Скачать ГОСТ Р 54830-2011 Системы охранные телевизионные. Компрессия оцифрованных видеоданных. Общие технические требования и методы оценки алгоритмовДата актуализации: 01.01.2021
|
| Обозначение: | ГОСТ Р 54830-2011 |
| Обозначение англ: | GOST R 54830-2011 |
| Статус: | введен впервые |
| Название рус.: | Системы охранные телевизионные. Компрессия оцифрованных видеоданных. Общие технические требования и методы оценки алгоритмов |
| Название англ.: | Video surveillance systems. Video data compression. General technical requirements and methods of algorithm evaluation |
| Дата добавления в базу: | 01.09.2013 |
| Дата актуализации: | 01.01.2021 |
| Дата введения: | 01.09.2012 |
| Область применения: | Стандарт распространяется на цифровые системы охранные телевизионные и устанавливает общие технические требования и методы оценки алгоритмов компрессии оцифрованных видеоданных в ЦСОТ. Стандарт применяют к алгоритмам компрессии (декомпрессии), независимо от их реализации на аппаратном уровне. Стандарт устанавливает классификацию алгоритмов компрессии (декомпрессии) оцифрованных видеоданных. Стандарт устанавливает методику сравнения различных алгоритмов компрессии и декомпрессии оцифрованных видеоданных. Стандарт применяют совместно со стандартами ГОСТ Р МЭК 60065, ГОСТ Р 51558, ГОСТ 13699, ГОСТ 15971. |
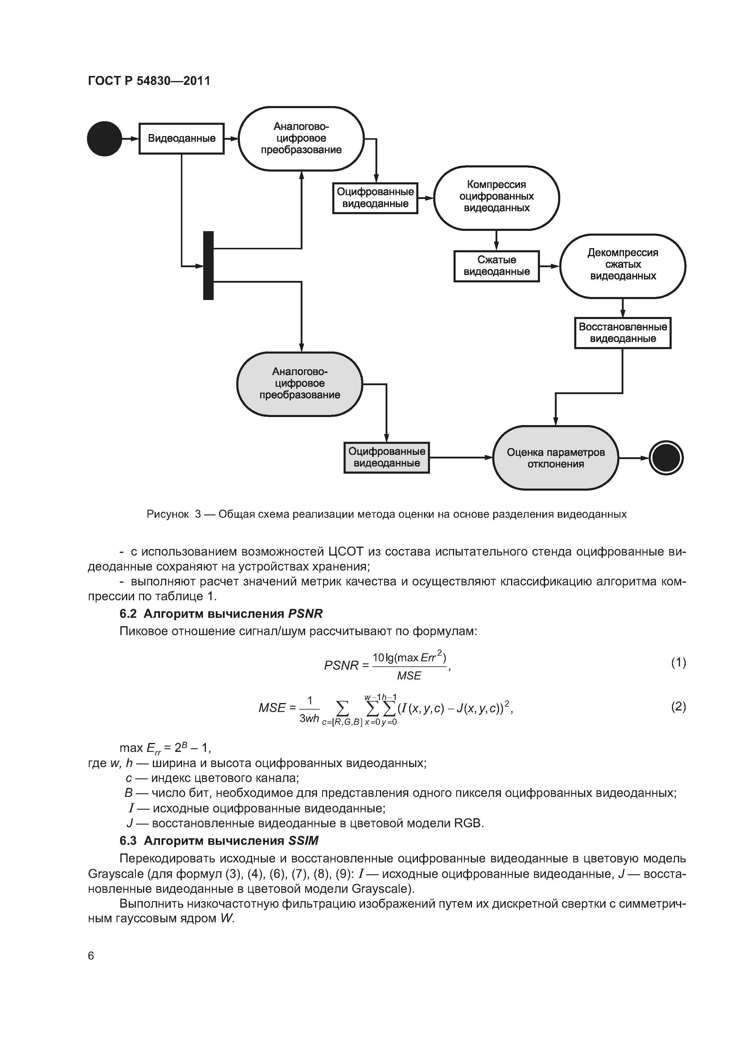
| Оглавление: | 1 Область применения 2 Нормативные ссылки 3 Термины и определения 4 Общие технические требования 5 Классификация алгоритмов компрессии 6 Методы оценки алгоритмов компрессии 6.1 Общее описание методов оценки 6.2 Алгоритм вычисления PSNR 6.3 Алгоритм вычисления SSIM 6.4 Алгоритм вычисления VQM 7 Методы сравнения алгоритмов компрессии оцифрованных видеоданных |
| Разработан: | ЗАО Компания Безопасность ЗАО Нордавинд Консорциум Интегра-С ЗАО Кодос-Б Научно-внедренческое производство Болид НПО фирмы ООО Сигма-ИС Федеральное казенное учреждение Научно-исследовательский центр Охрана МВД России Федеральное казенное учреждение Научно-производственное объединение СТиС МВД России |
| Утверждён: | 13.12.2011 Федеральное агентство по техническому регулированию и метрологии (1222-ст) |
| Издан: | Стандартинформ (2012 г. ) |
| Нормативные ссылки: |
|














