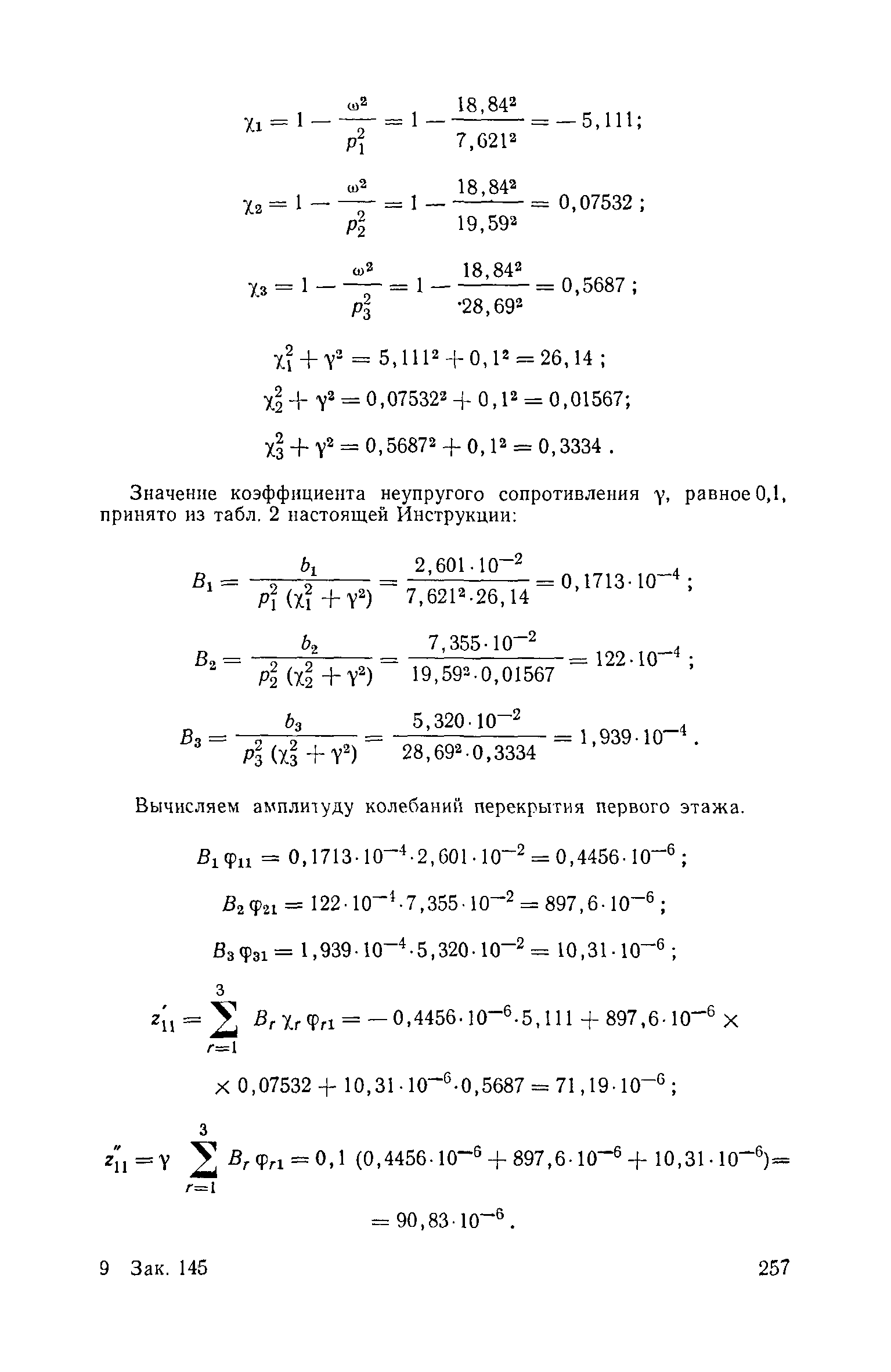
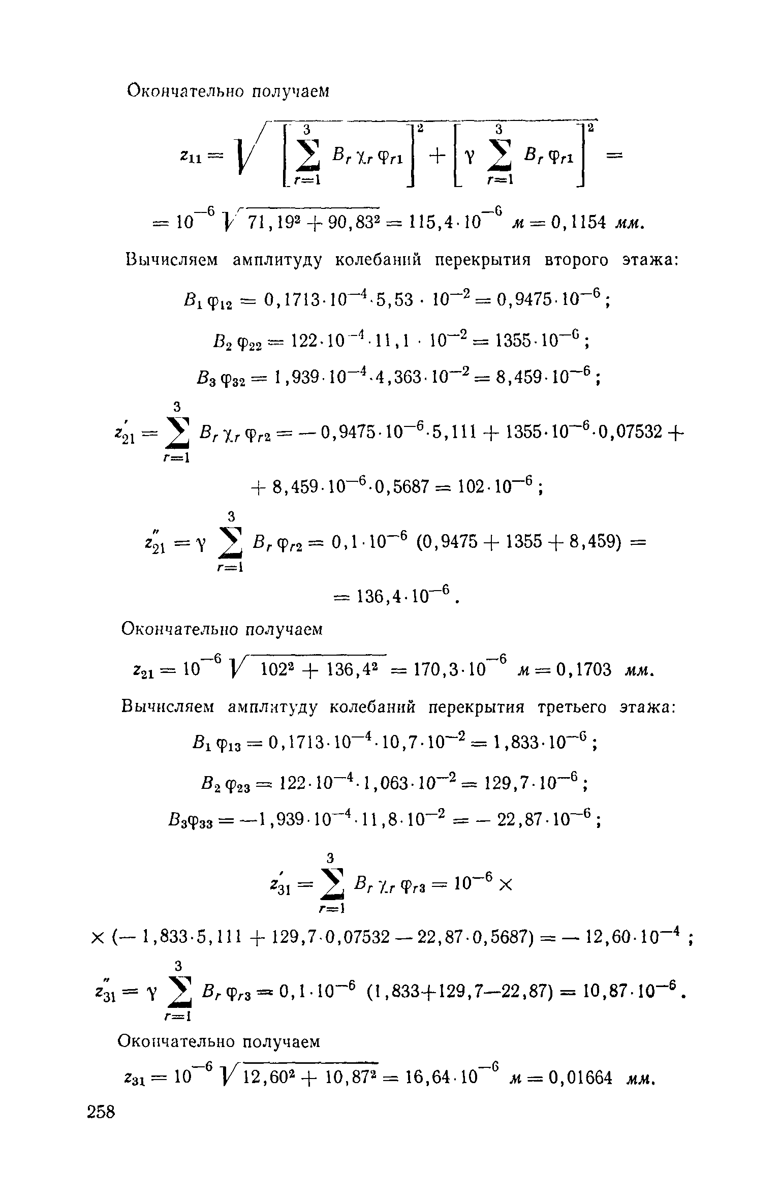
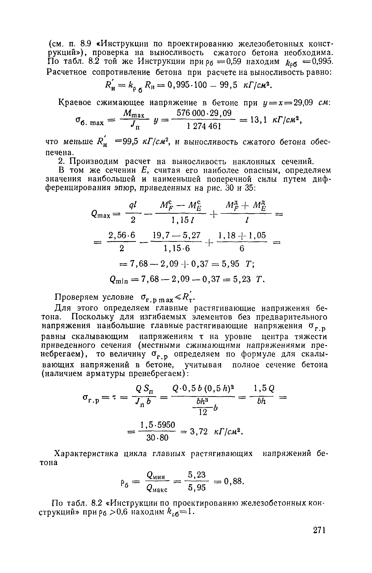
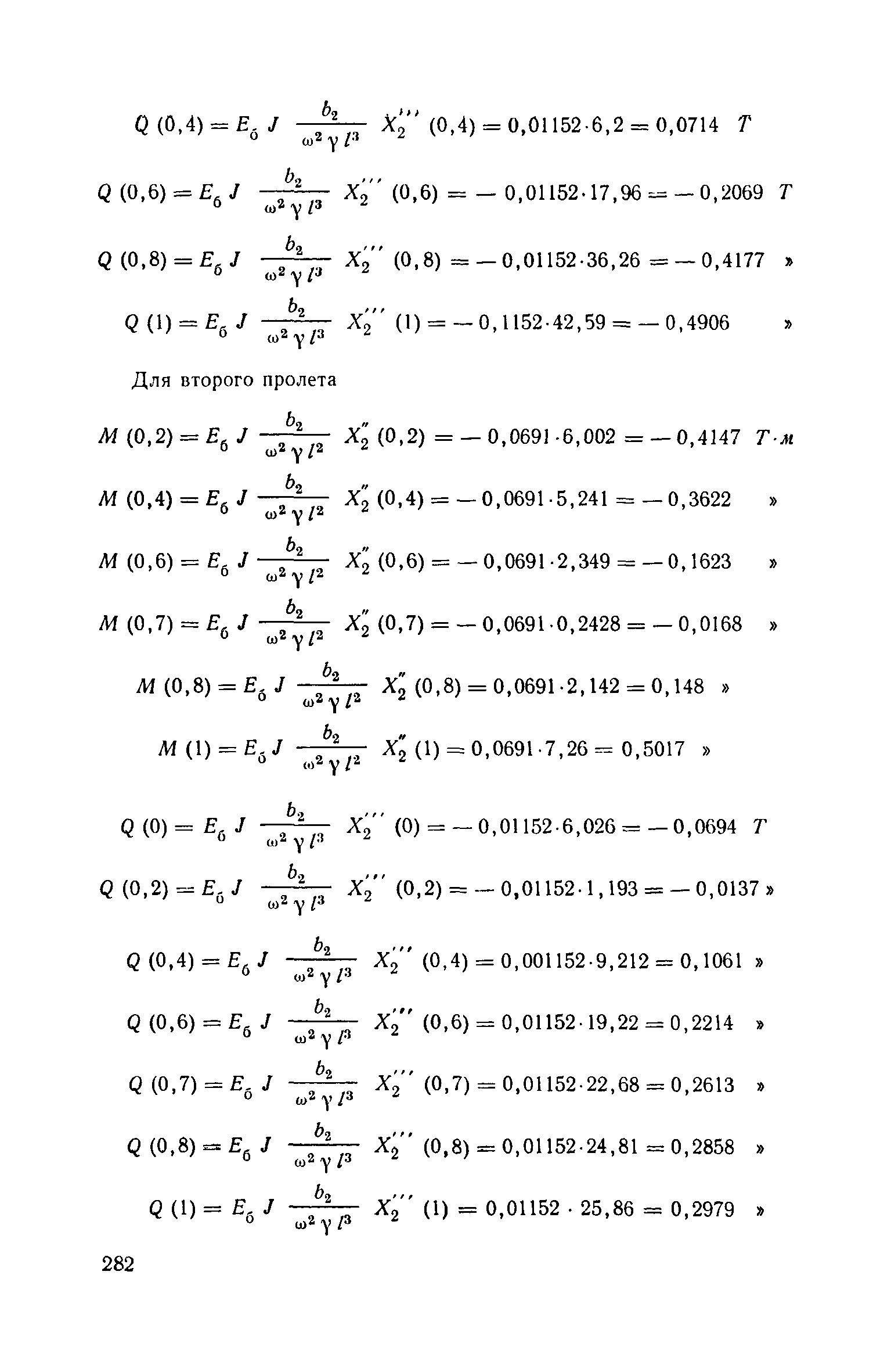
Скачать Инструкция по расчету несущих конструкций промышленных зданий и сооружений на динамические нагрузкиДата актуализации: 01.01.2021 |
| Статус: | действует |
| Название рус.: | Инструкция по расчету несущих конструкций промышленных зданий и сооружений на динамические нагрузки |
| Дата добавления в базу: | 01.09.2013 |
| Дата актуализации: | 01.01.2021 |
| Область применения: | В инструкции приведены указания по расчету и проектированию несущих конструкций промышленных зданий и сооружений, воспринимающих динамические воздействия эксплуатационного характера от машин и оборудования, установленных на перекрытиях или отдельных площадках. |
| Оглавление: | 1. Общие указания Основные положения Объёмно-планировочные и конструктивные решения Динамические характеристики материалов и конструкций Динамические нагрузки 2. Основные расчетные положения 3. Расчетные схемы 4. Частоты и формы собственных колебаний несущих конструкций 5. Перемещения и внутренние усилия 6. Способы уменьшения колебаний несущих конструкций Приложение 1. Определение частот и форм собственных колебаний конструкций Приложение 2. Определение наибольших перемещений и внутренних усилий при колебаниях конструкций Приложение 3. Таблицы форм собственных колебаний однопролетных и неразрезных балок (балочных функций) и их производных Приложение 4. Примеры расчета |
| Разработан: | ЦНИИСК им. В.А. Кучеренко |
| Утверждён: | ЦНИИСК им. В.А. Кучеренко Госстроя СССР |
| Издан: | Издательство литературы по строительству (1970 г. ) |
| Нормативные ссылки: |
|





























































































































































































































































































