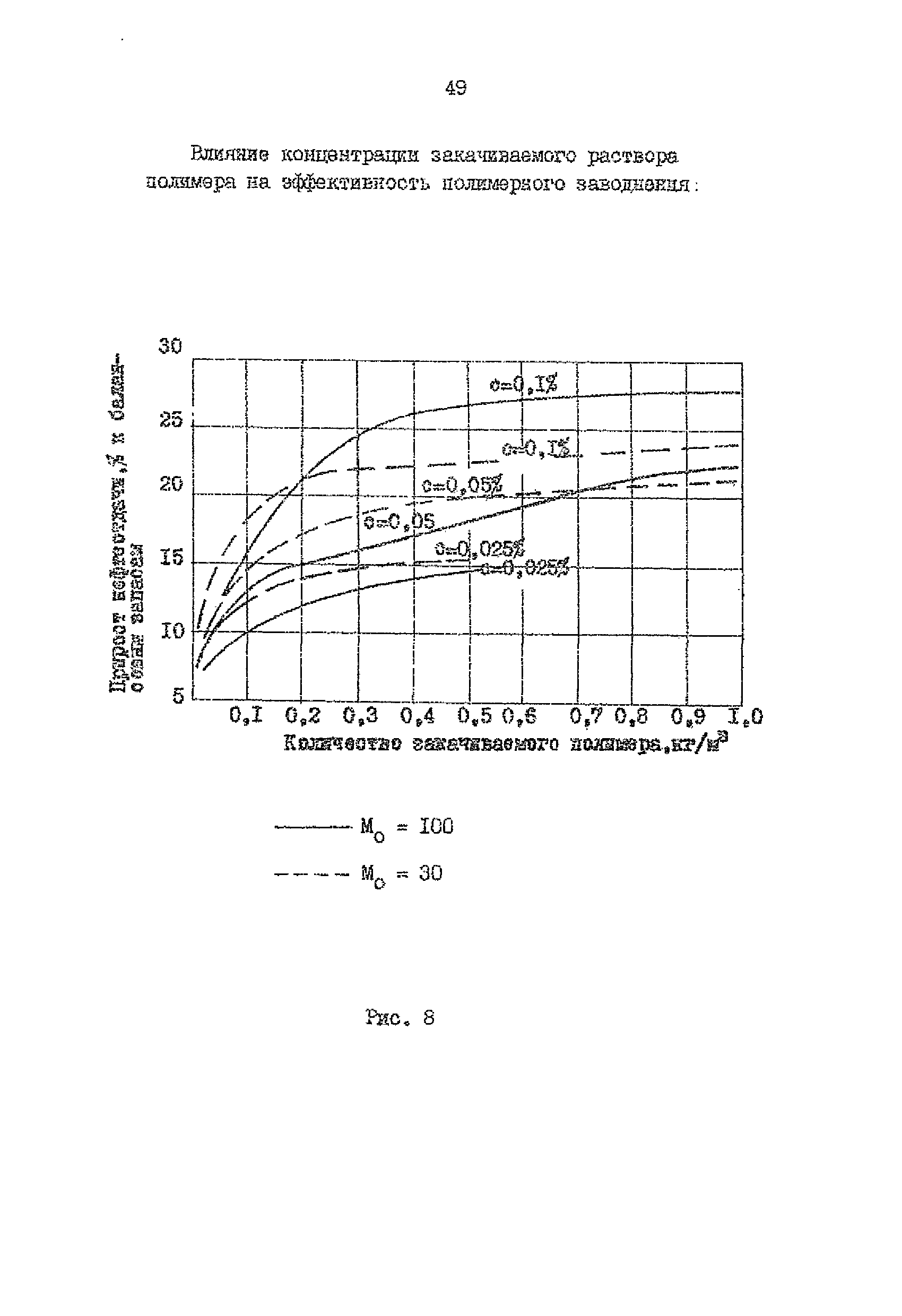
| Область применения: | В руководстве рассмотрены физические основы полимерного воздействия на пласт с целью регулирования процесса разработки и увеличения нефтеотачи. Изложены требования предъявляемые к химическим реагентам, используемым в данной технологии. Даны критерии выбора объектов, пригодных для реализации метода, и определена область его аффективного применения. |
| Оглавление: | 1. Общая часть 2 Физические основы метода полимерного воздействия на нефтяные пласты 3. Технические требования к полиакриламидам и вязкоупругим составам, используемым для полимерного воз действия 4. Реагенты для полимерного воздействия, рецептуры вязкоупругих составов 5. Входной контроль качества порошкообразных полимеров акриламида 6. Исходные данные для проектирования полимерного воздействия на нефтяные пласты 7. Область эффективного применении растворов полимеров и критерии выбора объектов, пригодных для полимерного воздействия 8. Расчет технологических показателей разработки, месторождений при полимерном воздействии 9. Исследование скважин и пласта, контроль за разработкой при полимерном воздействии 10. Оценка технологической эффективности применения метода полимерного воздействия 11. Методика определения экономической эффективности полимерного воздействия 12. Техника и оборудование, применяемые при разработке нефтяных месторождений с использованием полимеров 13. Транспорт и хранение реагентов для полимерного воздействия 14. Привела промсанитарии и техника безопасности 15. Мероприятия по защите окружающей среды 16. Применяемая терминология Список литературы Приложения |
| Разработан: | Гипровостокнефть |
| Утверждён: | 17.12.1985 Министерство нефтяной промышленности СССР (USSR Ministry of the Petroleum Industry ) |
| Принят: | ВНИИ |
| Заменяет собой: |
|
| Нормативные ссылки: |
















































































































































































































