Скачать Рекомендации по проектированию бетонных и железобетонных конструкций для жаркого климатаДата актуализации: 01.01.2021 |
| Статус: | не действует |
| Название рус.: | Рекомендации по проектированию бетонных и железобетонных конструкций для жаркого климата |
| Дата добавления в базу: | 01.09.2013 |
| Дата актуализации: | 01.01.2021 |
| Область применения: | Рекомендации распространяются на проектирование бетонных и железобетонных конструкций для IV климатического района (СНиП 2. 01.01-82 "Строительная климатология и геофизика") со средней максимальной температурой наиболее жаркого месяца 33°С и выше. |
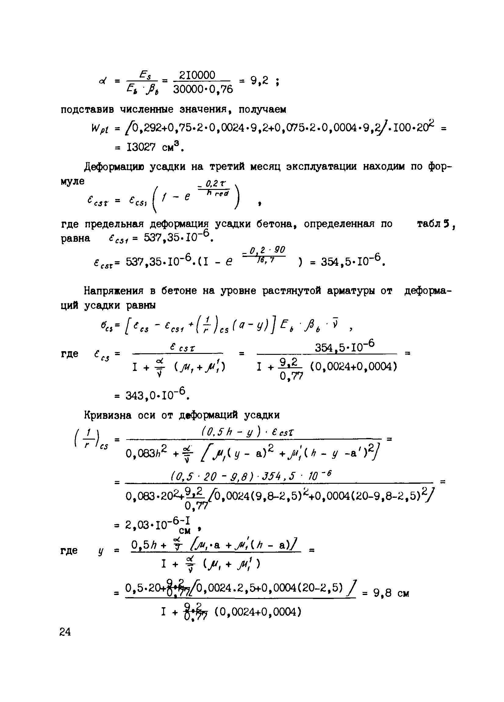
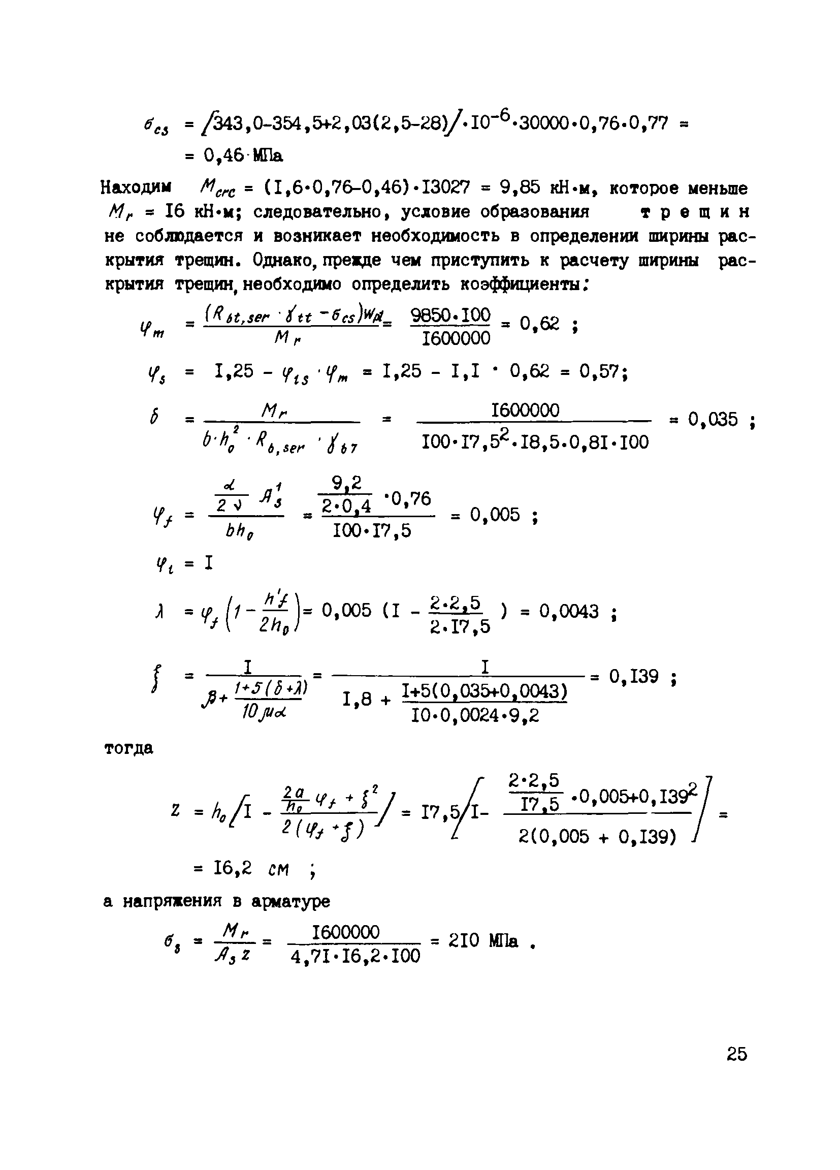
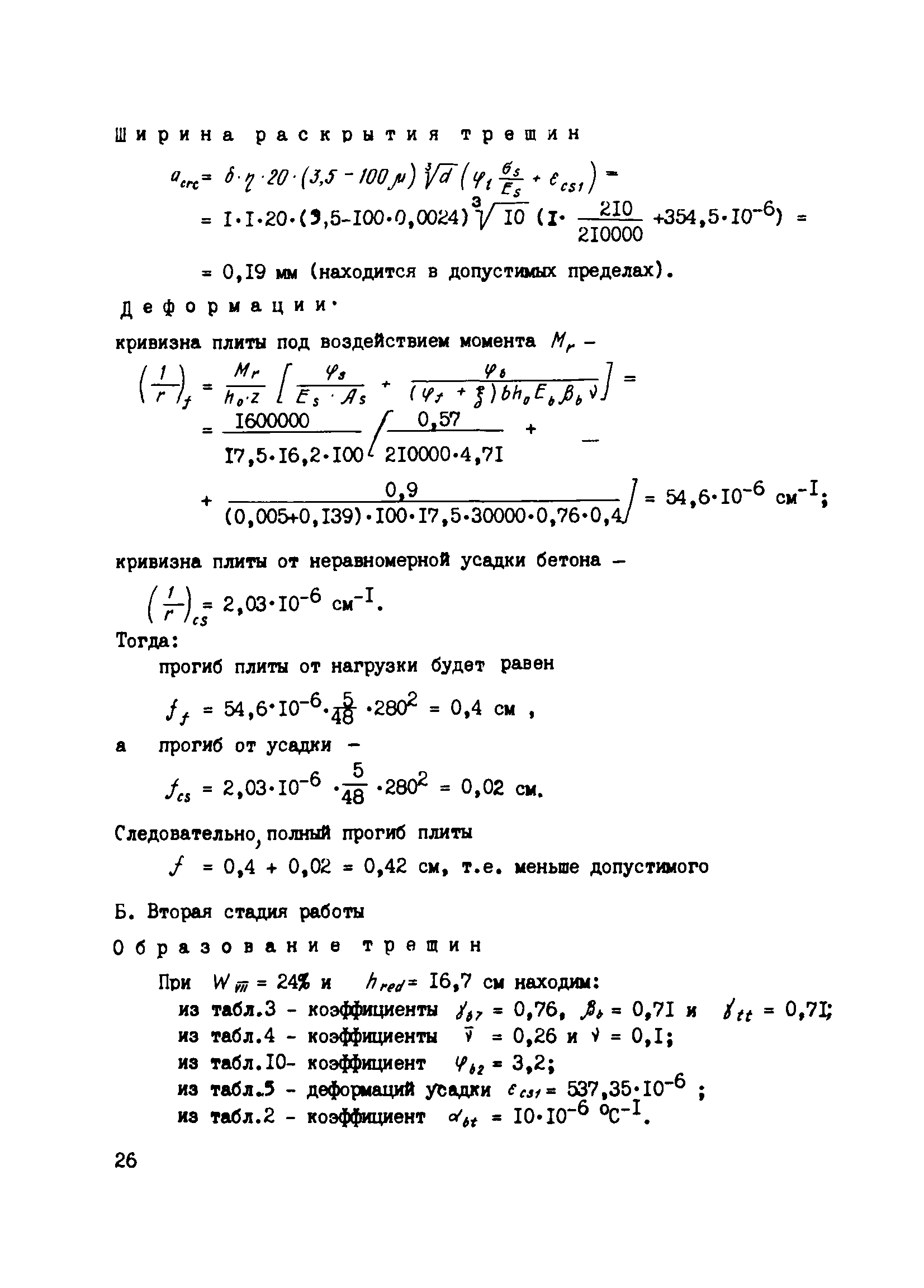
| Оглавление: | Предисловие 1. Основные положения 2. Материалы Бетон Арматура 3. Расчетные требования 4. Определение изменений температуры в элементах конструкции 5. Расчет элементов бетонных и железобетонных конструкций Расчет по прочности Расчет по образованию трещин Расчет по раскрытию трещин Расчет по деформациям Расчет кривизны элемента от нагрузки Определение прогибов Примеры расчета Приложение 1. Расчет деформаций усадки бетона за заданный период времени Приложение 2. Методика расчета изменения температуры в элементах конструкции |
| Разработан: | НИИЖБ Госстроя СССР |
| Утверждён: | 05.03.1987 НИИЖБ Госстроя СССР (NIIZhB, USSR Gosstroy ) |
| Нормативные ссылки: |
|


































