Скачать Правила измерения расхода массы и объема природного газа стандартными сужающими устройствами. Измерение расхода текучих сред методом переменного перепада давления с помощью сужающих устройств

Дата актуализации: 01.01.2021

Правила измерения расхода массы и объема природного газа стандартными сужающими устройствами. Измерение расхода текучих сред методом переменного перепада давления с помощью сужающих устройств

Статус:действует
Название рус.:Правила измерения расхода массы и объема природного газа стандартными сужающими устройствами. Измерение расхода текучих сред методом переменного перепада давления с помощью сужающих устройств
Дата добавления в базу:01.09.2013
Дата актуализации:01.01.2021
Область применения:Документ распространяется на измерение расхода различных веществ методом переменного перепада давления с применением в качестве первичных измерительных преобразователей сужающих устройств
Оглавление:1 Назначение и область применения
2 Условные обозначения
3 Нормативные ссылки
4 Определения
5 Метод измерения
6 Общие требования к измерениям
7 Требования к установке сужающих устройств
8 Диафрагмы
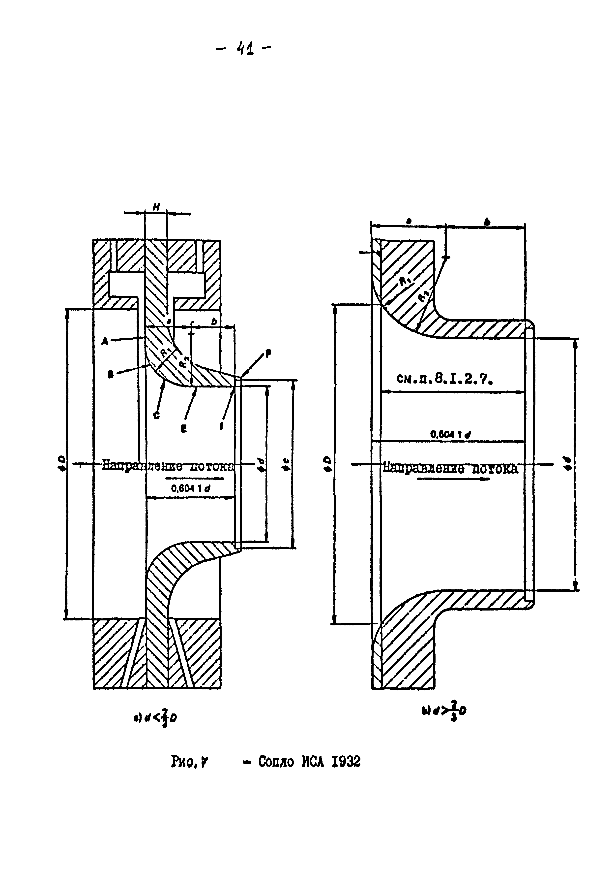
9 Сопло ИСА 1932
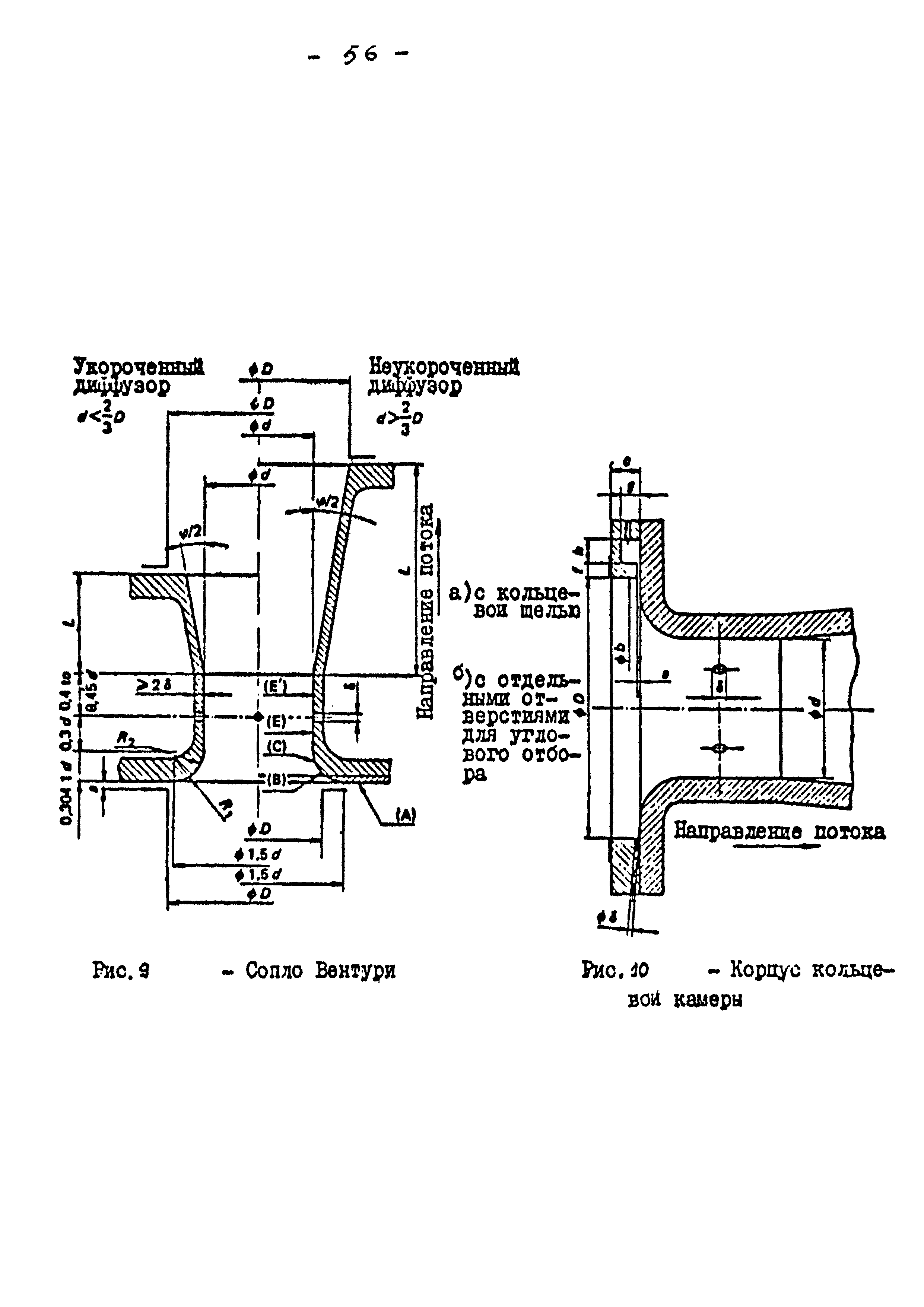
10 Трубы расходомерные
11 Средства измерения
   Схемы установок разделительных сосудов
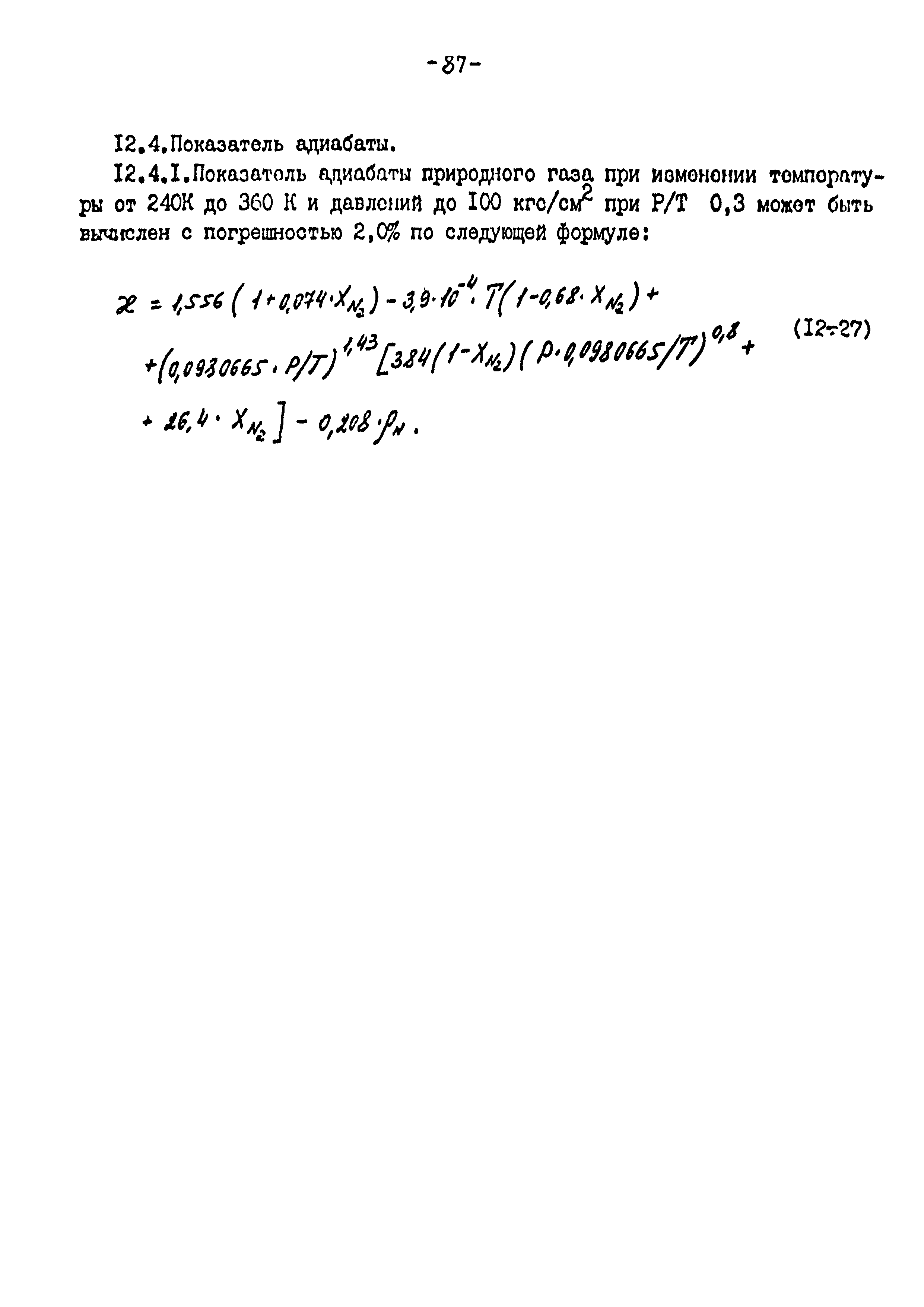
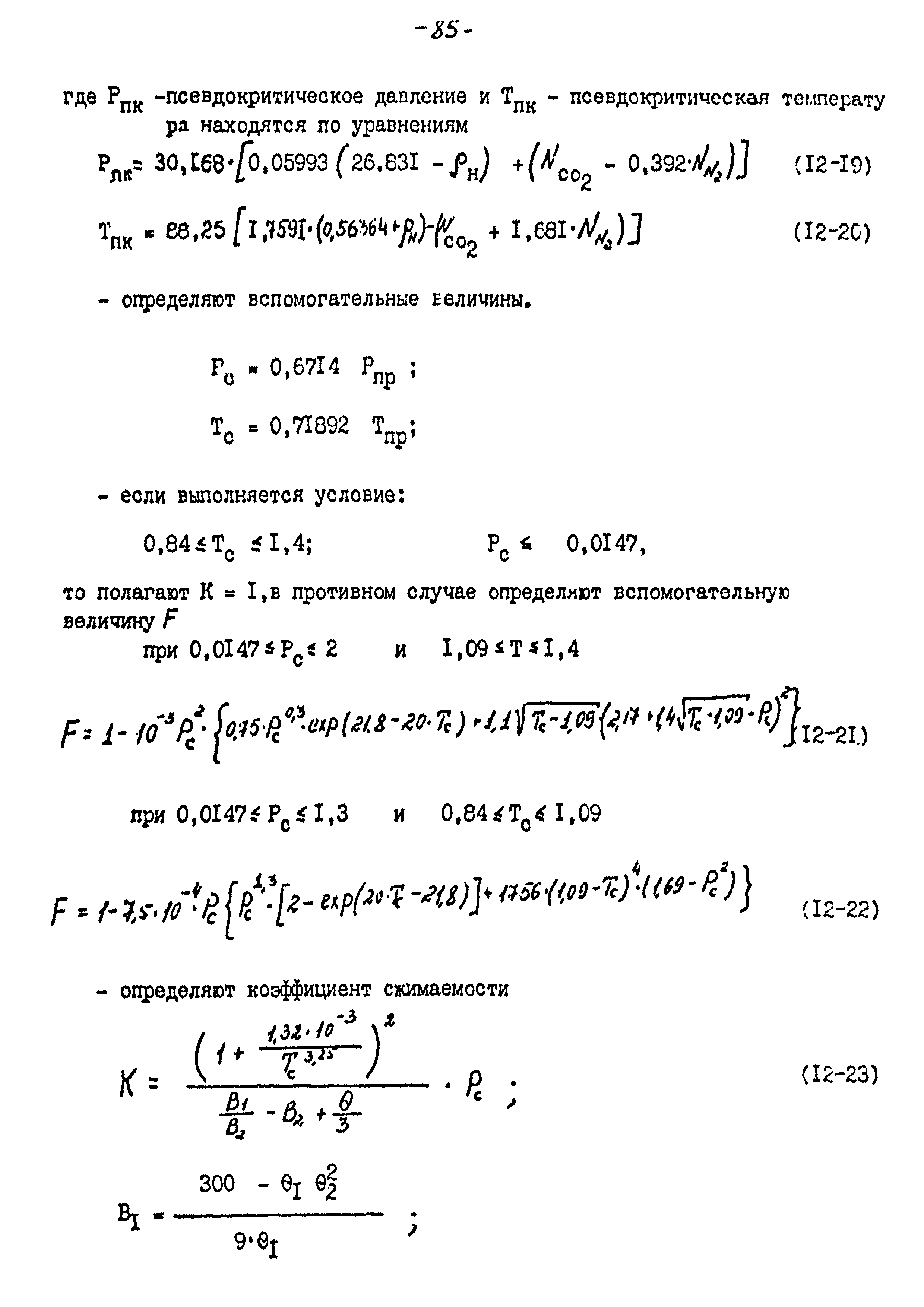
12 Физические свойства природного газа
13 Расчетные формулы и методы расчета
14 Погрешность измерения расхода, массы и объема
15 Метрологический надзор за расходомерами с сужающими устройствами
16 Сроки поверки сужающих устройств
Приложение 1. Таблицы
Приложение 2. Влияние шероховатости трубопровода на точность измерения расхода
Приложение 3. Способы устранения дополнительной погрешности измерения расхода от притупления входной кромки стандартной диафрагмы
Приложение 4. Значения дополнительной погрешности от сокращения длины прямого участка перед сужающим устройством
Приложение 5. Типы местных сопротивлений
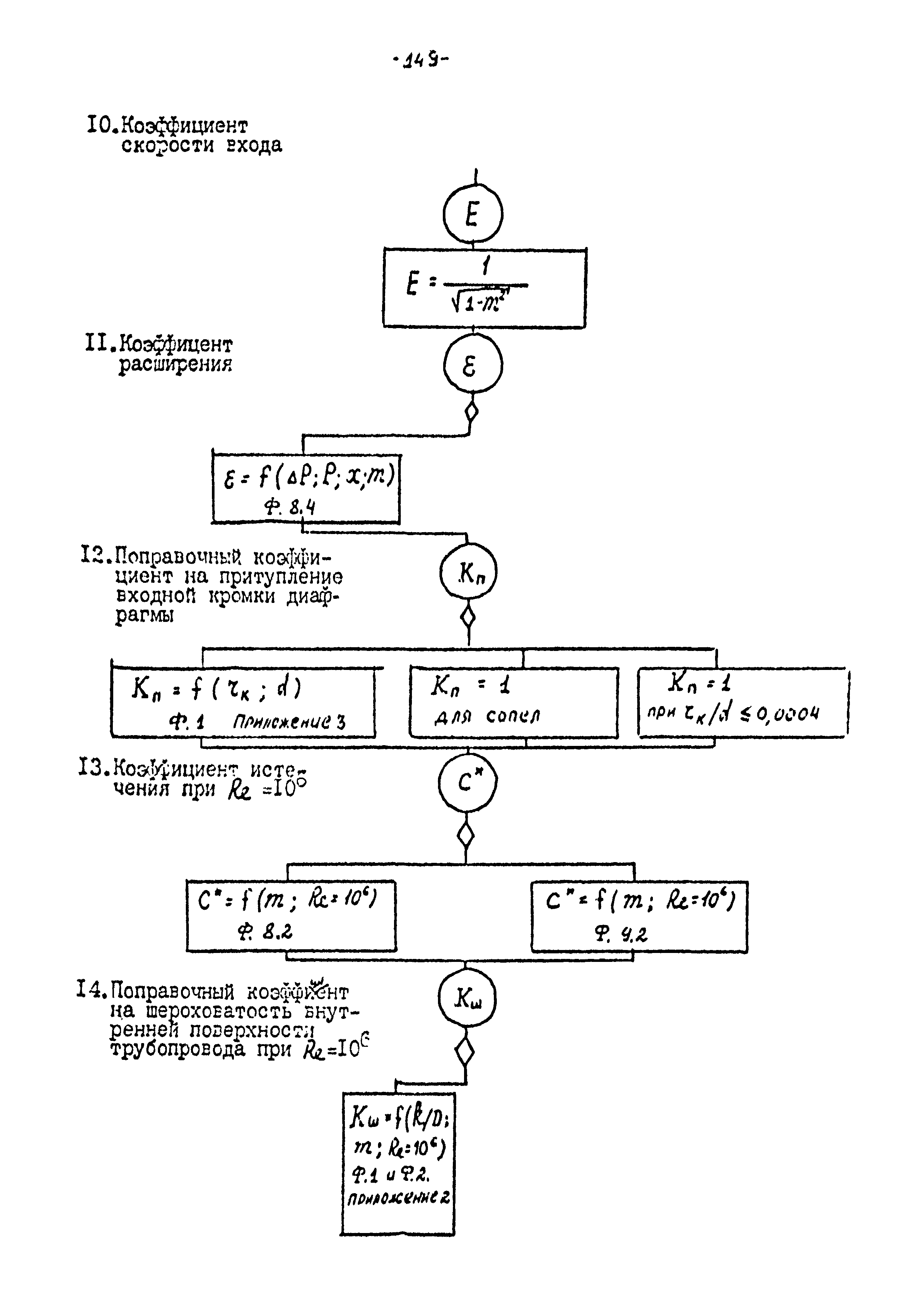
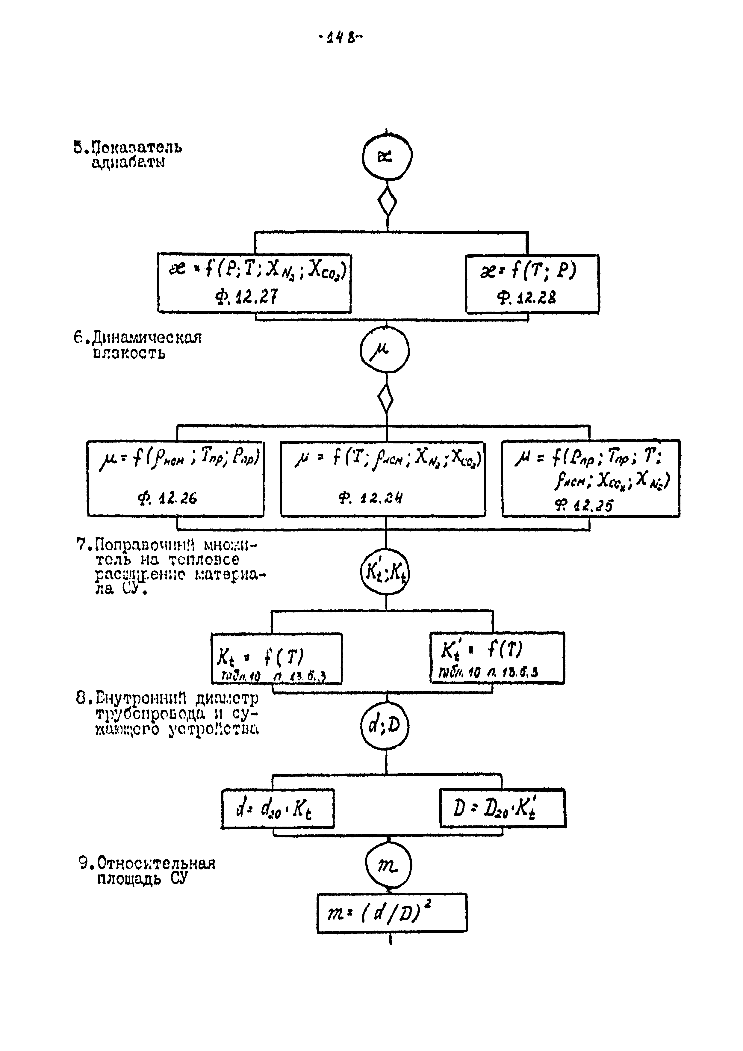
Приложение 6. Алгоритм расчета расхода массы и объема природного газа
Приложение 7. Обработка диаграмм планиметрами
Приложение 8 (рекомендуемое). Методы расчета
Приложение 9. Титульный лист паспорта
Приложение 10. Литература
Разработан: ВНИИМ им. Д.И. Менделеева
ВНИИР Госстандарта России
Фирма Газприборавтоматика РАО Газпром
Утверждён: Госстандарт России (Russian Federation Gosstandart )
Заменяет собой:
Нормативные ссылки: