Скачать Рекомендации по разработке проектов монолитных и сборно-монолитных зданий

Дата актуализации: 01.01.2021

Рекомендации по разработке проектов монолитных и сборно-монолитных зданий

Статус:справочные материалы, мп, тпр
Название рус.:Рекомендации по разработке проектов монолитных и сборно-монолитных зданий
Дата добавления в базу:01.09.2013
Дата актуализации:01.01.2021
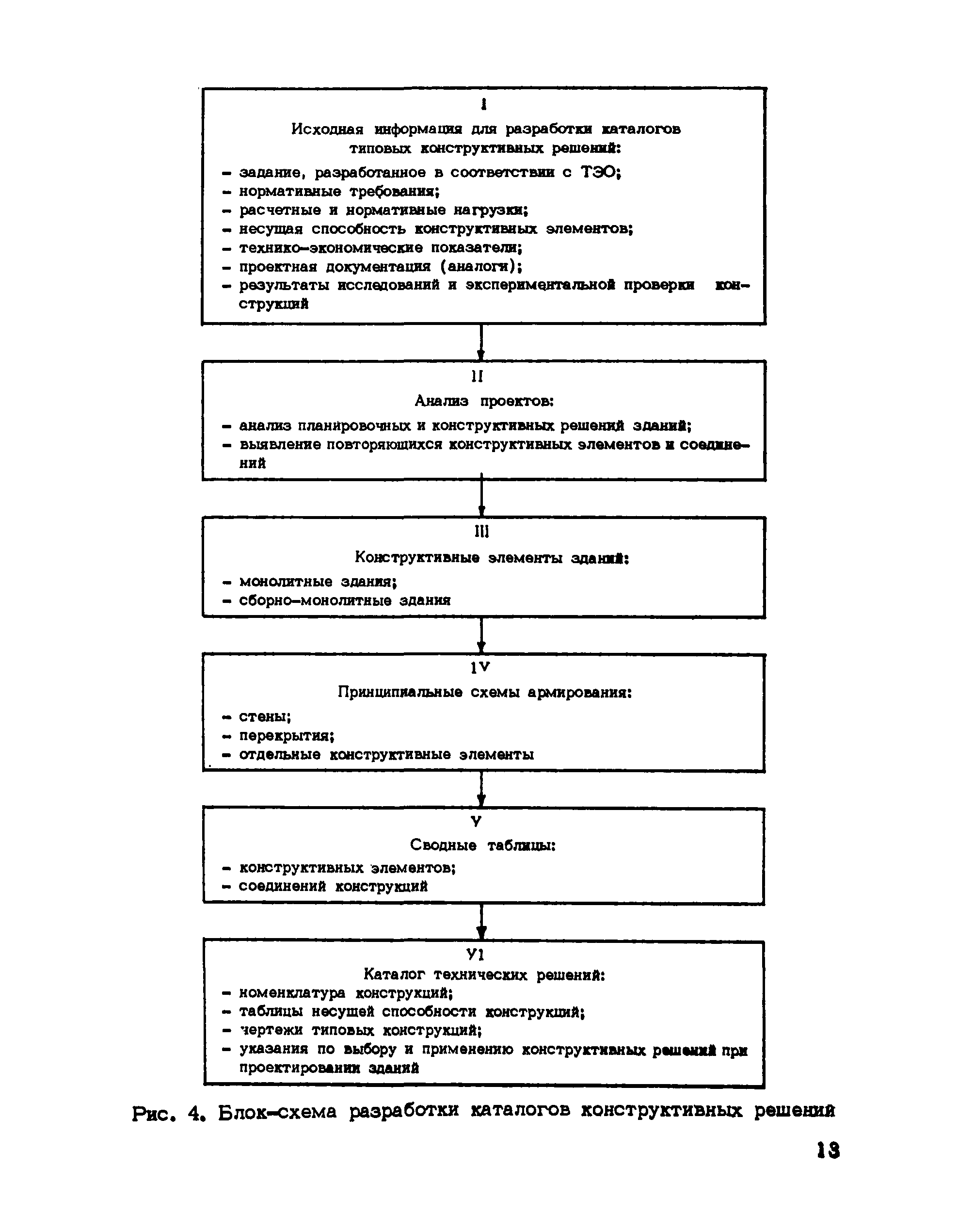
Область применения:В документе рассматриваются вопросы, связанные с выбором проектных решений и применением методов типизации при проектировании монолитных и сборно-монолитных бескаркасных зданий и их комплексов
Оглавление:1. Общие положения
2. Архитектурно-планировочные решения
3. Конструктивные решения
   Основные положения
   Выбор конструктивной системы здания
   Выбор конструктивного типа здания
   Типизация конструктивных решений
4. Экономия проектных решений
Приложения
Литература
Разработан: ЦНИИЭП жилища
Утверждён:15.10.1981 ЦНИИЭП жилища (TsNIIEPzhilishcha 34)
Издан: ЦНИИЭПжилища (1988 г. )
Нормативные ссылки: