Скачать Руководство по проектированию конструкций и технологии возведения монолитных бескаркасных зданийДата актуализации: 01.01.2021 |
| Статус: | действует |
| Название рус.: | Руководство по проектированию конструкций и технологии возведения монолитных бескаркасных зданий |
| Дата добавления в базу: | 01.09.2013 |
| Дата актуализации: | 01.01.2021 |
| Дата введения: | 01.01.1982 |
| Область применения: | Руководство составлено к действующим нормативным и инструктивным материалам по проектированию бетонных и железобетонных конструкций и технологии их возведения. В Руководстве приведены общие конструктивные и технологические требования к многоэтажным бескаркасным монолитным и сборно-монолитным зданиям и их элементам, а также положения по расчету и конструированию несущих конструкций стен, перекрытий, их соединений; положения по проектированию технологии и организации работ при возведении зданий в скользящей и переставных опалубках; положения по методике сравнительной технико-экономической оценки конструкций здания и технологии его возведения. В Руководстве приведен комплексный пример расчета на силовые воздействия 24-этажного сборно-монолитного здания, пример расчета на ЭВМ монолитной плиты перекрытия с учетом физической нелинейности железобетона. |
| Оглавление: | Предисловие 1. Общие указания 2. Конструктивные системы и общие требования к конструкциям Конструктивные системы Общие конструктивные и технологические требования Основные расчетные требования 3. Рекомендации по определению усилий Расчетные схемы Характеристики материалов Деформации сопряжений и перемычек Условия, определяющие необходимость расчета здания на ветровую нагрузку и кручение в плане Определение усилий в протяженных зданиях от температурных и усадочных воздействий 4. Расчет и конструирование монолитных перекрытий Основные расчетные положения Расчет монолитных плит перекрытий по предельным состояниям первой группы Расчет монолитных плит перекрытий по предельным состояниям второй группы Особенности расчета монолитных перекрытий с прерывистым закреплением по контуру в зданиях, возводимых в скользящей опалубке Расчет монолитных плит перекрытий на технологические нагрузки Конструирование монолитных плит перекрытий 5. Расчет и конструирование монолитных и сборно-монолитных стен Расчетные сечения и расчетные схемы Расчет средних сечений Расчет опорных сечений Расчет перемычек Армирование монолитных стен Особенности армирования монолитных стен, возводимых в переставных опалубках Особенности армирования монолитных стен, возводимых в скользящей опалубке Конструирование стыков и соединений монолитных и сборных элементов 6. Рекомендации по проектированию технологии возведения монолитных и сборно-монолитных зданий Общие положения Методика разработки проекта организации строительства (НОС) Методика разработки проекта производство работ (ППР) 7. Методы технико-экономической оценки монолитных конструкций и технологии их возведения Общие положения Расчет технико-экономических показателей бетонных смесей и арматурных изделий заводского изготовления Расчет технико-экономических показателей монолитных конструкций и технологии их возведения Приложение 1. Пример расчета 24-этажного сборно-монолитного бескаркасного здания Приложение 2. Пример расчета монолитной плиты перекрытия с прерывистым опиранием для монолитного здания, возводимого в скользящей опалубке Приложение 3. Расчет железобетонных плит с учетом физической нелинейности (программный комплекс «микрон-ес») Приложение 4. Региональные коэффициенты (усредненные) для определения показателей затрат на приготовление бетонных смесей и изготовление арматурных изделий Приложение 5. Региональные коэффициенты (усредненные) для определения показателей затрат на перевозку автомобильным транспортом железобетонных конструкций жилых зданий, бетонов, растворов, товарной арматуры, а также разгрузку их с транспортных средств Приложение 6. Региональные коэффициенты (усредненные) для определения показателей затрат на возведение монолитных железобетонных конструкций жилых зданий Приложение 7. Коэффициенты изменения затрат на приготовление бетонной смеси и арматурных изделий в зависимости от мощности предприятий по их изготовлению |
| Разработан: | ЦНИИпромзданий ТашЗНИИЭП Госгражданстроя ЦНИИОМТП ЦНИИЭП жилища |
| Утверждён: | 01.01.1982 ЦНИИЭП жилища (TsNIIEPzhilishcha ) |
| Издан: | Стройиздат (1982 г. ) |
| Нормативные ссылки: |
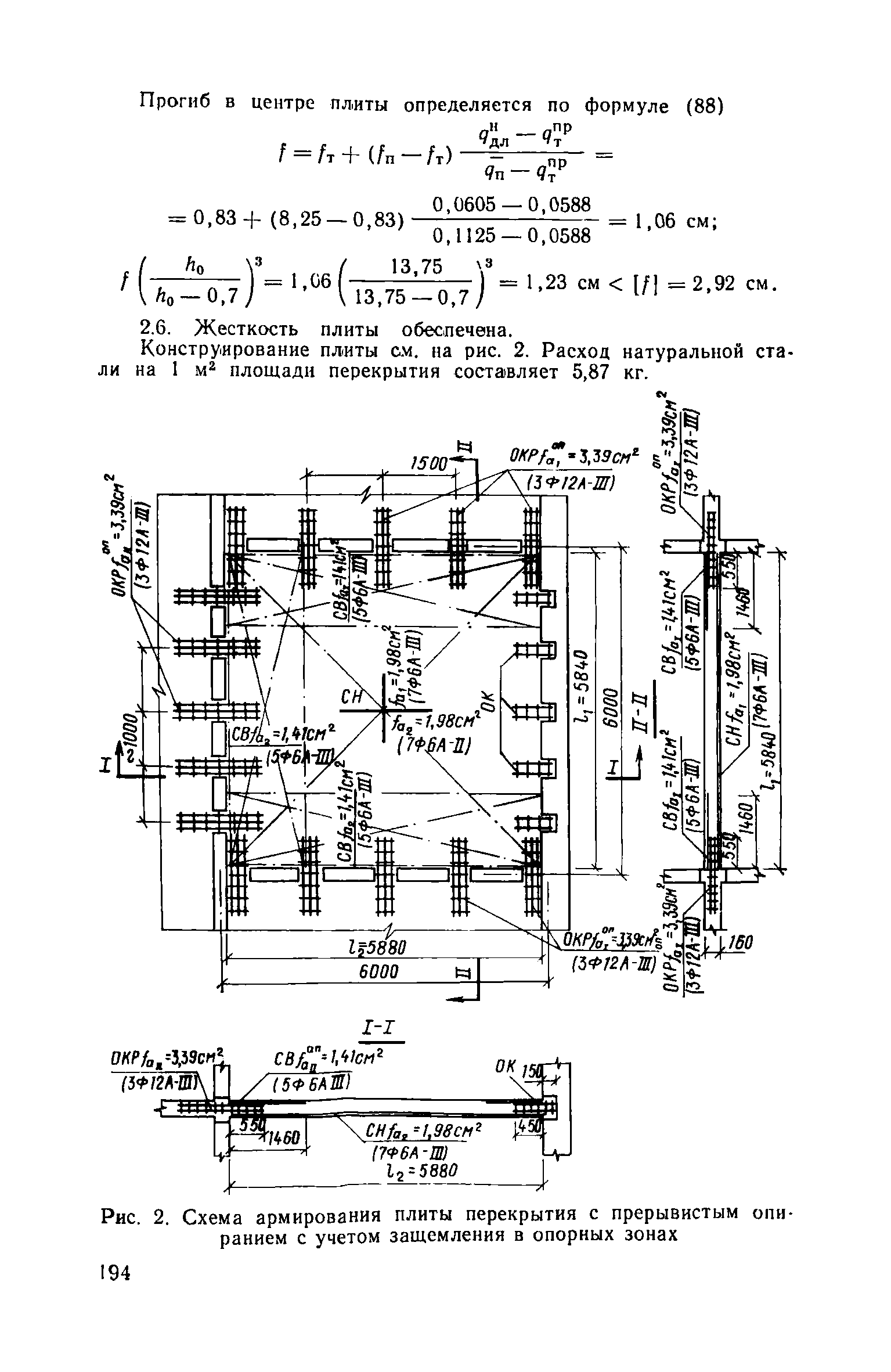
|













































































































































































































