Скачать Рекомендации по проектированию сборных и сборно-монолитных железобетонных фундаментов и опорных конструкций под блоки агрегатированного оборудованияДата актуализации: 01.01.2021 |
| Статус: | не действует |
| Название рус.: | Рекомендации по проектированию сборных и сборно-монолитных железобетонных фундаментов и опорных конструкций под блоки агрегатированного оборудования |
| Дата добавления в базу: | 01.09.2013 |
| Дата актуализации: | 01.01.2021 |
| Область применения: | Рекомендации содержат основные положения по проектированию сборных и сборно-монолитных железобетонных фундаментов и опорных конструкций плитного и рамного типов под блоки агрегатированного оборудования с динамическими нагрузками. Приведены методы выбора оптимальных конструктивных схем опорных конструкций и фундаментов, их расчета на действие статических и динамических нагрузок, а также требования к конструированию с учетом особенностей изготовления и монтажа. Рекомендации предназначены для инженерно—технических работников проектных, научно—исследовательских строительных и машиностроительных организаций. |
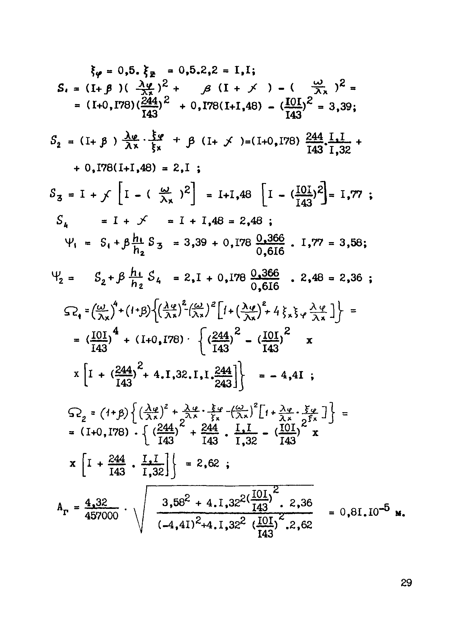
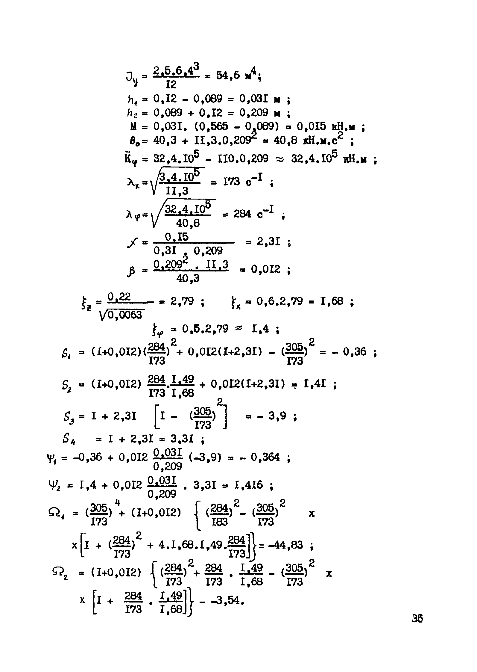
| Оглавление: | Предисловие 1. Общие положения 2, Типы оборудования, агрегатируемого в крупные блоки. Нагрузки от оборудования 3. Конструктивные требования к железобетонным опорным конструкциям 4. Конструктивные требования к зданиям и сооружениям при применении железобетонных опорных конструкций 5. Основные положения по расчету железобетонных опорных конструкций 6. Материалы для железобетонных опорных конструкций. Изготовление и монтаж конструкций Приложения: 1. Примерные конструктивные решения и методика расчета узлов крепления оборудования к опорным конструкциям 2. Примерные конструктивные схемы установки опорных конструкций на этажерки 3. Примерные решения неомоноличиваемых узлов сопряжения элементов фундаментов 4. Примеры динамических расчетов плитных фундаментов под блоки оборудования холодильной станции 5. Пример динамического расчета фундамента рамного типа под блок аппарата воздушного охлаждения 6. Примерные схемы транспортирования и складирования блоков оборудования с железобетонными опорными конструкциями 7. Список конструктивно-нормативной литературы, на которую даны ссылки в настоящих Рекомендациях |
| Разработан: | НИИЖБ Госстроя СССР |
| Утверждён: | 10.05.1977 НИИЖБ Госстроя СССР (NIIZhB, USSR Gosstroy ) |
| Издан: | Стройиздат (1981 г. ) |
| Нормативные ссылки: |
|













































