Скачать ГОСТ Р ИСО 15745-3-2010 Системы промышленной автоматизации и интеграция. Прикладная интеграционная среда открытых систем. Часть 3. Эталонное описание систем управления на основе стандарта МЭК 61158Дата актуализации: 01.01.2021
|
| Обозначение: | ГОСТ Р ИСО 15745-3-2010 |
| Обозначение англ: | GOST R ISO 15745-3-2010 |
| Статус: | введен впервые |
| Название рус.: | Системы промышленной автоматизации и интеграция. Прикладная интеграционная среда открытых систем. Часть 3. Эталонное описание систем управления на основе стандарта МЭК 61158 |
| Название англ.: | Industrial automation system and integration. Open systems application integration framework. Part 3. Reference description for IEC 61158-based control systems |
| Дата добавления в базу: | 01.10.2014 |
| Дата актуализации: | 01.01.2021 |
| Дата введения: | 01.09.2011 |
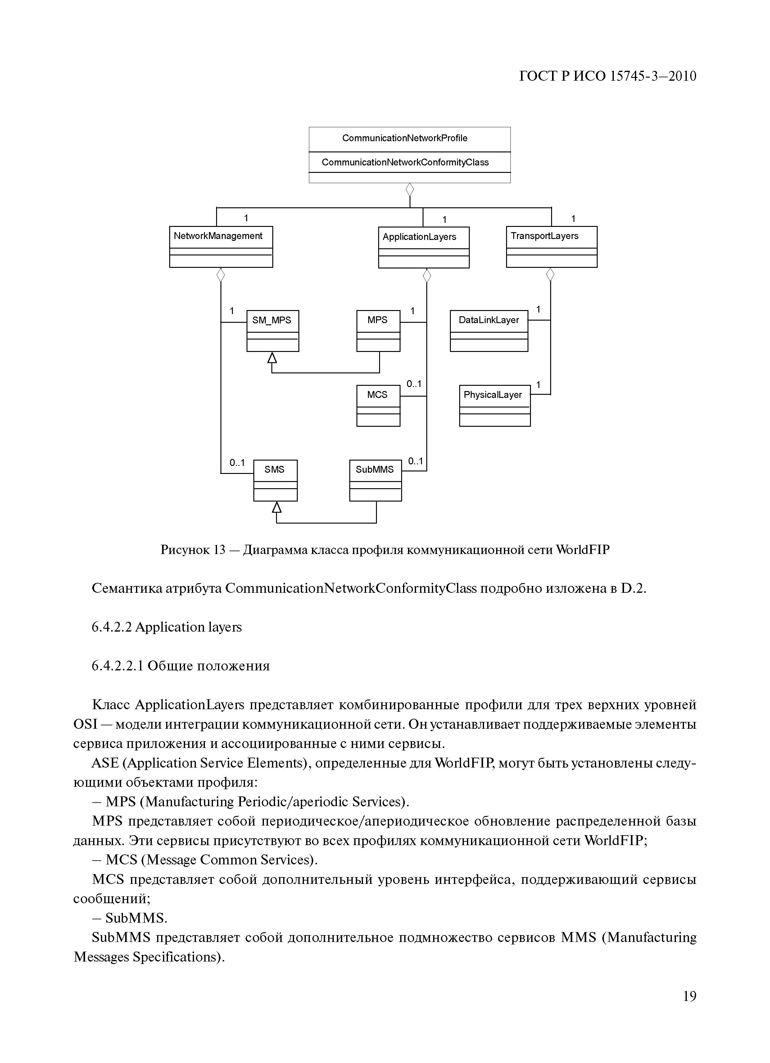
| Область применения: | Стандарт распространяется на специфические технологические элементы и правила описания как профилей коммуникационной сети, так и связанных с коммуникациями аспектов профилей устройств, относящихся к системам управления, на основе МЭК 61158. Настоящий стандарт не распространяется на профили систем управления на основе ИСО/МЭК 8802-3. |
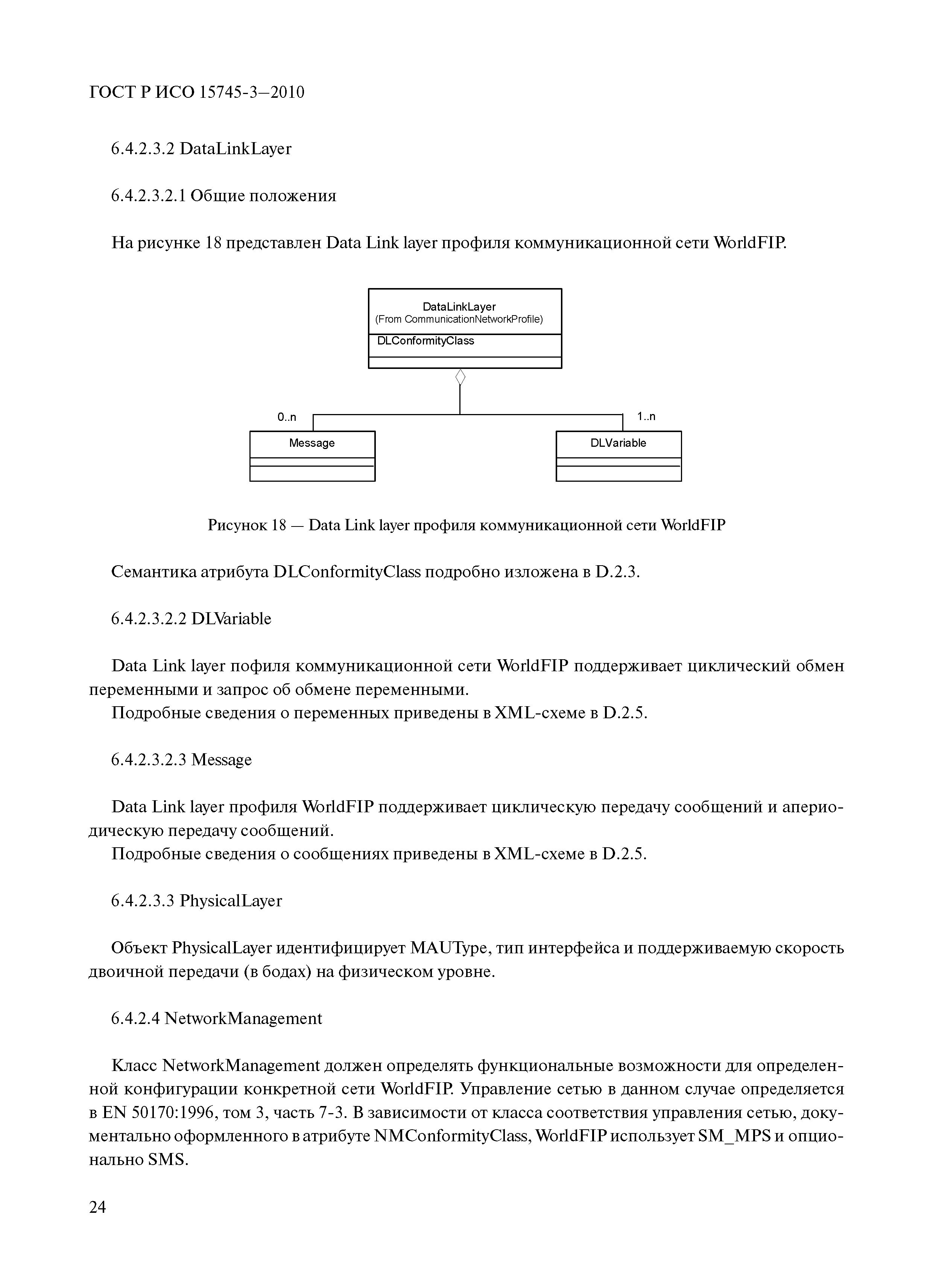
| Оглавление: | 1 Область применения 2 Нормативные ссылки 3 Термины и определения 4 Обозначения терминов 5 Специфические технологические элементы и правила 5.1 Модели интеграции и интерфейсы IAS 5.2 Шаблоны профилей 5.2.1 Общие положения 5.2.2 Содержание и синтаксис 5.2.3 Заголовок 5.3 Специфические технологические профили 6 Профили устройств и коммуникационных сетей в системах управления, основанные на МЭК 61158 6.1 ControlNet 6.1.1 Профиль устройства 6.1.2 Профиль коммуникационной сети 6.2 PROFIBUS 6.2.1 Профиль устройства 6.2.2 Профиль коммуникационной сети 6.3 P-NET 6.3.1 Профиль устройства 6.3.2 Профиль коммуникационной сети 6.4 WorldFIP 6.4.1 Профиль устройства 6.4.2 Профиль коммуникационной сети 6.5 INTERBUS 6.5.1 Профиль устройства 6.5.2 Профиль коммуникационной сети Приложение А (справочное) Шаблоны профилей ControlNet Приложение В (справочное) Шаблоны профилей PROFIBUS Приложение С (справочное) Шаблоны профиля P-NET Приложение D (справочное) Шаблоны профиля WorldFIP Приложение Е (справочное) Шаблоны профиля INTERBUS Приложение ДА (справочное) Сведения о соответствии ссылочных международных стандартов национальным стандартам Российской Федерации Библиография |
| Разработан: | НТЦ ИНТЕК ТК 100 Стратегический и инновационный менеджмент |
| Утверждён: | 21.12.2010 Федеральное агентство по техническому регулированию и метрологии (864-ст) |
| Издан: | Стандартинформ (2013 г. ) |



























































































































































































































































































